SURVIVAL AND PROGNOSTIC FACTORS OF ANAL CANCER: A STUDY BASED ON DATA FROM THE HOSPITAL-BASED CANCER REGISTRY OF A HIGH-COMPLEXITY ONCOLOGY CARE CENTER.

IF 1.8
Wallace Henrique Pinho da Paixão, Gelcio Luiz Quintella Mendes, Débora Santos da Silva, Rosyane Garcês Moreira Lima de Souza, Rodrigo Otavio de Castro Araujo, Karina Cardoso Meira, Rafael Tavares Jomar
{"title":"SURVIVAL AND PROGNOSTIC FACTORS OF ANAL CANCER: A STUDY BASED ON DATA FROM THE HOSPITAL-BASED CANCER REGISTRY OF A HIGH-COMPLEXITY ONCOLOGY CARE CENTER.","authors":"Wallace Henrique Pinho da Paixão, Gelcio Luiz Quintella Mendes, Débora Santos da Silva, Rosyane Garcês Moreira Lima de Souza, Rodrigo Otavio de Castro Araujo, Karina Cardoso Meira, Rafael Tavares Jomar","doi":"10.1590/0102-6720202400037e1830","DOIUrl":null,"url":null,"abstract":"<p><strong>Background: </strong>Anal cancer is a relatively rare disease, and there is a lack of survival data from low- and middle-income countries.</p><p><strong>Aims: </strong>The aim of this study was to investigate the survival rates and prognostic factors of anal cancer cases treated at a High-Complexity Oncology Care Center in Rio de Janeiro, Brazil.</p><p><strong>Methods: </strong>A retrospective cohort study was conducted involving 665 cases of squamous cell carcinoma of the anus/anal canal treated from 2000 to 2016. To estimate the 5-year overall survival probability and survival according to selected variables, the Kaplan-Meier method and the log-rank test were applied. To identify factors associated with survival, the Cox proportional hazards model, stratified by staging, was used to estimate hazard ratios (HR). Ninety-five percent confidence intervals (95%CI) were also calculated.</p><p><strong>Results: </strong>The overall survival probability was 62.20% (95%CI 57.90-66.20). Higher survival rates were observed in female cases, those with non-advanced staging, and those treated with chemoradiotherapy (p<0.001). Among cases with advanced staging, being female was a protective factor against death (HR=0.52; 95%CI 0.28-0.93). Compared to chemoradiotherapy, at least one type of treatment was identified as a risk factor: chemoradiotherapy + surgery among cases with non-advanced staging (HR=22.65; 95%CI 5.65-90.81), radiotherapy among cases with advanced staging (HR=2.71; 95%CI 1.39-5.30), and among cases with unknown staging, no treatment (HR=3.36; 95%CI 1.73-6.50), radiotherapy (HR=2.38; 95%CI 1.46-3.88), and radiotherapy + surgery (HR=3.99; 95%CI 1.20-13.27).</p><p><strong>Conclusions: </strong>The findings support the superiority of chemoradiotherapy over other therapeutic modalities for anal cancer, resulting in increased survival and a better prognosis.</p>","PeriodicalId":72298,"journal":{"name":"Arquivos brasileiros de cirurgia digestiva : ABCD = Brazilian archives of digestive surgery","volume":"37 ","pages":"e1830"},"PeriodicalIF":1.8000,"publicationDate":"2024-10-28","publicationTypes":"Journal Article","fieldsOfStudy":null,"isOpenAccess":false,"openAccessPdf":"https://www.ncbi.nlm.nih.gov/pmc/articles/PMC11520677/pdf/","citationCount":"0","resultStr":null,"platform":"Semanticscholar","paperid":null,"PeriodicalName":"Arquivos brasileiros de cirurgia digestiva : ABCD = Brazilian archives of digestive surgery","FirstCategoryId":"1085","ListUrlMain":"https://doi.org/10.1590/0102-6720202400037e1830","RegionNum":0,"RegionCategory":null,"ArticlePicture":[],"TitleCN":null,"AbstractTextCN":null,"PMCID":null,"EPubDate":"2024/1/1 0:00:00","PubModel":"eCollection","JCR":"","JCRName":"","Score":null,"Total":0}
引用次数: 0

Abstract

Background: Anal cancer is a relatively rare disease, and there is a lack of survival data from low- and middle-income countries.

Aims: The aim of this study was to investigate the survival rates and prognostic factors of anal cancer cases treated at a High-Complexity Oncology Care Center in Rio de Janeiro, Brazil.

Methods: A retrospective cohort study was conducted involving 665 cases of squamous cell carcinoma of the anus/anal canal treated from 2000 to 2016. To estimate the 5-year overall survival probability and survival according to selected variables, the Kaplan-Meier method and the log-rank test were applied. To identify factors associated with survival, the Cox proportional hazards model, stratified by staging, was used to estimate hazard ratios (HR). Ninety-five percent confidence intervals (95%CI) were also calculated.

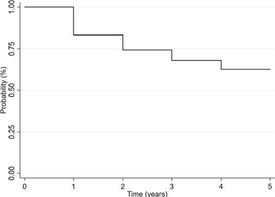
Results: The overall survival probability was 62.20% (95%CI 57.90-66.20). Higher survival rates were observed in female cases, those with non-advanced staging, and those treated with chemoradiotherapy (p<0.001). Among cases with advanced staging, being female was a protective factor against death (HR=0.52; 95%CI 0.28-0.93). Compared to chemoradiotherapy, at least one type of treatment was identified as a risk factor: chemoradiotherapy + surgery among cases with non-advanced staging (HR=22.65; 95%CI 5.65-90.81), radiotherapy among cases with advanced staging (HR=2.71; 95%CI 1.39-5.30), and among cases with unknown staging, no treatment (HR=3.36; 95%CI 1.73-6.50), radiotherapy (HR=2.38; 95%CI 1.46-3.88), and radiotherapy + surgery (HR=3.99; 95%CI 1.20-13.27).

Conclusions: The findings support the superiority of chemoradiotherapy over other therapeutic modalities for anal cancer, resulting in increased survival and a better prognosis.

Abstract Image

肛门癌的存活率和预后因素:一项基于高复杂性肿瘤护理中心的医院癌症登记数据的研究。
背景:肛门癌是一种相对罕见的疾病,目前缺乏中低收入国家的生存数据。目的:本研究旨在调查巴西里约热内卢一家高难度肿瘤治疗中心治疗的肛门癌病例的生存率和预后因素:这项回顾性队列研究涉及2000年至2016年期间接受治疗的665例肛门/肛管鳞状细胞癌病例。为了估算5年总生存概率和根据选定变量得出的生存率,研究采用了卡普兰-梅耶法和对数秩检验。为确定与生存率相关的因素,采用了按分期分层的考克斯比例危险模型来估算危险比(HR)。同时还计算了95%的置信区间(95%CI):总生存率为 62.20% (95%CI 57.90-66.20)。女性病例、非晚期分期病例和接受化放疗的病例的生存率更高(p 结论:研究结果表明,化放疗具有更高的生存率,而非晚期分期病例的生存率则更低:研究结果支持化疗优于其他肛门癌治疗方式,从而提高了生存率,改善了预后。
本文章由计算机程序翻译,如有差异,请以英文原文为准。
求助全文
约1分钟内获得全文 求助全文
来源期刊
自引率
0.00%
发文量
0
×
引用
GB/T 7714-2015
复制
MLA
复制
APA
复制
导出至
BibTeX EndNote RefMan NoteFirst NoteExpress
×
提示
您的信息不完整,为了账户安全,请先补充。
现在去补充
×
提示
您因"违规操作"
具体请查看互助需知
我知道了
×
提示
确定
请完成安全验证×
copy
已复制链接
快去分享给好友吧!
我知道了
右上角分享
点击右上角分享
0
联系我们:info@booksci.cn Book学术提供免费学术资源搜索服务,方便国内外学者检索中英文文献。致力于提供最便捷和优质的服务体验。 Copyright © 2023 布克学术 All rights reserved.
京ICP备2023020795号-1
ghs 京公网安备 11010802042870号
Book学术文献互助
Book学术文献互助群
群 号:604180095
Book学术官方微信