Investigating the effect of immunomagnetic separation on the immunophenotype and viability of plasma cells in plasma cell disorders.

IF 2.3 4区 医学 Q3 ONCOLOGY
Pathology & Oncology Research Pub Date : 2024-10-18 eCollection Date: 2024-01-01 DOI:10.3389/pore.2024.1611882
Ágnes Czeti, Soma Sashalmi, Ferenc Takács, Gábor Szalóki, Csilla Kriston, Gergely Varga, Péter Farkas, Aryan Hamed, Ágnes Márk, Gábor Barna
{"title":"Investigating the effect of immunomagnetic separation on the immunophenotype and viability of plasma cells in plasma cell disorders.","authors":"Ágnes Czeti, Soma Sashalmi, Ferenc Takács, Gábor Szalóki, Csilla Kriston, Gergely Varga, Péter Farkas, Aryan Hamed, Ágnes Márk, Gábor Barna","doi":"10.3389/pore.2024.1611882","DOIUrl":null,"url":null,"abstract":"<p><p>Plasma cell enrichment plays a pivotal role in the accurate prognosis and molecular characterization of multiple myeloma. The separation is commonly carried out by positive cell selection using CD138 monoclonal antibody conjugated to magnetic beads. Optimally, during the separation procedure, the cells should neither be damaged, nor should their phenotype be significantly altered, as these changes would falsify the results if the isolated cells were subsequently used. For this reason, we investigated the expression patterns of different surface markers by flow cytometry before and after magnetic isolation using bone marrow or peripheral blood samples from 12 patients with plasma cell disorders. The selected markers are not only used as backbone markers in routine diagnostics (CD19, CD38, CD45, CD117, and CD138), but they also play an important role in cell adhesion and connection with microenvironment (CD44, CD49d, CD56, and CD81) or possibly drug resistance (CD69, CD86, and CD184), making them promising targets for myeloma research. Moreover, we examined the effects of separation on cell viability in 8 cases. The intensities of 8 out of the 12 investigated markers were slightly influenced, while CD138, CD38, CD56, and CD184 were changed significantly, however the immunophenotype of the cells was not changed. Positive markers remained positive and negative ones remained negative after the separation procedure. In addition, the number of apoptotic plasma cells was significantly reduced during separation, facilitating further examination of the cells. Our results showed that magnetic isolation can be considered as a reliable option but the immunophenotype of plasma cells should be validated after the separation if the intensities of the markers are important for further experiments.</p>","PeriodicalId":19981,"journal":{"name":"Pathology & Oncology Research","volume":"30 ","pages":"1611882"},"PeriodicalIF":2.3000,"publicationDate":"2024-10-18","publicationTypes":"Journal Article","fieldsOfStudy":null,"isOpenAccess":false,"openAccessPdf":"https://www.ncbi.nlm.nih.gov/pmc/articles/PMC11527611/pdf/","citationCount":"0","resultStr":null,"platform":"Semanticscholar","paperid":null,"PeriodicalName":"Pathology & Oncology Research","FirstCategoryId":"3","ListUrlMain":"https://doi.org/10.3389/pore.2024.1611882","RegionNum":4,"RegionCategory":"医学","ArticlePicture":[],"TitleCN":null,"AbstractTextCN":null,"PMCID":null,"EPubDate":"2024/1/1 0:00:00","PubModel":"eCollection","JCR":"Q3","JCRName":"ONCOLOGY","Score":null,"Total":0}
引用次数: 0

Abstract

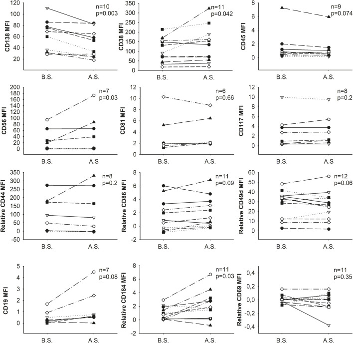
Plasma cell enrichment plays a pivotal role in the accurate prognosis and molecular characterization of multiple myeloma. The separation is commonly carried out by positive cell selection using CD138 monoclonal antibody conjugated to magnetic beads. Optimally, during the separation procedure, the cells should neither be damaged, nor should their phenotype be significantly altered, as these changes would falsify the results if the isolated cells were subsequently used. For this reason, we investigated the expression patterns of different surface markers by flow cytometry before and after magnetic isolation using bone marrow or peripheral blood samples from 12 patients with plasma cell disorders. The selected markers are not only used as backbone markers in routine diagnostics (CD19, CD38, CD45, CD117, and CD138), but they also play an important role in cell adhesion and connection with microenvironment (CD44, CD49d, CD56, and CD81) or possibly drug resistance (CD69, CD86, and CD184), making them promising targets for myeloma research. Moreover, we examined the effects of separation on cell viability in 8 cases. The intensities of 8 out of the 12 investigated markers were slightly influenced, while CD138, CD38, CD56, and CD184 were changed significantly, however the immunophenotype of the cells was not changed. Positive markers remained positive and negative ones remained negative after the separation procedure. In addition, the number of apoptotic plasma cells was significantly reduced during separation, facilitating further examination of the cells. Our results showed that magnetic isolation can be considered as a reliable option but the immunophenotype of plasma cells should be validated after the separation if the intensities of the markers are important for further experiments.

Abstract Image

Abstract Image

Abstract Image

研究免疫磁分离对浆细胞疾病中浆细胞免疫表型和活力的影响。
浆细胞富集对多发性骨髓瘤的准确预后和分子特征描述起着关键作用。通常采用CD138单克隆抗体与磁珠结合的阳性细胞选择法进行分离。最理想的情况是,在分离过程中,细胞既不能受损,其表型也不能发生明显改变,因为这些改变会使分离出的细胞在随后的使用中出现错误结果。为此,我们利用 12 名浆细胞疾病患者的骨髓或外周血样本,通过流式细胞术研究了磁分离前后不同表面标记物的表达模式。所选标记物不仅是常规诊断中的骨干标记物(CD19、CD38、CD45、CD117 和 CD138),而且在细胞粘附和与微环境的联系(CD44、CD49d、CD56 和 CD81)或可能的耐药性(CD69、CD86 和 CD184)中也发挥着重要作用,因此是骨髓瘤研究中很有前景的靶标。此外,我们还检测了 8 个病例中分离对细胞活力的影响。在 12 个研究标记中,有 8 个的强度受到轻微影响,而 CD138、CD38、CD56 和 CD184 则发生了显著变化,但细胞的免疫表型没有改变。在分离过程后,阳性标记物仍为阳性,阴性标记物仍为阴性。此外,在分离过程中,凋亡浆细胞的数量明显减少,有利于进一步检查细胞。我们的研究结果表明,磁分离是一种可靠的选择,但如果标记物的强度对进一步实验很重要,则应在分离后对浆细胞的免疫表型进行验证。
本文章由计算机程序翻译,如有差异,请以英文原文为准。
求助全文
约1分钟内获得全文 求助全文
来源期刊
CiteScore
6.30
自引率
0.00%
发文量
134
审稿时长
4-8 weeks
期刊介绍: Pathology & Oncology Research (POR) is an interdisciplinary Journal at the interface of pathology and oncology including the preclinical and translational research, diagnostics and therapy. Furthermore, POR is an international forum for the rapid communication of reviews, original research, critical and topical reports with excellence and novelty. Published quarterly, POR is dedicated to keeping scientists informed of developments on the selected biomedical fields bridging the gap between basic research and clinical medicine. It is a special aim for POR to promote pathological and oncological publishing activity of colleagues in the Central and East European region. The journal will be of interest to pathologists, and a broad range of experimental and clinical oncologists, and related experts. POR is supported by an acknowledged international advisory board and the Arányi Fundation for modern pathology.
×
引用
GB/T 7714-2015
复制
MLA
复制
APA
复制
导出至
BibTeX EndNote RefMan NoteFirst NoteExpress
×
提示
您的信息不完整,为了账户安全,请先补充。
现在去补充
×
提示
您因"违规操作"
具体请查看互助需知
我知道了
×
提示
确定
请完成安全验证×
copy
已复制链接
快去分享给好友吧!
我知道了
右上角分享
点击右上角分享
0
联系我们:info@booksci.cn Book学术提供免费学术资源搜索服务,方便国内外学者检索中英文文献。致力于提供最便捷和优质的服务体验。 Copyright © 2023 布克学术 All rights reserved.
京ICP备2023020795号-1
ghs 京公网安备 11010802042870号
Book学术文献互助
Book学术文献互助群
群 号:604180095
Book学术官方微信