Validation of point-of-care tests used at in-home assessments among older adults in primary care.

IF 1.8 3区 医学 Q3 HEALTH CARE SCIENCES & SERVICES
Siri Aas Smedemark, Ditte Beck Jepsen, Karen Andersen-Ranberg, Mads Nybo
{"title":"Validation of point-of-care tests used at in-home assessments among older adults in primary care.","authors":"Siri Aas Smedemark, Ditte Beck Jepsen, Karen Andersen-Ranberg, Mads Nybo","doi":"10.1080/02813432.2024.2426162","DOIUrl":null,"url":null,"abstract":"<p><strong>Background: </strong>Diagnosing acute disease in older adults is challenged by vague and atypical symptoms. Point-of-care tests (POCTs) at home may improve diagnostics and clinical decision-making. We compared various POCT devices to routine testing in acutely ill older adults to assess their clinical reliability.</p><p><strong>Methods: </strong>We enrolled participants aged 65+ years requiring acute in-home assessment with signs of acute conditions. Venous and capillary blood samples were collected and analysed on-site using POCT, while identical samples were transported and analysed in a routine laboratory. Agreement between POCT and laboratory testing was assessed using scatter plots with linear regression, Pearson's correlation coefficient (PCC), limits of agreement, and Bland-Altman plots. Misclassification rates were calculated based on clinically meaningful cut-offs to assess POCT's clinical reliability.</p><p><strong>Results: </strong>We included 100 participants with a mean age of 81.6 (±8.4 SD) years. Strong correlation was found between POCT and routine measurements (PCC: 0.76-0.94 for capillary samples and 0.85-0.98 for venous samples). Venous samples showed higher PCC than capillary, except for neutrophils (0.93 for capillary, 0.89 for venous). Misclassification occurred in capillary samples for haemoglobin (10/62) and total WBC (6/50), while in venous samples, misclassification was observed for haemoglobin (4/54), total WBC (4/50), K<sup>+</sup> (5/47), urea (5/47), and creatinine (3/42). No misclassification was observed for Na<sup>+</sup>.</p><p><strong>Conclusion: </strong>POCT provides acceptable, clinically reliable measurements in acutely ill older adults, potentially enhancing diagnostics and treatments during in-home assessment. Venous blood testing is preferable due to a lower misclassification rate, but capillary blood remains a pragmatic alternative, despite higher variation and inaccuracy.</p>","PeriodicalId":21521,"journal":{"name":"Scandinavian Journal of Primary Health Care","volume":" ","pages":"260-269"},"PeriodicalIF":1.8000,"publicationDate":"2025-06-01","publicationTypes":"Journal Article","fieldsOfStudy":null,"isOpenAccess":false,"openAccessPdf":"https://www.ncbi.nlm.nih.gov/pmc/articles/PMC12090298/pdf/","citationCount":"0","resultStr":null,"platform":"Semanticscholar","paperid":null,"PeriodicalName":"Scandinavian Journal of Primary Health Care","FirstCategoryId":"3","ListUrlMain":"https://doi.org/10.1080/02813432.2024.2426162","RegionNum":3,"RegionCategory":"医学","ArticlePicture":[],"TitleCN":null,"AbstractTextCN":null,"PMCID":null,"EPubDate":"2024/11/11 0:00:00","PubModel":"Epub","JCR":"Q3","JCRName":"HEALTH CARE SCIENCES & SERVICES","Score":null,"Total":0}
引用次数: 0

Abstract

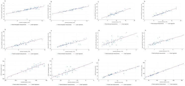
Background: Diagnosing acute disease in older adults is challenged by vague and atypical symptoms. Point-of-care tests (POCTs) at home may improve diagnostics and clinical decision-making. We compared various POCT devices to routine testing in acutely ill older adults to assess their clinical reliability.

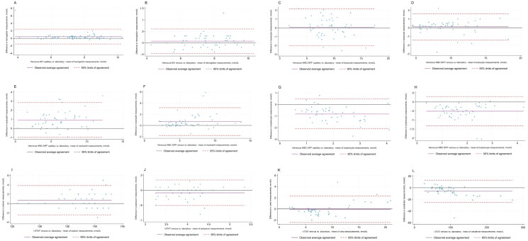
Methods: We enrolled participants aged 65+ years requiring acute in-home assessment with signs of acute conditions. Venous and capillary blood samples were collected and analysed on-site using POCT, while identical samples were transported and analysed in a routine laboratory. Agreement between POCT and laboratory testing was assessed using scatter plots with linear regression, Pearson's correlation coefficient (PCC), limits of agreement, and Bland-Altman plots. Misclassification rates were calculated based on clinically meaningful cut-offs to assess POCT's clinical reliability.

Results: We included 100 participants with a mean age of 81.6 (±8.4 SD) years. Strong correlation was found between POCT and routine measurements (PCC: 0.76-0.94 for capillary samples and 0.85-0.98 for venous samples). Venous samples showed higher PCC than capillary, except for neutrophils (0.93 for capillary, 0.89 for venous). Misclassification occurred in capillary samples for haemoglobin (10/62) and total WBC (6/50), while in venous samples, misclassification was observed for haemoglobin (4/54), total WBC (4/50), K+ (5/47), urea (5/47), and creatinine (3/42). No misclassification was observed for Na+.

Conclusion: POCT provides acceptable, clinically reliable measurements in acutely ill older adults, potentially enhancing diagnostics and treatments during in-home assessment. Venous blood testing is preferable due to a lower misclassification rate, but capillary blood remains a pragmatic alternative, despite higher variation and inaccuracy.

Abstract Image

Abstract Image

Abstract Image

验证在初级保健中对老年人进行居家评估时使用的护理点测试。
背景:由于症状模糊且不典型,诊断老年人的急性疾病面临挑战。在家中进行床旁检测(POCT)可改善诊断和临床决策。我们将各种 POCT 设备与急性病老年人的常规检测进行了比较,以评估其临床可靠性:我们招募了年龄在 65 岁以上、需要进行急性居家评估并伴有急性病征兆的参与者。使用 POCT 采集静脉血和毛细血管血样本并进行现场分析,同时将相同样本运送到常规实验室进行分析。采用线性回归散点图、皮尔逊相关系数 (PCC)、一致性极限和布兰德-阿尔特曼图评估 POCT 与实验室检测之间的一致性。根据有临床意义的临界值计算误诊率,以评估 POCT 的临床可靠性:我们共纳入了 100 名参与者,他们的平均年龄为 81.6 (±8.4 SD)岁。POCT与常规测量结果之间具有很强的相关性(毛细血管样本的PCC为0.76-0.94,静脉样本的PCC为0.85-0.98)。静脉样本的 PCC 值高于毛细血管样本,但中性粒细胞除外(毛细血管样本为 0.93,静脉样本为 0.89)。毛细血管样本中的血红蛋白(10/62)和白细胞总数(6/50)出现分类错误,而静脉样本中的血红蛋白(4/54)、白细胞总数(4/50)、K+(5/47)、尿素(5/47)和肌酐(3/42)出现分类错误。结论:POCT 能提供可接受的、可靠的临床诊断结果:POCT可为急性病老年人提供可接受的、临床上可靠的测量结果,从而有可能在居家评估过程中提高诊断和治疗水平。静脉血检测因误判率较低而更受欢迎,但毛细血管血仍是一种实用的替代方法,尽管其变异性和不准确性较高。
本文章由计算机程序翻译,如有差异,请以英文原文为准。
求助全文
约1分钟内获得全文 求助全文
来源期刊
CiteScore
3.20
自引率
19.00%
发文量
47
审稿时长
>12 weeks
期刊介绍: Scandinavian Journal of Primary Health Care is an international online open access journal publishing articles with relevance to general practice and primary health care. Focusing on the continuous professional development in family medicine the journal addresses clinical, epidemiological and humanistic topics in relation to the daily clinical practice. Scandinavian Journal of Primary Health Care is owned by the members of the National Colleges of General Practice in the five Nordic countries through the Nordic Federation of General Practice (NFGP). The journal includes original research on topics related to general practice and family medicine, and publishes both quantitative and qualitative original research, editorials, discussion and analysis papers and reviews to facilitate continuing professional development in family medicine. The journal''s topics range broadly and include: • Clinical family medicine • Epidemiological research • Qualitative research • Health services research.
×
引用
GB/T 7714-2015
复制
MLA
复制
APA
复制
导出至
BibTeX EndNote RefMan NoteFirst NoteExpress
×
提示
您的信息不完整,为了账户安全,请先补充。
现在去补充
×
提示
您因"违规操作"
具体请查看互助需知
我知道了
×
提示
确定
请完成安全验证×
copy
已复制链接
快去分享给好友吧!
我知道了
右上角分享
点击右上角分享
0
联系我们:info@booksci.cn Book学术提供免费学术资源搜索服务,方便国内外学者检索中英文文献。致力于提供最便捷和优质的服务体验。 Copyright © 2023 布克学术 All rights reserved.
京ICP备2023020795号-1
ghs 京公网安备 11010802042870号
Book学术文献互助
Book学术文献互助群
群 号:604180095
Book学术官方微信