Allergen Immunotherapy for a Year Can Effectively Reduce the Risk of Postoperative Recurrence of Adenoid Hypertrophy in Children with Concurrent Allergic Rhinitis (IMPROVEII).

IF 3 3区 医学 Q2 ALLERGY
Journal of Asthma and Allergy Pub Date : 2024-11-07 eCollection Date: 2024-01-01 DOI:10.2147/JAA.S477376
Hong-Li Hua, Yu-Qin Deng, Yu-Chen Tang, Yan Wang, Ze-Zhang Tao
{"title":"Allergen Immunotherapy for a Year Can Effectively Reduce the Risk of Postoperative Recurrence of Adenoid Hypertrophy in Children with Concurrent Allergic Rhinitis (IMPROVEII).","authors":"Hong-Li Hua, Yu-Qin Deng, Yu-Chen Tang, Yan Wang, Ze-Zhang Tao","doi":"10.2147/JAA.S477376","DOIUrl":null,"url":null,"abstract":"<p><strong>Background: </strong>Adenoid hypertrophy (AH) and allergic rhinitis (AR) are common pediatric diseases, seriously affecting the quality of life and growth of children. The recurrence rate of AH is higher for patients with than for those without concurrent AR. Allergen specific immunotherapy (AIT) is the only effective therapy for modifying the course of allergic diseases. This study sought to investigate the efficacy of AIT in preventing AH recurrence in patients with AR who underwent adenoidectomy.</p><p><strong>Methods: </strong>This study included 134 children aged 5-12 years with concurrent AH and AR. They were separated into the subcutaneous immunotherapy (SCIT) group treated with a double-mite allergen preparation or the non-AIT group treated symptomatically with only medications. The adenoid/nasopharyngeal ratio at one year after adenoidectomy was used to assess AH recurrence. The Obstructive Sleep Apnoea Questionnaire (OSA-18), Paediatric Rhinoconjunctivitis Quality of Life Questionnaire (PRQLQ), and Visual Analogue Scale (VAS) were used to assess the severity of the sleep disorders and AR.</p><p><strong>Results: </strong>This study included 62 and 72 children with concurrent AH and AR in the SCIT and non-AIT groups, respectively. The rate of recurrence in the SCIT group was significantly lower than that in the non-AIT group (4.84% vs.16.67%; <i>P</i>=0.030). The OSA-18, PRQLQ, and VAS scores were significantly lower for the SCIT than (<i>P<0.001</i>) for the non-AIT group after one year of treatment.</p><p><strong>Conclusion: </strong>The findings suggest that AIT should be considered the preferred therapy for reducing postoperative recurrence of AH in children with concurrent AR following adenoidectomy, but further research is needed to confirm these findings in a larger population.</p>","PeriodicalId":15079,"journal":{"name":"Journal of Asthma and Allergy","volume":"17 ","pages":"1115-1125"},"PeriodicalIF":3.0000,"publicationDate":"2024-11-07","publicationTypes":"Journal Article","fieldsOfStudy":null,"isOpenAccess":false,"openAccessPdf":"https://www.ncbi.nlm.nih.gov/pmc/articles/PMC11552393/pdf/","citationCount":"0","resultStr":null,"platform":"Semanticscholar","paperid":null,"PeriodicalName":"Journal of Asthma and Allergy","FirstCategoryId":"3","ListUrlMain":"https://doi.org/10.2147/JAA.S477376","RegionNum":3,"RegionCategory":"医学","ArticlePicture":[],"TitleCN":null,"AbstractTextCN":null,"PMCID":null,"EPubDate":"2024/1/1 0:00:00","PubModel":"eCollection","JCR":"Q2","JCRName":"ALLERGY","Score":null,"Total":0}
引用次数: 0

Abstract

Background: Adenoid hypertrophy (AH) and allergic rhinitis (AR) are common pediatric diseases, seriously affecting the quality of life and growth of children. The recurrence rate of AH is higher for patients with than for those without concurrent AR. Allergen specific immunotherapy (AIT) is the only effective therapy for modifying the course of allergic diseases. This study sought to investigate the efficacy of AIT in preventing AH recurrence in patients with AR who underwent adenoidectomy.

Methods: This study included 134 children aged 5-12 years with concurrent AH and AR. They were separated into the subcutaneous immunotherapy (SCIT) group treated with a double-mite allergen preparation or the non-AIT group treated symptomatically with only medications. The adenoid/nasopharyngeal ratio at one year after adenoidectomy was used to assess AH recurrence. The Obstructive Sleep Apnoea Questionnaire (OSA-18), Paediatric Rhinoconjunctivitis Quality of Life Questionnaire (PRQLQ), and Visual Analogue Scale (VAS) were used to assess the severity of the sleep disorders and AR.

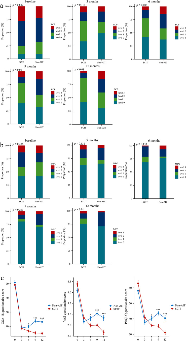
Results: This study included 62 and 72 children with concurrent AH and AR in the SCIT and non-AIT groups, respectively. The rate of recurrence in the SCIT group was significantly lower than that in the non-AIT group (4.84% vs.16.67%; P=0.030). The OSA-18, PRQLQ, and VAS scores were significantly lower for the SCIT than (P<0.001) for the non-AIT group after one year of treatment.

Conclusion: The findings suggest that AIT should be considered the preferred therapy for reducing postoperative recurrence of AH in children with concurrent AR following adenoidectomy, but further research is needed to confirm these findings in a larger population.

Abstract Image

Abstract Image

Abstract Image

过敏原免疫治疗一年可有效降低并发过敏性鼻炎患儿腺样体肥大术后复发的风险(IMPROVEII)。
背景:腺样体肥大(AH)和过敏性鼻炎(AR)是儿科常见病,严重影响儿童的生活质量和生长发育。腺样体肥大患者的复发率高于未并发 AR 的患者。过敏原特异性免疫疗法(AIT)是改变过敏性疾病病程的唯一有效疗法。本研究旨在探讨 AIT 在预防接受腺样体切除术的 AR 患者 AH 复发方面的疗效:本研究纳入了 134 名同时患有 AH 和 AR 的 5-12 岁儿童。他们被分为使用双螨过敏原制剂的皮下免疫疗法(SCIT)组和仅使用药物对症治疗的非 AIT 组。腺样体切除术后一年的腺样体/鼻咽比例用于评估AH复发情况。阻塞性睡眠呼吸暂停问卷(OSA-18)、儿童鼻结膜炎生活质量问卷(PRQLQ)和视觉模拟量表(VAS)用于评估睡眠障碍和AR的严重程度:本研究的 SCIT 组和非 SCIT 组分别有 62 和 72 名儿童同时患有 AH 和 AR。SCIT组的复发率明显低于非AIT组(4.84% vs.16.67%; P=0.030)。治疗一年后,SCIT 组的 OSA-18、PRQLQ 和 VAS 评分明显低于非 AIT 组(P):研究结果表明,对于腺样体切除术后并发 AR 的儿童,AIT 应被视为减少 AH 术后复发的首选疗法,但还需要进一步研究,以便在更大的人群中证实这些研究结果。
本文章由计算机程序翻译,如有差异,请以英文原文为准。
求助全文
约1分钟内获得全文 求助全文
来源期刊
Journal of Asthma and Allergy
Journal of Asthma and Allergy Medicine-Immunology and Allergy
CiteScore
5.30
自引率
6.20%
发文量
185
审稿时长
16 weeks
期刊介绍: An international, peer-reviewed journal publishing original research, reports, editorials and commentaries on the following topics: Asthma; Pulmonary physiology; Asthma related clinical health; Clinical immunology and the immunological basis of disease; Pharmacological interventions and new therapies. Although the main focus of the journal will be to publish research and clinical results in humans, preclinical, animal and in vitro studies will be published where they shed light on disease processes and potential new therapies.
×
引用
GB/T 7714-2015
复制
MLA
复制
APA
复制
导出至
BibTeX EndNote RefMan NoteFirst NoteExpress
×
提示
您的信息不完整,为了账户安全,请先补充。
现在去补充
×
提示
您因"违规操作"
具体请查看互助需知
我知道了
×
提示
确定
请完成安全验证×
copy
已复制链接
快去分享给好友吧!
我知道了
右上角分享
点击右上角分享
0
联系我们:info@booksci.cn Book学术提供免费学术资源搜索服务,方便国内外学者检索中英文文献。致力于提供最便捷和优质的服务体验。 Copyright © 2023 布克学术 All rights reserved.
京ICP备2023020795号-1
ghs 京公网安备 11010802042870号
Book学术文献互助
Book学术文献互助群
群 号:604180095
Book学术官方微信