Diagnostic evaluation of optic nerve sheath diameter in predicting elevated intracranial pressure among neurocritically ill patients: A prospective observational study.

Q3 Medicine
Sindhuja Kasinathan, Shankar Duraisamy, Rishiraj N Verma
{"title":"Diagnostic evaluation of optic nerve sheath diameter in predicting elevated intracranial pressure among neurocritically ill patients: A prospective observational study.","authors":"Sindhuja Kasinathan, Shankar Duraisamy, Rishiraj N Verma","doi":"10.4103/ijciis.ijciis_12_24","DOIUrl":null,"url":null,"abstract":"<p><strong>Background: </strong>Optic nerve sheath diameter (ONSD) is used as a surrogate for intracranial pressure (ICP) with a marked variation in its optimal cutoff in various subgroups of neurocritical illnesses. Real-world data on ultrasound (US)-ONSD performance among a diverse population and its trend corresponding with clinical deterioration are scarce. We aim to determine the diagnostic performance of ONSD compared to computed tomography (CT) in predicting elevated ICP in a mixed population of neurocritical patients.</p><p><strong>Methods: </strong>Baseline ONSD measurements (T1) using B-mode US were recorded among eligible patients. Follow-up ONSD (T2) was recorded during clinical deterioration defined by ≥2 drops in Glasgow Coma Scale/Full Outline of UnResponsiveness (GCS/FOUR) scores. Its diagnostic performance in predicting elevated ICP was assessed by comparing it with the concurrently taken CT findings as a reference standard. The difference between the two ONSD measurements was termed delta ONSD.</p><p><strong>Results: </strong>In the final analysis, 129 participants were included. The population comprised traumatic brain injury, stroke (hemorrhagic and ischemic), intracranial space-occupying lesions, and other medical conditions. The optimal ONSD (T2) cutoff of 5.23 mm had a diagnostic accuracy of 80.73% to predict elevated ICP (sensitivity: 82%; specificity: 78%; area under the curve: 0.88; and 95% confidence interval [CI]: 0.819-0.941). Each unit increase in delta ONSD was associated with increased odds of need for surgical intervention (odds ratio [OR]: 3.91; 95% CI: 1.31-12.6, <i>P</i> = 0.017) and death at intensive care unit discharge (OR: 8.24; 95% CI: 1.78-41.15, <i>P</i> = 0.007).</p><p><strong>Conclusions: </strong>ONSD cutoff of 5.23 mm has a good diagnostic accuracy in predicting elevated ICP compared to CT during clinical deterioration. ONSD measurements correlate well with corresponding GCS/FOUR scores.</p>","PeriodicalId":13938,"journal":{"name":"International Journal of Critical Illness and Injury Science","volume":"14 3","pages":"120-128"},"PeriodicalIF":0.0000,"publicationDate":"2024-07-01","publicationTypes":"Journal Article","fieldsOfStudy":null,"isOpenAccess":false,"openAccessPdf":"https://www.ncbi.nlm.nih.gov/pmc/articles/PMC11540187/pdf/","citationCount":"0","resultStr":null,"platform":"Semanticscholar","paperid":null,"PeriodicalName":"International Journal of Critical Illness and Injury Science","FirstCategoryId":"1085","ListUrlMain":"https://doi.org/10.4103/ijciis.ijciis_12_24","RegionNum":0,"RegionCategory":null,"ArticlePicture":[],"TitleCN":null,"AbstractTextCN":null,"PMCID":null,"EPubDate":"2024/9/20 0:00:00","PubModel":"Epub","JCR":"Q3","JCRName":"Medicine","Score":null,"Total":0}
引用次数: 0

Abstract

Background: Optic nerve sheath diameter (ONSD) is used as a surrogate for intracranial pressure (ICP) with a marked variation in its optimal cutoff in various subgroups of neurocritical illnesses. Real-world data on ultrasound (US)-ONSD performance among a diverse population and its trend corresponding with clinical deterioration are scarce. We aim to determine the diagnostic performance of ONSD compared to computed tomography (CT) in predicting elevated ICP in a mixed population of neurocritical patients.

Methods: Baseline ONSD measurements (T1) using B-mode US were recorded among eligible patients. Follow-up ONSD (T2) was recorded during clinical deterioration defined by ≥2 drops in Glasgow Coma Scale/Full Outline of UnResponsiveness (GCS/FOUR) scores. Its diagnostic performance in predicting elevated ICP was assessed by comparing it with the concurrently taken CT findings as a reference standard. The difference between the two ONSD measurements was termed delta ONSD.

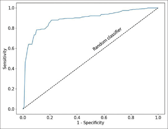
Results: In the final analysis, 129 participants were included. The population comprised traumatic brain injury, stroke (hemorrhagic and ischemic), intracranial space-occupying lesions, and other medical conditions. The optimal ONSD (T2) cutoff of 5.23 mm had a diagnostic accuracy of 80.73% to predict elevated ICP (sensitivity: 82%; specificity: 78%; area under the curve: 0.88; and 95% confidence interval [CI]: 0.819-0.941). Each unit increase in delta ONSD was associated with increased odds of need for surgical intervention (odds ratio [OR]: 3.91; 95% CI: 1.31-12.6, P = 0.017) and death at intensive care unit discharge (OR: 8.24; 95% CI: 1.78-41.15, P = 0.007).

Conclusions: ONSD cutoff of 5.23 mm has a good diagnostic accuracy in predicting elevated ICP compared to CT during clinical deterioration. ONSD measurements correlate well with corresponding GCS/FOUR scores.

Abstract Image

Abstract Image

Abstract Image

视神经鞘直径在预测神经重症患者颅内压升高方面的诊断评估:前瞻性观察研究。
背景:视神经鞘直径(ONSD)被用作颅内压(ICP)的替代指标,但在不同的神经重症亚组中,其最佳临界值存在明显差异。有关超声(US)-ONSD 在不同人群中的表现及其与临床恶化趋势对应关系的实际数据非常稀少。我们的目的是确定 ONSD 与计算机断层扫描(CT)相比在预测神经重症患者混合人群中 ICP 升高方面的诊断性能:方法:在符合条件的患者中使用 B 型 US 对 ONSD 进行基线测量(T1)。在格拉斯哥昏迷量表/无反应全纲(GCS/FOUR)评分下降≥2分定义的临床恶化期间记录随访ONSD(T2)。通过与作为参考标准的同时进行的 CT 结果进行比较,评估了 ONSD 在预测 ICP 升高方面的诊断性能。两个 ONSD 测量值之间的差值被称为 delta ONSD:在最终分析中,共纳入了 129 名参与者。研究对象包括脑外伤、中风(出血性和缺血性)、颅内占位性病变以及其他疾病。最佳 ONSD(T2)截断点为 5.23 毫米,预测 ICP 升高的诊断准确率为 80.73%(灵敏度:82%;特异性:78%;曲线下面积:0.88;95% 置信度:0.88):0.88;95% 置信区间 [CI]:0.819-0.941).ONSD δ每增加一个单位,需要手术干预的几率(几率比 [OR]:3.91;95% CI:1.31-12.6,P = 0.017)和重症监护室出院时死亡的几率(OR:8.24;95% CI:1.78-41.15,P = 0.007)就会增加:结论:在临床病情恶化期间,与 CT 相比,ONSD 5.23 mm 临界值在预测 ICP 升高方面具有良好的诊断准确性。ONSD测量值与相应的GCS/FOUR评分有很好的相关性。
本文章由计算机程序翻译,如有差异,请以英文原文为准。
求助全文
约1分钟内获得全文 求助全文
来源期刊
CiteScore
1.40
自引率
0.00%
发文量
37
期刊介绍: IJCIIS encourages research, education and dissemination of knowledge in the field of Critical Illness and Injury Science across the world thus promoting translational research by striking a synergy between basic science, clinical medicine and public health. The Journal intends to bring together scientists and academicians in the emergency intensive care and promote translational synergy between Laboratory Science, Clinical Medicine and Public Health. The Journal invites Original Articles, Clinical Investigations, Epidemiological Analysis, Data Protocols, Case Reports, Clinical Photographs, review articles and special commentaries. Students, Residents, Academicians, Public Health experts and scientists are all encouraged to be a part of this initiative by contributing, reviewing and promoting scientific works and science.
×
引用
GB/T 7714-2015
复制
MLA
复制
APA
复制
导出至
BibTeX EndNote RefMan NoteFirst NoteExpress
×
提示
您的信息不完整,为了账户安全,请先补充。
现在去补充
×
提示
您因"违规操作"
具体请查看互助需知
我知道了
×
提示
确定
请完成安全验证×
copy
已复制链接
快去分享给好友吧!
我知道了
右上角分享
点击右上角分享
0
联系我们:info@booksci.cn Book学术提供免费学术资源搜索服务,方便国内外学者检索中英文文献。致力于提供最便捷和优质的服务体验。 Copyright © 2023 布克学术 All rights reserved.
京ICP备2023020795号-1
ghs 京公网安备 11010802042870号
Book学术文献互助
Book学术文献互助群
群 号:604180095
Book学术官方微信