Survival Disparities among Cancer Patients Based on Mobility Patterns: A Population-Based Study.

Health data science Pub Date : 2024-11-05 eCollection Date: 2024-01-01 DOI:10.34133/hds.0198
Fengyu Wen, Yike Zhang, Chao Yang, Pengfei Li, Qing Wang, Luxia Zhang
{"title":"Survival Disparities among Cancer Patients Based on Mobility Patterns: A Population-Based Study.","authors":"Fengyu Wen, Yike Zhang, Chao Yang, Pengfei Li, Qing Wang, Luxia Zhang","doi":"10.34133/hds.0198","DOIUrl":null,"url":null,"abstract":"<p><p><b>Background:</b> Cancer is a major health problem worldwide. A growing number of cancer patients travel to hospitals outside their residential cities due to unbalanced medical resources. We aimed to evaluate the association between patterns of patient mobility and survival among patients with cancer. <b>Methods:</b> Data of patients hospitalized for cancer between January 2015 and December 2017 were collected from the regional data platform of an eastern coastal province of China. According to the cities of hospitalization and residency, 3 mobility patterns including intra-city, local center, and national center pattern were defined. Patients with intra-city pattern were sequentially matched to patients with the other 2 patterns on demographics, marital status, cancer type, comorbidity, and hospitalization frequency, using propensity score matching. We estimated 5-year survival and the associations between all-cause mortality and patient mobility. <b>Results:</b> Among 20,602 cancer patients, there were 17,035 (82.7%) patients with intra-city pattern, 2,974 (14.4%) patients with local center pattern, and 593 (2.9%) patients with national center pattern. Compared to patients with intra-city pattern, higher survival rates were observed in patients with local center pattern [5-year survival rate, 69.3% versus 65.4%; hazard ratio (HR), 0.85; 95% confidence interval (CI), 0.77 to 0.95] and in patients with national center pattern (5-year survival rate, 69.3% versus 64.5%; HR, 0.80; 95% CI, 0.67 to 0.97). <b>Conclusions:</b> We found significant survival disparities among different mobility patterns of patients with cancer. Improving the quality of cancer care is crucial, especially for cities with below-average healthcare resources.</p>","PeriodicalId":73207,"journal":{"name":"Health data science","volume":"10 ","pages":"0198"},"PeriodicalIF":0.0000,"publicationDate":"2024-11-05","publicationTypes":"Journal Article","fieldsOfStudy":null,"isOpenAccess":false,"openAccessPdf":"https://www.ncbi.nlm.nih.gov/pmc/articles/PMC11535395/pdf/","citationCount":"0","resultStr":null,"platform":"Semanticscholar","paperid":null,"PeriodicalName":"Health data science","FirstCategoryId":"1085","ListUrlMain":"https://doi.org/10.34133/hds.0198","RegionNum":0,"RegionCategory":null,"ArticlePicture":[],"TitleCN":null,"AbstractTextCN":null,"PMCID":null,"EPubDate":"2024/1/1 0:00:00","PubModel":"eCollection","JCR":"","JCRName":"","Score":null,"Total":0}
引用次数: 0

Abstract

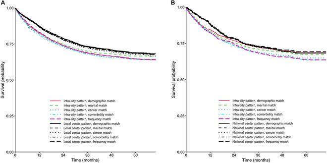
Background: Cancer is a major health problem worldwide. A growing number of cancer patients travel to hospitals outside their residential cities due to unbalanced medical resources. We aimed to evaluate the association between patterns of patient mobility and survival among patients with cancer. Methods: Data of patients hospitalized for cancer between January 2015 and December 2017 were collected from the regional data platform of an eastern coastal province of China. According to the cities of hospitalization and residency, 3 mobility patterns including intra-city, local center, and national center pattern were defined. Patients with intra-city pattern were sequentially matched to patients with the other 2 patterns on demographics, marital status, cancer type, comorbidity, and hospitalization frequency, using propensity score matching. We estimated 5-year survival and the associations between all-cause mortality and patient mobility. Results: Among 20,602 cancer patients, there were 17,035 (82.7%) patients with intra-city pattern, 2,974 (14.4%) patients with local center pattern, and 593 (2.9%) patients with national center pattern. Compared to patients with intra-city pattern, higher survival rates were observed in patients with local center pattern [5-year survival rate, 69.3% versus 65.4%; hazard ratio (HR), 0.85; 95% confidence interval (CI), 0.77 to 0.95] and in patients with national center pattern (5-year survival rate, 69.3% versus 64.5%; HR, 0.80; 95% CI, 0.67 to 0.97). Conclusions: We found significant survival disparities among different mobility patterns of patients with cancer. Improving the quality of cancer care is crucial, especially for cities with below-average healthcare resources.

Abstract Image

Abstract Image

基于流动模式的癌症患者生存差异:基于人口的研究
背景:癌症是世界范围内的主要健康问题。由于医疗资源不均衡,越来越多的癌症患者前往居住城市以外的医院就诊。我们旨在评估癌症患者的流动模式与生存率之间的关系。研究方法我们从中国东部沿海省份的区域数据平台收集了2015年1月至2017年12月期间因癌症住院的患者数据。根据住院和居住城市,定义了3种流动模式,包括市内模式、地方中心模式和国家中心模式。采用倾向得分匹配法,将市内模式的患者与其他两种模式的患者在人口统计学、婚姻状况、癌症类型、合并症和住院频率等方面进行依次匹配。我们估算了患者的 5 年生存率以及全因死亡率与患者流动性之间的关系。结果如下在 20,602 名癌症患者中,有 17,035 人(82.7%)属于城市内模式,2,974 人(14.4%)属于地方中心模式,593 人(2.9%)属于国家中心模式。与市内模式患者相比,当地中心模式患者的存活率更高(5 年存活率,69.3% 对 65.4%;危险比 (HR),0.85;95% 置信区间 (CI),0.77 至 0.95),国家中心模式患者的存活率更高(5 年存活率,69.3% 对 64.5%;HR,0.80;95% 置信区间 (CI),0.67 至 0.97)。结论我们发现不同流动模式的癌症患者之间存在着明显的生存差异。提高癌症治疗质量至关重要,尤其是对于医疗资源低于平均水平的城市。
本文章由计算机程序翻译,如有差异,请以英文原文为准。
求助全文
约1分钟内获得全文 求助全文
来源期刊
CiteScore
3.70
自引率
0.00%
发文量
0
×
引用
GB/T 7714-2015
复制
MLA
复制
APA
复制
导出至
BibTeX EndNote RefMan NoteFirst NoteExpress
×
提示
您的信息不完整,为了账户安全,请先补充。
现在去补充
×
提示
您因"违规操作"
具体请查看互助需知
我知道了
×
提示
确定
请完成安全验证×
copy
已复制链接
快去分享给好友吧!
我知道了
右上角分享
点击右上角分享
0
联系我们:info@booksci.cn Book学术提供免费学术资源搜索服务,方便国内外学者检索中英文文献。致力于提供最便捷和优质的服务体验。 Copyright © 2023 布克学术 All rights reserved.
京ICP备2023020795号-1
ghs 京公网安备 11010802042870号
Book学术文献互助
Book学术文献互助群
群 号:604180095
Book学术官方微信