Physiologically-Based Pharmacokinetic Modeling of Trofinetide in Moderate Renal Impairment for Phase 1 Clinical Study Dose Selection with Model Validation.

IF 2.4 4区 医学 Q3 PHARMACOLOGY & PHARMACY
Mona Darwish, Thomas C Marbury, Rene Nunez, James M Youakim, Di An, Inger Darling, Viera Lukacova, Kathie M Bishop
{"title":"Physiologically-Based Pharmacokinetic Modeling of Trofinetide in Moderate Renal Impairment for Phase 1 Clinical Study Dose Selection with Model Validation.","authors":"Mona Darwish, Thomas C Marbury, Rene Nunez, James M Youakim, Di An, Inger Darling, Viera Lukacova, Kathie M Bishop","doi":"10.1007/s13318-024-00924-1","DOIUrl":null,"url":null,"abstract":"<p><strong>Background and objectives: </strong>Trofinetide, the first approved treatment for Rett syndrome (RTT), is primarily excreted unchanged in the urine; therefore, it is important to assess the extent to which the exposure is affected in patients with renal impairment. Pharmacokinetic modeling overcomes the challenge of dose finding in phase 1 studies that include special populations where there is the potential for increased exposure to study drug. The objectives of this phase 1 study were to evaluate trofinetide pharmacokinetics, safety, and tolerability in a population with moderate renal impairment and normal renal function. The observed pharmacokinetic profiles were used to validate the dosing adjustments in moderate renal impairment that were previously predicted using a physiologically-based pharmacokinetic (PBPK) model.</p><p><strong>Methods: </strong>The PBPK model was first used to predict dose adjustments that are necessary to achieve similar exposure in the four stages of renal impairment (mild, moderate, severe, end stage renal disease) as in healthy controls. The predicted dose adjustment from 12 to 6 g for the moderate renal impairment category was then applied to the phase 1 clinical study. Subsequent validation of the PBPK model was achieved by comparing the model-predicted and clinically observed exposures in subjects with moderate renal impairment. In a phase 1, open-label study, trofinetide exposure was assessed in healthy (n = 10) and moderate renal impairment (n = 10) participants receiving single oral doses of 12 g or 6 g, respectively. Observed exposures [area under the blood concentration-time curve from time 0 to infinity (AUC<sub>inf</sub>) and maximum concentration (C<sub>max</sub>)] were compared with predicted exposures from simulations in virtual healthy and moderate renal impairment populations (n = 100) to validate a PBPK model of renal impairment that had previously predicted doses across renal impairment categories.</p><p><strong>Results: </strong>Dose-normalized geometric mean ratios for C<sub>max</sub> were comparable [1.02 (90% CI 0.69-1.50)] while AUC<sub>inf</sub> was approximately two-fold higher [1.81 (90% CI 1.31-2.50)] in moderate renal impairment participants compared with healthy controls. These observed values closely aligned with predicted distributions. Treatment-emergent adverse events were reported in two (20.0%) participants with moderate renal impairment and four healthy participants (40.0%).</p><p><strong>Conclusion: </strong>PBPK modeling of trofinetide in a virtual population with moderate renal impairment predicted a 50% dose reduction compared to individuals with normal renal function. Comparison of observed pharmacokinetic results from a phase 1 study in subjects with moderate renal impairment and matched healthy participants to the model-predicted exposures validated this dose reduction. No new safety concerns for trofinetide emerged.</p>","PeriodicalId":11939,"journal":{"name":"European Journal of Drug Metabolism and Pharmacokinetics","volume":" ","pages":"23-38"},"PeriodicalIF":2.4000,"publicationDate":"2025-01-01","publicationTypes":"Journal Article","fieldsOfStudy":null,"isOpenAccess":false,"openAccessPdf":"https://www.ncbi.nlm.nih.gov/pmc/articles/PMC11802684/pdf/","citationCount":"0","resultStr":null,"platform":"Semanticscholar","paperid":null,"PeriodicalName":"European Journal of Drug Metabolism and Pharmacokinetics","FirstCategoryId":"3","ListUrlMain":"https://doi.org/10.1007/s13318-024-00924-1","RegionNum":4,"RegionCategory":"医学","ArticlePicture":[],"TitleCN":null,"AbstractTextCN":null,"PMCID":null,"EPubDate":"2024/11/8 0:00:00","PubModel":"Epub","JCR":"Q3","JCRName":"PHARMACOLOGY & PHARMACY","Score":null,"Total":0}
引用次数: 0

Abstract

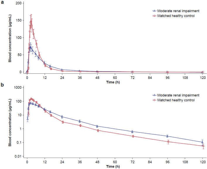
Background and objectives: Trofinetide, the first approved treatment for Rett syndrome (RTT), is primarily excreted unchanged in the urine; therefore, it is important to assess the extent to which the exposure is affected in patients with renal impairment. Pharmacokinetic modeling overcomes the challenge of dose finding in phase 1 studies that include special populations where there is the potential for increased exposure to study drug. The objectives of this phase 1 study were to evaluate trofinetide pharmacokinetics, safety, and tolerability in a population with moderate renal impairment and normal renal function. The observed pharmacokinetic profiles were used to validate the dosing adjustments in moderate renal impairment that were previously predicted using a physiologically-based pharmacokinetic (PBPK) model.

Methods: The PBPK model was first used to predict dose adjustments that are necessary to achieve similar exposure in the four stages of renal impairment (mild, moderate, severe, end stage renal disease) as in healthy controls. The predicted dose adjustment from 12 to 6 g for the moderate renal impairment category was then applied to the phase 1 clinical study. Subsequent validation of the PBPK model was achieved by comparing the model-predicted and clinically observed exposures in subjects with moderate renal impairment. In a phase 1, open-label study, trofinetide exposure was assessed in healthy (n = 10) and moderate renal impairment (n = 10) participants receiving single oral doses of 12 g or 6 g, respectively. Observed exposures [area under the blood concentration-time curve from time 0 to infinity (AUCinf) and maximum concentration (Cmax)] were compared with predicted exposures from simulations in virtual healthy and moderate renal impairment populations (n = 100) to validate a PBPK model of renal impairment that had previously predicted doses across renal impairment categories.

Results: Dose-normalized geometric mean ratios for Cmax were comparable [1.02 (90% CI 0.69-1.50)] while AUCinf was approximately two-fold higher [1.81 (90% CI 1.31-2.50)] in moderate renal impairment participants compared with healthy controls. These observed values closely aligned with predicted distributions. Treatment-emergent adverse events were reported in two (20.0%) participants with moderate renal impairment and four healthy participants (40.0%).

Conclusion: PBPK modeling of trofinetide in a virtual population with moderate renal impairment predicted a 50% dose reduction compared to individuals with normal renal function. Comparison of observed pharmacokinetic results from a phase 1 study in subjects with moderate renal impairment and matched healthy participants to the model-predicted exposures validated this dose reduction. No new safety concerns for trofinetide emerged.

Abstract Image

Abstract Image

Abstract Image

基于生理学的中度肾功能不全患者特罗非奈德药代动力学模型,用于 1 期临床研究剂量选择及模型验证。
背景和目的:特罗非奈肽是首个获批的治疗雷特综合征(RTT)的药物,它主要通过尿液排泄,不会发生变化;因此,评估肾功能受损患者的药物暴露受影响的程度非常重要。药代动力学建模克服了在 1 期研究中寻找剂量的难题,这些研究包括可能增加研究药物暴露量的特殊人群。这项 1 期研究的目的是评估中度肾功能损害和肾功能正常人群的特罗菲奈德药代动力学、安全性和耐受性。观察到的药代动力学特征被用来验证之前使用基于生理的药代动力学(PBPK)模型预测的中度肾功能损害时的剂量调整:首先使用 PBPK 模型预测了在肾功能损害的四个阶段(轻度、中度、重度、终末期肾病)达到与健康对照组相似的暴露量所需的剂量调整。然后将预测的中度肾功能损害类别的剂量调整(从 12 克调整到 6 克)应用于 1 期临床研究。随后,通过比较中度肾功能损害受试者的模型预测暴露量和临床观察暴露量,对 PBPK 模型进行了验证。在一项 1 期开放标签研究中,健康受试者(n = 10)和中度肾功能受损受试者(n = 10)分别接受了 12 克或 6 克的单次口服剂量,并对特罗非肽的暴露量进行了评估。将观察到的暴露量[从时间 0 到无穷大的血药浓度-时间曲线下面积(AUCinf)和最大浓度(Cmax)]与虚拟健康人群和中度肾功能损害人群(n = 100)的模拟预测暴露量进行比较,以验证肾功能损害的 PBPK 模型,该模型之前曾预测过不同肾功能损害类别的剂量:结果:与健康对照组相比,中度肾功能受损者的 Cmax 剂量归一化几何平均比[1.02(90% CI 0.69-1.50)]相当,而 AUCinf 高出约两倍[1.81(90% CI 1.31-2.50)]。这些观察值与预测分布密切相关。两名中度肾功能损害参与者(20.0%)和四名健康参与者(40.0%)出现了治疗突发不良事件:结论:在中度肾功能损害的虚拟人群中建立特罗非奈德的 PBPK 模型,预测剂量比肾功能正常者减少 50%。将在中度肾功能损害受试者和匹配的健康受试者中进行的 1 期研究中观察到的药代动力学结果与模型预测的暴露量进行比较,验证了这一剂量减少。特罗芬肽没有出现新的安全性问题。
本文章由计算机程序翻译,如有差异,请以英文原文为准。
求助全文
约1分钟内获得全文 求助全文
来源期刊
CiteScore
3.70
自引率
0.00%
发文量
64
审稿时长
>12 weeks
期刊介绍: Hepatology International is a peer-reviewed journal featuring articles written by clinicians, clinical researchers and basic scientists is dedicated to research and patient care issues in hepatology. This journal focuses mainly on new and emerging diagnostic and treatment options, protocols and molecular and cellular basis of disease pathogenesis, new technologies, in liver and biliary sciences. Hepatology International publishes original research articles related to clinical care and basic research; review articles; consensus guidelines for diagnosis and treatment; invited editorials, and controversies in contemporary issues. The journal does not publish case reports.
×
引用
GB/T 7714-2015
复制
MLA
复制
APA
复制
导出至
BibTeX EndNote RefMan NoteFirst NoteExpress
×
提示
您的信息不完整,为了账户安全,请先补充。
现在去补充
×
提示
您因"违规操作"
具体请查看互助需知
我知道了
×
提示
确定
请完成安全验证×
copy
已复制链接
快去分享给好友吧!
我知道了
右上角分享
点击右上角分享
0
联系我们:info@booksci.cn Book学术提供免费学术资源搜索服务,方便国内外学者检索中英文文献。致力于提供最便捷和优质的服务体验。 Copyright © 2023 布克学术 All rights reserved.
京ICP备2023020795号-1
ghs 京公网安备 11010802042870号
Book学术文献互助
Book学术文献互助群
群 号:604180095
Book学术官方微信