Sodium Zirconium Cyclosilicate for Renin-Angiotensin-Aldosterone System Inhibitor Optimization in Patients with Heart Failure with Reduced Ejection Fraction: A Retrospective Analysis.

IF 2.7 Q2 CARDIAC & CARDIOVASCULAR SYSTEMS
Cardiology and Therapy Pub Date : 2024-12-01 Epub Date: 2024-11-01 DOI:10.1007/s40119-024-00388-z
Rhys Williams, William Ford, Alexander James, Kerys Thomas, Aaron Wong
{"title":"Sodium Zirconium Cyclosilicate for Renin-Angiotensin-Aldosterone System Inhibitor Optimization in Patients with Heart Failure with Reduced Ejection Fraction: A Retrospective Analysis.","authors":"Rhys Williams, William Ford, Alexander James, Kerys Thomas, Aaron Wong","doi":"10.1007/s40119-024-00388-z","DOIUrl":null,"url":null,"abstract":"<p><strong>Introduction: </strong>In this retrospective analysis, we evaluate the effectiveness of the potassium (K<sup>+</sup>) binder sodium zirconium cyclosilicate (SZC) in maintaining normokalemia and facilitating the initiation, optimization, and maintenance of renin-angiotensin-aldosterone system inhibitors (RAASi) in patients with heart failure (HF) with reduced ejection fraction (HFrEF).</p><p><strong>Methods: </strong>A total of 44 patients with HFrEF and a history of hyperkalemia who were receiving SZC to enable the prescription of RAASi were identified from two district general hospital sites. Retrospective analysis was performed to determine biochemical response, alterations in pharmacotherapy, and subsequent HF outcomes following initiation of SZC.</p><p><strong>Results: </strong>Mean K<sup>+</sup> was reduced by 0.9 mmol/L within 1 month of initiation of SZC; mean K<sup>+</sup> after 12 months of treatment was 4.8 mmol/L with a median (interquartile range) duration of treatment of 13 (8.4-15.1) months. Following SZC treatment, 100% of patients received an angiotensin receptor-neprilysin inhibitor (18% increase) and 93% received a mineralocorticoid receptor antagonist (41% increase), with 59% and 37% achieving guideline-recommended dosing, respectively. Ninety-one percent of patients were able to receive triple or quadruple therapy with the addition of a beta-blocker and a sodium glucose co-transporter 2 inhibitor. Reduced rates of hospitalization for HF (HHF) were observed with 12 episodes per 100 patient-years recorded (reduced from 21) in addition to improvements in mean left ventricular ejection fraction (29-36%) and median N-terminal pro-B-type natriuretic peptide (3458-2055 ng/L, 45% median reduction). Renal function (creatinine clearance increased from 48.4 to 49.3 ml/min) and systolic blood pressure (decreased from 124 to 122 mmHg) were similar following optimization, and no tolerability issues were identified.</p><p><strong>Conclusions: </strong>Extended real-world treatment with the K<sup>+</sup> binder SZC was effective at maintaining normokalemia, and was associated with a greater uptake of RAASi, a reduced rate of HHF, and improvements in cardiac biomarkers in patients with HFrEF.</p>","PeriodicalId":9561,"journal":{"name":"Cardiology and Therapy","volume":" ","pages":"797-809"},"PeriodicalIF":2.7000,"publicationDate":"2024-12-01","publicationTypes":"Journal Article","fieldsOfStudy":null,"isOpenAccess":false,"openAccessPdf":"https://www.ncbi.nlm.nih.gov/pmc/articles/PMC11607300/pdf/","citationCount":"0","resultStr":null,"platform":"Semanticscholar","paperid":null,"PeriodicalName":"Cardiology and Therapy","FirstCategoryId":"1085","ListUrlMain":"https://doi.org/10.1007/s40119-024-00388-z","RegionNum":0,"RegionCategory":null,"ArticlePicture":[],"TitleCN":null,"AbstractTextCN":null,"PMCID":null,"EPubDate":"2024/11/1 0:00:00","PubModel":"Epub","JCR":"Q2","JCRName":"CARDIAC & CARDIOVASCULAR SYSTEMS","Score":null,"Total":0}
引用次数: 0

Abstract

Introduction: In this retrospective analysis, we evaluate the effectiveness of the potassium (K+) binder sodium zirconium cyclosilicate (SZC) in maintaining normokalemia and facilitating the initiation, optimization, and maintenance of renin-angiotensin-aldosterone system inhibitors (RAASi) in patients with heart failure (HF) with reduced ejection fraction (HFrEF).

Methods: A total of 44 patients with HFrEF and a history of hyperkalemia who were receiving SZC to enable the prescription of RAASi were identified from two district general hospital sites. Retrospective analysis was performed to determine biochemical response, alterations in pharmacotherapy, and subsequent HF outcomes following initiation of SZC.

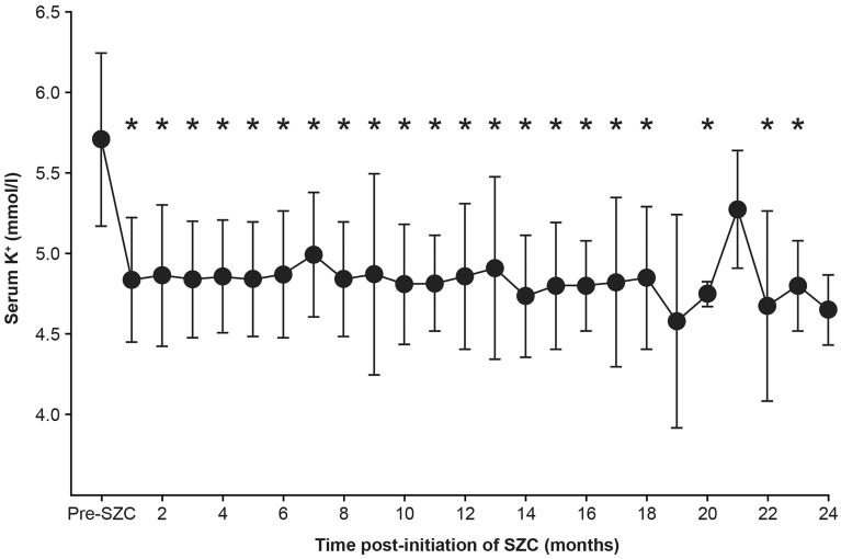
Results: Mean K+ was reduced by 0.9 mmol/L within 1 month of initiation of SZC; mean K+ after 12 months of treatment was 4.8 mmol/L with a median (interquartile range) duration of treatment of 13 (8.4-15.1) months. Following SZC treatment, 100% of patients received an angiotensin receptor-neprilysin inhibitor (18% increase) and 93% received a mineralocorticoid receptor antagonist (41% increase), with 59% and 37% achieving guideline-recommended dosing, respectively. Ninety-one percent of patients were able to receive triple or quadruple therapy with the addition of a beta-blocker and a sodium glucose co-transporter 2 inhibitor. Reduced rates of hospitalization for HF (HHF) were observed with 12 episodes per 100 patient-years recorded (reduced from 21) in addition to improvements in mean left ventricular ejection fraction (29-36%) and median N-terminal pro-B-type natriuretic peptide (3458-2055 ng/L, 45% median reduction). Renal function (creatinine clearance increased from 48.4 to 49.3 ml/min) and systolic blood pressure (decreased from 124 to 122 mmHg) were similar following optimization, and no tolerability issues were identified.

Conclusions: Extended real-world treatment with the K+ binder SZC was effective at maintaining normokalemia, and was associated with a greater uptake of RAASi, a reduced rate of HHF, and improvements in cardiac biomarkers in patients with HFrEF.

Abstract Image

Abstract Image

环硅酸锆钠用于射血分数减低型心力衰竭患者的肾素-血管紧张素-醛固酮系统抑制剂优化:回顾性分析
简介在这项回顾性分析中,我们评估了钾(K+)粘合剂环硅酸锆钠(SZC)在维持正常血钾以及促进射血分数降低的心力衰竭(HF)患者开始、优化和维持肾素-血管紧张素-醛固酮系统抑制剂(RAASi)方面的有效性:从两家地区综合医院共确定了44名有高钾血症病史的射血分数降低型心力衰竭患者,这些患者正在接受深静脉血栓治疗,以便能够开具RAASi处方。我们进行了回顾性分析,以确定开始使用 SZC 后的生化反应、药物治疗的改变以及随后的高房血症结果:结果:在开始使用 SZC 的 1 个月内,平均 K+ 降低了 0.9 mmol/L;治疗 12 个月后,平均 K+ 为 4.8 mmol/L,中位(四分位间范围)治疗时间为 13(8.4-15.1)个月。在接受 SZC 治疗后,100% 的患者接受了血管紧张素受体-奈普利酶抑制剂(增加了 18%),93% 的患者接受了矿物质皮质激素受体拮抗剂(增加了 41%),分别有 59% 和 37% 的患者达到了指南推荐的剂量。91%的患者能够接受三联或四联疗法,同时加用β受体阻滞剂和钠葡萄糖协同转运体2抑制剂。除了平均左心室射血分数(29%-36%)和 N-末端前 B 型钠尿肽中位数(3458-2055 ng/L,中位数降低 45%)有所改善外,还观察到 HF(HHF)住院率有所降低,每 100 患者年记录到 12 例(比 21 例有所降低)。优化后的肾功能(肌酐清除率从 48.4 ml/min 升至 49.3 ml/min)和收缩压(从 124 mmHg 降至 122 mmHg)相似,未发现耐受性问题:结论:K+缓冲剂SZC的长期实际治疗能有效维持正常血钾,并能提高RAASi的吸收率,降低HHF发生率,改善HFrEF患者的心脏生物标志物。
本文章由计算机程序翻译,如有差异,请以英文原文为准。
求助全文
约1分钟内获得全文 求助全文
来源期刊
Cardiology and Therapy
Cardiology and Therapy CARDIAC & CARDIOVASCULAR SYSTEMS-
CiteScore
5.30
自引率
0.00%
发文量
38
审稿时长
6 weeks
期刊介绍: Aims and Scope Cardiology and Therapy is an international, open access, peer reviewed (single-blind), rapid-publication journal dedicated to the publication of high-quality clinical (all phases), observational, real-world, and health outcomes research around the discovery, development, and use of cardiovascular therapies and interventions, including devices. Studies relating to diagnosis and diagnostics, pharmacoeconomics, public health, quality of life, as well as patient care, management and education are also encouraged. Areas of focus include, but are not limited to, ischaemic heart disease and acute cardiac care, myocardial, valvular, pericardial and congenital heart disease, vascular and pulmonary disease (including hypertension), arrhythmias, heart failure, non-invasive diagnostic techniques, and invasive and interventional cardiology as well as cardiovascular surgery. The journal is of interest to a broad audience of pharmaceutical and healthcare professionals and publishes original research, reviews, case reports/case series, trial protocols and short communications such as commentaries and editorials. Cardiolology and Therapy will consider all scientifically sound research be it positive, confirmatory or negative data. Submissions are welcomed whether they relate to an international and/or a country-specific audience, something that is crucially important when researchers are trying to target more specific patient populations. This inclusive approach allows the journal to assist in the dissemination of quality research, which may be considered of insufficient interest by other journals. Rapid Publication The journal’s publication timelines aim for a rapid peer review of 2 weeks. If an article is accepted it will be published 3–4 weeks from acceptance. The rapid timelines are achieved through the combination of a dedicated in-house editorial team, who manage article workflow, and an extensive Editorial and Advisory Board who assist with peer review. This allows the journal to support the rapid dissemination of research, whilst still providing robust peer review. Combined with the journal’s open access model this allows for the rapid, efficient communication of the latest research and reviews, fostering the advancement of cardiovascular therapies. Personal Service The journal’s dedicated in-house editorial team offer a personal “concierge service” meaning authors will always have an editorial contact able to update them on the status of their manuscript. The editorial team check all manuscripts to ensure that articles conform to the most recent COPE, GPP and ICMJE publishing guidelines. This supports the publication of ethically sound and transparent research. Digital Features and Plain Language Summaries Cardiology and Therapy offers a range of additional features designed to increase the visibility, readership and educational value of the journal’s content. Each article is accompanied by key summary points, giving a time-efficient overview of the content to a wide readership. Articles may be accompanied by plain language summaries to assist readers who have some knowledge of, but not in-depth expertise in, the area to understand the scientific content and overall implications of the article. The journal also provides the option to include various types of digital features including animated abstracts, video abstracts, slide decks, audio slides, instructional videos, infographics, podcasts and animations. All additional features are peer reviewed to the same high standard as the article itself. If you consider that your paper would benefit from the inclusion of a digital feature, please let us know. Our editorial team are able to create high-quality slide decks and infographics in-house, and video abstracts through our partner Research Square, and would be happy to assist in any way we can. For further information about digital features, please contact the journal editor (see ‘Contact the Journal’ for email address), and see the ‘Guidelines for digital features and plain language summaries’ document under ‘Submission guidelines’. For examples of digital features please visit our showcase page https://springerhealthcare.com/expertise/publishing-digital-features/ Publication Fees Upon acceptance of your article for publication, authors will be required to pay the mandatory Rapid Service Fee of £3650/€4500/$5100. The journal will consider fee discounts for developing countries and this is decided on a case by case basis. Open Access All articles published by Cardiology and Therapy are published open access. Peer Review Process Upon submission, manuscripts are assessed by the editorial team to ensure they fit within the aims and scope of the journal and are also checked for plagiarism. All suitable submissions are then subject to a comprehensive single-blind peer review. Reviewers are selected based on their relevant expertise and publication history in the subject area. The journal has an extensive pool of editorial and advisory board members who have been selected to assist with peer review based on the afore-mentioned criteria. At least two extensive reviews are required to make the editorial decision, with the exception of some article types such as Commentaries, Editorials and Letters which are generally reviewed by one member of the Editorial Board. Where reviewer recommendations are conflicted, the editorial board will be contacted for further advice and a presiding decision. Manuscripts are then either accepted, rejected or authors are required to make major or minor revisions (both reviewer comments and editorial comments may need to be addressed). Once a revised manuscript is re-submitted, it is assessed along with the responses to reviewer comments and if it has been adequately revised it will be accepted for publication. Accepted manuscripts are then copyedited and typeset by the production team before online publication. Appeals against decisions following peer review are considered on a case by case basis and should be sent to the journal editor. Preprints We encourage posting of preprints of primary research manuscripts on preprint servers, authors’ or institutional websites, and open communications between researchers whether on community preprint servers or preprint commenting platforms. Posting of preprints is not considered prior publication and will not jeopardize consideration in our journals. Authors should disclose details of preprint posting during the submission process or at any other point during consideration in one of our journals. Once the preprint is published, it is the author’s responsibility to ensure that the preprint record is updated with a publication reference, including the DOI and a URL link to the published version of the article on the journal website. Copyright Cardiology and Therapy is published under the Creative Commons Attribution-Noncommercial License, which allows users to read, copy, distribute, and make derivative works for non-commercial purposes from the material, as long as the author of the original work is cited. The author assigns the exclusive right to any commercial use of the article to Springer. For more information about the Creative Commons Attribution-Noncommercial License, click here: http://creativecommons.org/licenses/by-nc/4.0. Contact For more information about the journal, including pre-submission enquiries, please contact matthew.evans@springer.com
×
引用
GB/T 7714-2015
复制
MLA
复制
APA
复制
导出至
BibTeX EndNote RefMan NoteFirst NoteExpress
×
提示
您的信息不完整,为了账户安全,请先补充。
现在去补充
×
提示
您因"违规操作"
具体请查看互助需知
我知道了
×
提示
确定
请完成安全验证×
copy
已复制链接
快去分享给好友吧!
我知道了
右上角分享
点击右上角分享
0
联系我们:info@booksci.cn Book学术提供免费学术资源搜索服务,方便国内外学者检索中英文文献。致力于提供最便捷和优质的服务体验。 Copyright © 2023 布克学术 All rights reserved.
京ICP备2023020795号-1
ghs 京公网安备 11010802042870号
Book学术文献互助
Book学术文献互助群
群 号:604180095
Book学术官方微信