Repeatability of swimming activity of the Patagonian grouper Acanthistius patachonicus based on accelerometry.

IF 2.5 3区 环境科学与生态学 Q2 BIODIVERSITY CONSERVATION
Conservation Physiology Pub Date : 2024-10-28 eCollection Date: 2024-01-01 DOI:10.1093/conphys/coae074
Leonardo A Venerus, Paolo Domenici, Stefano Marras, Lucas E Beltramino, Javier E Ciancio
{"title":"Repeatability of swimming activity of the Patagonian grouper <i>Acanthistius patachonicus</i> based on accelerometry.","authors":"Leonardo A Venerus, Paolo Domenici, Stefano Marras, Lucas E Beltramino, Javier E Ciancio","doi":"10.1093/conphys/coae074","DOIUrl":null,"url":null,"abstract":"<p><p>The study of repeatability in behaviour and activity level can be used to evaluate inter-individual differences, which are fundamental to assess the resilience of populations to environmental variation. Previous work on repeatability in wild fish populations has largely been based on acoustic telemetry or mark-and-recapture and has revealed repeatable activity patterns over relatively long periods in a number of species. Although accelerometry is a promising tool for investigating the swimming activity of fish in the wild, little is known about the repeatability of accelerometry-based traits in wild fish. Here, we used external accelerometers to investigate the swimming activity of the Patagonian grouper <i>Acanthistius patachonicus</i>, a rocky-reef fish with high site fidelity, which ensures a high recapture rate of accelerometer tags. Accelerometry was used to investigate the short-term repeatability of a number of activity traits, including swimming, hovering, daily median tailbeat frequency, percentage of high tailbeat frequency and total number of tailbeats at different times of the year. We found that all of the variables are repeatable over the daily scale and four out of five variables are repeatable over weekly periods. Overall, our work suggests that these traits are individual-specific for the short time period investigated. In addition, the percentage of time spent in swimming and hovering was greater in the warm season compared to the cold season, suggesting higher activity levels related to higher temperatures. These results suggest that activity traits related to swimming are repeatable and likely related to the physiological state of each individual. Finally, our work shows that accelerometry can be considered a valuable tool to explore inter-individual differences with potential applications for assessing the resilience of wild populations.</p>","PeriodicalId":54331,"journal":{"name":"Conservation Physiology","volume":"12 1","pages":"coae074"},"PeriodicalIF":2.5000,"publicationDate":"2024-10-28","publicationTypes":"Journal Article","fieldsOfStudy":null,"isOpenAccess":false,"openAccessPdf":"https://www.ncbi.nlm.nih.gov/pmc/articles/PMC11519044/pdf/","citationCount":"0","resultStr":null,"platform":"Semanticscholar","paperid":null,"PeriodicalName":"Conservation Physiology","FirstCategoryId":"93","ListUrlMain":"https://doi.org/10.1093/conphys/coae074","RegionNum":3,"RegionCategory":"环境科学与生态学","ArticlePicture":[],"TitleCN":null,"AbstractTextCN":null,"PMCID":null,"EPubDate":"2024/1/1 0:00:00","PubModel":"eCollection","JCR":"Q2","JCRName":"BIODIVERSITY CONSERVATION","Score":null,"Total":0}
引用次数: 0

Abstract

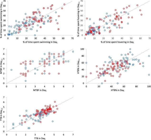
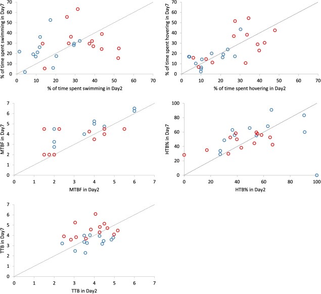
The study of repeatability in behaviour and activity level can be used to evaluate inter-individual differences, which are fundamental to assess the resilience of populations to environmental variation. Previous work on repeatability in wild fish populations has largely been based on acoustic telemetry or mark-and-recapture and has revealed repeatable activity patterns over relatively long periods in a number of species. Although accelerometry is a promising tool for investigating the swimming activity of fish in the wild, little is known about the repeatability of accelerometry-based traits in wild fish. Here, we used external accelerometers to investigate the swimming activity of the Patagonian grouper Acanthistius patachonicus, a rocky-reef fish with high site fidelity, which ensures a high recapture rate of accelerometer tags. Accelerometry was used to investigate the short-term repeatability of a number of activity traits, including swimming, hovering, daily median tailbeat frequency, percentage of high tailbeat frequency and total number of tailbeats at different times of the year. We found that all of the variables are repeatable over the daily scale and four out of five variables are repeatable over weekly periods. Overall, our work suggests that these traits are individual-specific for the short time period investigated. In addition, the percentage of time spent in swimming and hovering was greater in the warm season compared to the cold season, suggesting higher activity levels related to higher temperatures. These results suggest that activity traits related to swimming are repeatable and likely related to the physiological state of each individual. Finally, our work shows that accelerometry can be considered a valuable tool to explore inter-individual differences with potential applications for assessing the resilience of wild populations.

Abstract Image

Abstract Image

Abstract Image

基于加速度计的巴塔哥尼亚石斑鱼游泳活动的可重复性。
对行为和活动水平重复性的研究可用于评估个体间差异,这对于评估种群对环境变化的适应能力至关重要。以前对野生鱼类种群重复性的研究主要基于声学遥测或标记-再捕捉,并揭示了一些物种在相对较长时期内可重复的活动模式。虽然加速度计是调查野生鱼类游泳活动的一种很有前途的工具,但人们对野生鱼类基于加速度计的特征的可重复性知之甚少。在这里,我们使用外置加速度计来研究巴塔哥尼亚石斑鱼(Acanthistius patachonicus)的游泳活动,这种岩礁鱼类具有很高的地点忠诚度,这确保了加速度计标签的高再捕获率。我们利用加速度计研究了一些活动特征的短期可重复性,包括游泳、盘旋、每日尾跳频率中位数、尾跳频率高的百分比以及一年中不同时期的尾跳总数。我们发现,所有变量在日尺度上都具有可重复性,五个变量中有四个变量在周尺度上具有可重复性。总体而言,我们的研究表明,这些特征在短时间内具有个体特异性。此外,与寒冷季节相比,温暖季节游泳和盘旋的时间比例更大,这表明温度越高,活动水平越高。这些结果表明,与游泳有关的活动特征具有可重复性,而且很可能与每个个体的生理状态有关。最后,我们的研究表明,加速度计可被视为一种探索个体间差异的宝贵工具,具有评估野生种群恢复能力的潜在应用价值。
本文章由计算机程序翻译,如有差异,请以英文原文为准。
求助全文
约1分钟内获得全文 求助全文
来源期刊
Conservation Physiology
Conservation Physiology Environmental Science-Management, Monitoring, Policy and Law
CiteScore
5.10
自引率
3.70%
发文量
71
审稿时长
11 weeks
期刊介绍: Conservation Physiology is an online only, fully open access journal published on behalf of the Society for Experimental Biology. Biodiversity across the globe faces a growing number of threats associated with human activities. Conservation Physiology will publish research on all taxa (microbes, plants and animals) focused on understanding and predicting how organisms, populations, ecosystems and natural resources respond to environmental change and stressors. Physiology is considered in the broadest possible terms to include functional and mechanistic responses at all scales. We also welcome research towards developing and refining strategies to rebuild populations, restore ecosystems, inform conservation policy, and manage living resources. We define conservation physiology broadly and encourage potential authors to contact the editorial team if they have any questions regarding the remit of the journal.
×
引用
GB/T 7714-2015
复制
MLA
复制
APA
复制
导出至
BibTeX EndNote RefMan NoteFirst NoteExpress
×
提示
您的信息不完整,为了账户安全,请先补充。
现在去补充
×
提示
您因"违规操作"
具体请查看互助需知
我知道了
×
提示
确定
请完成安全验证×
copy
已复制链接
快去分享给好友吧!
我知道了
右上角分享
点击右上角分享
0
联系我们:info@booksci.cn Book学术提供免费学术资源搜索服务,方便国内外学者检索中英文文献。致力于提供最便捷和优质的服务体验。 Copyright © 2023 布克学术 All rights reserved.
京ICP备2023020795号-1
ghs 京公网安备 11010802042870号
Book学术文献互助
Book学术文献互助群
群 号:604180095
Book学术官方微信