Overall and linked blood pressure variabilities in the first 24 hours and mortality after spontaneous intracerebral hemorrhage: a retrospective study of 1,036 patients.

IF 3.2
Anesthesia and pain medicine Pub Date : 2024-10-01 Epub Date: 2024-10-31 DOI:10.17085/apm.24039
Hangyul Cho, Taehoon Kim, Younsuk Lee, Dawoon Kim, Hansu Bae
{"title":"Overall and linked blood pressure variabilities in the first 24 hours and mortality after spontaneous intracerebral hemorrhage: a retrospective study of 1,036 patients.","authors":"Hangyul Cho, Taehoon Kim, Younsuk Lee, Dawoon Kim, Hansu Bae","doi":"10.17085/apm.24039","DOIUrl":null,"url":null,"abstract":"<p><strong>Background: </strong>This study aims to establish the individual contributions of blood pressure variability (BPV) indexes, categorized into overall and linked variability, to mortality following intracerebral hemorrhage (ICH) by examining the risk factors.</p><p><strong>Methods: </strong>Patients with spontaneous ICH (n = 1,036) were identified with valid blood pressures (BP) from the first 24-h systolic BP records in the Medical Information Mart for Intensive Care IV version 2.2 database (MIMIC IV). Information on the baseline characteristics, including age, sex, initial Glasgow Coma Scale (GCS) and National Institutes of Health Stroke Scale (NIHSS) scores, ICH location, Charlson comorbidity index score, and presence of diabetes with or without complications, were collected. Three indexes of BPV-range, standard deviation (SD), and generalized BPV (GBPV)-were calculated using the first 24-h systolic BPs. An automated stepwise variable-selection procedure was used to develop the final logistic model for predicting in-hospital mortality.</p><p><strong>Results: </strong>Out of 1,036 patients, 802 (77.4%) survived and were discharged after spontaneous ICH. Factors associated with mortality included age; male sex; ICH in the brainstem, ventricle, or multiple locations; low GCS score (< 9); high NIHSS score (> 20); and diabetes with complications. Mean systolic BP, SD, and GBPV were also linked to mortality. Higher GBPV notably increased the risk of in-hospital death, with an odds ratio of 3.21 (95% confidence interval, 2.10 to 4.97) for every + 10 mmHg/h change in GBPV.</p><p><strong>Conclusions: </strong>This study underscores the additional impact of GBPV, herein linked to BPV, on mortality following ICH, providing further insights into the management of blood pressure in the early stages of ICH treatment.</p>","PeriodicalId":101360,"journal":{"name":"Anesthesia and pain medicine","volume":"19 4","pages":"302-309"},"PeriodicalIF":3.2000,"publicationDate":"2024-10-01","publicationTypes":"Journal Article","fieldsOfStudy":null,"isOpenAccess":false,"openAccessPdf":"https://www.ncbi.nlm.nih.gov/pmc/articles/PMC11558055/pdf/","citationCount":"0","resultStr":null,"platform":"Semanticscholar","paperid":null,"PeriodicalName":"Anesthesia and pain medicine","FirstCategoryId":"1085","ListUrlMain":"https://doi.org/10.17085/apm.24039","RegionNum":0,"RegionCategory":null,"ArticlePicture":[],"TitleCN":null,"AbstractTextCN":null,"PMCID":null,"EPubDate":"2024/10/31 0:00:00","PubModel":"Epub","JCR":"","JCRName":"","Score":null,"Total":0}
引用次数: 0

Abstract

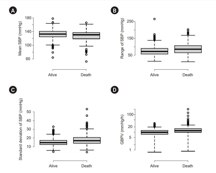
Background: This study aims to establish the individual contributions of blood pressure variability (BPV) indexes, categorized into overall and linked variability, to mortality following intracerebral hemorrhage (ICH) by examining the risk factors.

Methods: Patients with spontaneous ICH (n = 1,036) were identified with valid blood pressures (BP) from the first 24-h systolic BP records in the Medical Information Mart for Intensive Care IV version 2.2 database (MIMIC IV). Information on the baseline characteristics, including age, sex, initial Glasgow Coma Scale (GCS) and National Institutes of Health Stroke Scale (NIHSS) scores, ICH location, Charlson comorbidity index score, and presence of diabetes with or without complications, were collected. Three indexes of BPV-range, standard deviation (SD), and generalized BPV (GBPV)-were calculated using the first 24-h systolic BPs. An automated stepwise variable-selection procedure was used to develop the final logistic model for predicting in-hospital mortality.

Results: Out of 1,036 patients, 802 (77.4%) survived and were discharged after spontaneous ICH. Factors associated with mortality included age; male sex; ICH in the brainstem, ventricle, or multiple locations; low GCS score (< 9); high NIHSS score (> 20); and diabetes with complications. Mean systolic BP, SD, and GBPV were also linked to mortality. Higher GBPV notably increased the risk of in-hospital death, with an odds ratio of 3.21 (95% confidence interval, 2.10 to 4.97) for every + 10 mmHg/h change in GBPV.

Conclusions: This study underscores the additional impact of GBPV, herein linked to BPV, on mortality following ICH, providing further insights into the management of blood pressure in the early stages of ICH treatment.

Abstract Image

自发性脑内出血后最初 24 小时的总体血压变化和相关血压变化与死亡率:一项对 1,036 名患者进行的回顾性研究。
背景:本研究旨在通过研究风险因素,确定血压变异性(BPV)指数(分为整体变异性和关联变异性)对脑内出血(ICH)后死亡率的个体贡献:自发性 ICH 患者(1,036 人)的有效血压(BP)均来自重症监护医学信息市场 IV 2.2 版数据库(MIMIC IV)中的前 24 小时收缩压记录。收集的基线特征信息包括年龄、性别、初始格拉斯哥昏迷量表(GCS)和美国国立卫生研究院卒中量表(NIHSS)评分、ICH位置、Charlson合并症指数评分、有无糖尿病并发症。利用前 24 小时收缩压计算出三个血压变异指数--范围、标准差 (SD) 和广义血压变异指数 (GBPV)。采用自动逐步变量选择程序建立了预测院内死亡率的最终逻辑模型:在1036名患者中,有802人(77.4%)在自发性ICH后存活并出院。与死亡率相关的因素包括:年龄;男性;脑干、脑室或多处 ICH;GCS 评分低(< 9 分);NIHSS 评分高(> 20 分);糖尿病并发症。平均收缩压、标度和 GBPV 也与死亡率有关。较高的 GBPV 显著增加了院内死亡风险,GBPV 每变化 + 10 mmHg/h 的几率比为 3.21(95% 置信区间为 2.10 至 4.97):本研究强调了 GBPV(此处与 BPV 相关)对 ICH 后死亡率的额外影响,为 ICH 治疗早期的血压管理提供了进一步的见解。
本文章由计算机程序翻译,如有差异,请以英文原文为准。
求助全文
约1分钟内获得全文 求助全文
来源期刊
CiteScore
2.30
自引率
0.00%
发文量
0
×
引用
GB/T 7714-2015
复制
MLA
复制
APA
复制
导出至
BibTeX EndNote RefMan NoteFirst NoteExpress
×
提示
您的信息不完整,为了账户安全,请先补充。
现在去补充
×
提示
您因"违规操作"
具体请查看互助需知
我知道了
×
提示
确定
请完成安全验证×
copy
已复制链接
快去分享给好友吧!
我知道了
右上角分享
点击右上角分享
0
联系我们:info@booksci.cn Book学术提供免费学术资源搜索服务,方便国内外学者检索中英文文献。致力于提供最便捷和优质的服务体验。 Copyright © 2023 布克学术 All rights reserved.
京ICP备2023020795号-1
ghs 京公网安备 11010802042870号
Book学术文献互助
Book学术文献互助群
群 号:604180095
Book学术官方微信