Body Mass Index and Prevalence of Obesity in Brazilian Adult Women: Temporal Comparison of Repeated Population-Based Cross-Sectional Surveys.

IF 3.9 Q2 ENDOCRINOLOGY & METABOLISM
Journal of Obesity Pub Date : 2024-10-29 eCollection Date: 2024-01-01 DOI:10.1155/2024/9950895
Anderson Garcez, Juvenal Soares Dias-da-Costa, Fernanda Souza de Bairros, Maria Teresa Anselmo Olinto
{"title":"Body Mass Index and Prevalence of Obesity in Brazilian Adult Women: Temporal Comparison of Repeated Population-Based Cross-Sectional Surveys.","authors":"Anderson Garcez, Juvenal Soares Dias-da-Costa, Fernanda Souza de Bairros, Maria Teresa Anselmo Olinto","doi":"10.1155/2024/9950895","DOIUrl":null,"url":null,"abstract":"<p><p><b>Background:</b> Obesity is a complex multifactorial disease that has been associated with higher morbidity and mortality. <b>Objectives:</b> This study aimed to compare changes in body mass index (BMI) and obesity prevalence between two cross-sectional samples of Brazilian women. Furthermore, retrospective assessments of lifetime body weight changes were explored. <b>Methods:</b> Two independent population-based cross-sectional surveys were conducted in 2003 (first survey) and 2015 (second survey) with women living in the urban area city in southern Brazil. Both surveys had a similar design and included 981 women aged 20-60 years. Mean BMI and the presence of obesity (BMI ≥ 30 kg/m<sup>2</sup>) were estimated. Additionally, lifetime body weight change was obtained for the retrospective longitudinal assessment. <b>Results:</b> After 12 years, there was a significant increase from 25.9 ± 5.3 kg/m<sup>2</sup> to 28.1 ± 6.2 kg/m<sup>2</sup> in mean BMI. Between 2003 and 2015, the prevalence of obesity increased by 73% (18.0%; 95% CI: 15.8-20.6 vs. 31.2%; 95% CI: 28.3-34.1; <i>p</i> < 0.001). The means of estimated cumulative body weight gain from 15 to 50 years were 15.2 kg (95% CI: 13.3-17.1) and 17.2 kg (95% CI: 15.5-18.9) in 2003 and 2015, respectively; the greater cumulative difference between the two periods was observed at 40 years of age (3.3 kg). <b>Conclusions:</b> There was a significant increase in the mean BMI and prevalence of obesity between 2003 and 2015. Moreover, women experienced higher body weight gain during their lives in both survey periods, mainly in early adulthood.</p>","PeriodicalId":16628,"journal":{"name":"Journal of Obesity","volume":"2024 ","pages":"9950895"},"PeriodicalIF":3.9000,"publicationDate":"2024-10-29","publicationTypes":"Journal Article","fieldsOfStudy":null,"isOpenAccess":false,"openAccessPdf":"https://www.ncbi.nlm.nih.gov/pmc/articles/PMC11537740/pdf/","citationCount":"0","resultStr":null,"platform":"Semanticscholar","paperid":null,"PeriodicalName":"Journal of Obesity","FirstCategoryId":"1085","ListUrlMain":"https://doi.org/10.1155/2024/9950895","RegionNum":0,"RegionCategory":null,"ArticlePicture":[],"TitleCN":null,"AbstractTextCN":null,"PMCID":null,"EPubDate":"2024/1/1 0:00:00","PubModel":"eCollection","JCR":"Q2","JCRName":"ENDOCRINOLOGY & METABOLISM","Score":null,"Total":0}
引用次数: 0

Abstract

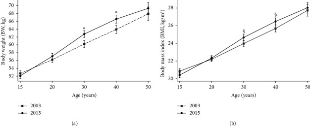
Background: Obesity is a complex multifactorial disease that has been associated with higher morbidity and mortality. Objectives: This study aimed to compare changes in body mass index (BMI) and obesity prevalence between two cross-sectional samples of Brazilian women. Furthermore, retrospective assessments of lifetime body weight changes were explored. Methods: Two independent population-based cross-sectional surveys were conducted in 2003 (first survey) and 2015 (second survey) with women living in the urban area city in southern Brazil. Both surveys had a similar design and included 981 women aged 20-60 years. Mean BMI and the presence of obesity (BMI ≥ 30 kg/m2) were estimated. Additionally, lifetime body weight change was obtained for the retrospective longitudinal assessment. Results: After 12 years, there was a significant increase from 25.9 ± 5.3 kg/m2 to 28.1 ± 6.2 kg/m2 in mean BMI. Between 2003 and 2015, the prevalence of obesity increased by 73% (18.0%; 95% CI: 15.8-20.6 vs. 31.2%; 95% CI: 28.3-34.1; p < 0.001). The means of estimated cumulative body weight gain from 15 to 50 years were 15.2 kg (95% CI: 13.3-17.1) and 17.2 kg (95% CI: 15.5-18.9) in 2003 and 2015, respectively; the greater cumulative difference between the two periods was observed at 40 years of age (3.3 kg). Conclusions: There was a significant increase in the mean BMI and prevalence of obesity between 2003 and 2015. Moreover, women experienced higher body weight gain during their lives in both survey periods, mainly in early adulthood.

Abstract Image

巴西成年女性的体重指数和肥胖患病率:基于人口的重复性横断面调查的时间比较。
背景:肥胖症是一种复杂的多因素疾病,与较高的发病率和死亡率有关。研究目的本研究旨在比较巴西女性两个横断面样本的体重指数(BMI)变化和肥胖症患病率。此外,还对终生体重变化的回顾性评估进行了探讨。调查方法分别于 2003 年(第一次调查)和 2015 年(第二次调查)对居住在巴西南部城市地区的女性进行了两次独立的人口横断面调查。两次调查的设计相似,共包括 981 名 20-60 岁的女性。调查估算了平均体重指数和肥胖程度(体重指数≥ 30 kg/m2)。此外,在回顾性纵向评估中还获得了终生体重变化情况。结果显示12 年后,平均体重指数从 25.9 ± 5.3 kg/m2 显著增至 28.1 ± 6.2 kg/m2。2003 年至 2015 年间,肥胖率增加了 73%(18.0%;95% CI:15.8-20.6 vs. 31.2%;95% CI:28.3-34.1;p <0.001)。2003年和2015年,从15岁到50岁的估计累积体重增加的平均值分别为15.2千克(95% CI:13.3-17.1)和17.2千克(95% CI:15.5-18.9);两个时期的累积差异在40岁时(3.3千克)较大。结论2003 年至 2015 年期间,平均体重指数和肥胖率均有明显增加。此外,在这两个调查期间,女性在一生中体重增加较多,主要是在成年早期。
本文章由计算机程序翻译,如有差异,请以英文原文为准。
求助全文
约1分钟内获得全文 求助全文
来源期刊
Journal of Obesity
Journal of Obesity ENDOCRINOLOGY & METABOLISM-
CiteScore
7.50
自引率
3.00%
发文量
19
审稿时长
21 weeks
期刊介绍: Journal of Obesity is a peer-reviewed, Open Access journal that provides a multidisciplinary forum for basic and clinical research as well as applied studies in the areas of adipocyte biology & physiology, lipid metabolism, metabolic syndrome, diabetes, paediatric obesity, genetics, behavioural epidemiology, nutrition & eating disorders, exercise & human physiology, weight control and health risks associated with obesity.
×
引用
GB/T 7714-2015
复制
MLA
复制
APA
复制
导出至
BibTeX EndNote RefMan NoteFirst NoteExpress
×
提示
您的信息不完整,为了账户安全,请先补充。
现在去补充
×
提示
您因"违规操作"
具体请查看互助需知
我知道了
×
提示
确定
请完成安全验证×
copy
已复制链接
快去分享给好友吧!
我知道了
右上角分享
点击右上角分享
0
联系我们:info@booksci.cn Book学术提供免费学术资源搜索服务,方便国内外学者检索中英文文献。致力于提供最便捷和优质的服务体验。 Copyright © 2023 布克学术 All rights reserved.
京ICP备2023020795号-1
ghs 京公网安备 11010802042870号
Book学术文献互助
Book学术文献互助群
群 号:604180095
Book学术官方微信