Proteinuria and proximal tubular epithelial cells: correlation between immunofluorescence, histology, and degree of proteinuria.

Frontiers in nephrology Pub Date : 2024-10-31 eCollection Date: 2024-01-01 DOI:10.3389/fneph.2024.1469388
Maria Bernadette Cy Chow, Vedat Yildiz, Laura Biederman, Alana Dasgupta, Anjali A Satoskar, Aaron Chow, Tibor Nadasdy, Sergey V Brodsky
{"title":"Proteinuria and proximal tubular epithelial cells: correlation between immunofluorescence, histology, and degree of proteinuria.","authors":"Maria Bernadette Cy Chow, Vedat Yildiz, Laura Biederman, Alana Dasgupta, Anjali A Satoskar, Aaron Chow, Tibor Nadasdy, Sergey V Brodsky","doi":"10.3389/fneph.2024.1469388","DOIUrl":null,"url":null,"abstract":"<p><p>Proteins are filtered from the blood through the glomerular filtration barrier. Filtered proteins are reabsorbed by proximal tubular epithelial cells (PTECs), which have been shown to possess the ability to regulate protein reabsorption. Histologically, these reabsorbed proteins are seen as tubular protein reabsorption droplets (TPRDs). Experimental studies indicate that PTECs play an important role in regulating proteinuria but the correlations between TPRD and the degree of proteinuria in human kidney biopsies have not been investigated in detail. Consecutive native kidney biopsies with non-proliferative glomerular disease performed at the OSUWMC for a 1-year period were analyzed. Cases with acute glomerular diseases and inadequate biopsies were excluded. The staining intensity and the percentage of TPRDs, as well as other morphologic parameters, were assessed. A total of 109 kidney biopsies were included in the study. A reverse correlation was identified between the percentage of albumin TPRDs and proteinuria (<i>p</i> = 0.047). There were positive correlations between proteinuria and the staining intensity for IgG TPRDs (<i>p</i> = 0.05) and the degree of acute tubular necrosis (ATN) (<i>p</i> = 0.015). In patients with no ATN, positive correlations between proteinuria and albumin and IgG TPRDs were seen, whereas in patients with ATN, these correlations were lost. A positive correlation was seen between proteinuria and chronic kidney injury. A strong correlation was noted between the degree of proteinuria and podocyte foot process effacement. Our data indicate that PTECs regulate proteinuria by absorbing proteins from the urine filtrate. Therefore, based on the human renal biopsy material, our study confirms that well-functioning renal PTECs play an important role in the regulation of proteinuria.</p>","PeriodicalId":73091,"journal":{"name":"Frontiers in nephrology","volume":"4 ","pages":"1469388"},"PeriodicalIF":0.0000,"publicationDate":"2024-10-31","publicationTypes":"Journal Article","fieldsOfStudy":null,"isOpenAccess":false,"openAccessPdf":"https://www.ncbi.nlm.nih.gov/pmc/articles/PMC11560906/pdf/","citationCount":"0","resultStr":null,"platform":"Semanticscholar","paperid":null,"PeriodicalName":"Frontiers in nephrology","FirstCategoryId":"1085","ListUrlMain":"https://doi.org/10.3389/fneph.2024.1469388","RegionNum":0,"RegionCategory":null,"ArticlePicture":[],"TitleCN":null,"AbstractTextCN":null,"PMCID":null,"EPubDate":"2024/1/1 0:00:00","PubModel":"eCollection","JCR":"","JCRName":"","Score":null,"Total":0}
引用次数: 0

Abstract

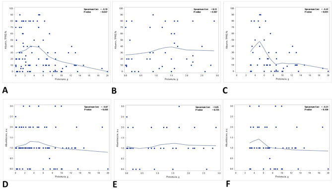
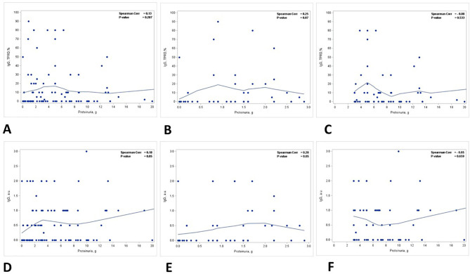
Proteins are filtered from the blood through the glomerular filtration barrier. Filtered proteins are reabsorbed by proximal tubular epithelial cells (PTECs), which have been shown to possess the ability to regulate protein reabsorption. Histologically, these reabsorbed proteins are seen as tubular protein reabsorption droplets (TPRDs). Experimental studies indicate that PTECs play an important role in regulating proteinuria but the correlations between TPRD and the degree of proteinuria in human kidney biopsies have not been investigated in detail. Consecutive native kidney biopsies with non-proliferative glomerular disease performed at the OSUWMC for a 1-year period were analyzed. Cases with acute glomerular diseases and inadequate biopsies were excluded. The staining intensity and the percentage of TPRDs, as well as other morphologic parameters, were assessed. A total of 109 kidney biopsies were included in the study. A reverse correlation was identified between the percentage of albumin TPRDs and proteinuria (p = 0.047). There were positive correlations between proteinuria and the staining intensity for IgG TPRDs (p = 0.05) and the degree of acute tubular necrosis (ATN) (p = 0.015). In patients with no ATN, positive correlations between proteinuria and albumin and IgG TPRDs were seen, whereas in patients with ATN, these correlations were lost. A positive correlation was seen between proteinuria and chronic kidney injury. A strong correlation was noted between the degree of proteinuria and podocyte foot process effacement. Our data indicate that PTECs regulate proteinuria by absorbing proteins from the urine filtrate. Therefore, based on the human renal biopsy material, our study confirms that well-functioning renal PTECs play an important role in the regulation of proteinuria.

Abstract Image

Abstract Image

Abstract Image

蛋白尿和近端肾小管上皮细胞:免疫荧光、组织学和蛋白尿程度之间的相关性。
蛋白质通过肾小球滤过屏障从血液中过滤出来。滤过的蛋白质被近端肾小管上皮细胞(PTEC)重吸收,这些细胞已被证明具有调节蛋白质重吸收的能力。从组织学角度看,这些被重吸收的蛋白质表现为肾小管蛋白重吸收液滴(TPRDs)。实验研究表明,PTECs 在调节蛋白尿方面发挥着重要作用,但 TPRD 与人体肾活检组织蛋白尿程度之间的相关性尚未得到详细研究。本研究分析了在 OSUWMC 进行的为期 1 年的非增生性肾小球疾病的连续原生肾活检。排除了急性肾小球疾病和活检样本不足的病例。对染色强度、TPRDs 的百分比以及其他形态学参数进行了评估。研究共纳入了 109 例肾脏活检样本。白蛋白 TPRDs 的百分比与蛋白尿之间存在反向相关性(p = 0.047)。蛋白尿与 IgG TPRDs 染色强度(p = 0.05)和急性肾小管坏死(ATN)程度(p = 0.015)呈正相关。在无 ATN 的患者中,蛋白尿与白蛋白和 IgG TPRDs 呈正相关,而在有 ATN 的患者中,这种相关性消失了。蛋白尿与慢性肾损伤呈正相关。蛋白尿的程度与荚膜脚进程脱落之间存在很强的相关性。我们的数据表明,PTECs 通过吸收尿液滤液中的蛋白质来调节蛋白尿。因此,根据人体肾活检材料,我们的研究证实了功能良好的肾脏 PTECs 在调节蛋白尿方面发挥着重要作用。
本文章由计算机程序翻译,如有差异,请以英文原文为准。
求助全文
约1分钟内获得全文 求助全文
来源期刊
自引率
0.00%
发文量
0
×
引用
GB/T 7714-2015
复制
MLA
复制
APA
复制
导出至
BibTeX EndNote RefMan NoteFirst NoteExpress
×
提示
您的信息不完整,为了账户安全,请先补充。
现在去补充
×
提示
您因"违规操作"
具体请查看互助需知
我知道了
×
提示
确定
请完成安全验证×
copy
已复制链接
快去分享给好友吧!
我知道了
右上角分享
点击右上角分享
0
联系我们:info@booksci.cn Book学术提供免费学术资源搜索服务,方便国内外学者检索中英文文献。致力于提供最便捷和优质的服务体验。 Copyright © 2023 布克学术 All rights reserved.
京ICP备2023020795号-1
ghs 京公网安备 11010802042870号
Book学术文献互助
Book学术文献互助群
群 号:604180095
Book学术官方微信