Breaking the Glass Ceiling: A Multiregional Study of Mentorship and Leadership in All-Women Surgical Teams.

IF 3.8 Q1 HEALTH POLICY & SERVICES
Journal of Healthcare Leadership Pub Date : 2024-10-24 eCollection Date: 2024-01-01 DOI:10.2147/JHL.S472364
Atenas Bustamante, Barbara Beatriz Salazar Lopez, Emily Marie Jones, Marvee Turk, Maria Fernanda Tapia Arellano, Sonia Treminio, Mikyla Jade Rata, Chifundo Msokera, Hebah Daradkeh, Ainaz Dory Barkhordarzadeh, Alice Umutoni, Alyssa Bautista, Priyanka Naidu, Naikhoba C O Munabi, William P Magee Iii, Elizabeth A Cote, Kathy Magee, Allyn Auslander
{"title":"Breaking the Glass Ceiling: A Multiregional Study of Mentorship and Leadership in All-Women Surgical Teams.","authors":"Atenas Bustamante, Barbara Beatriz Salazar Lopez, Emily Marie Jones, Marvee Turk, Maria Fernanda Tapia Arellano, Sonia Treminio, Mikyla Jade Rata, Chifundo Msokera, Hebah Daradkeh, Ainaz Dory Barkhordarzadeh, Alice Umutoni, Alyssa Bautista, Priyanka Naidu, Naikhoba C O Munabi, William P Magee Iii, Elizabeth A Cote, Kathy Magee, Allyn Auslander","doi":"10.2147/JHL.S472364","DOIUrl":null,"url":null,"abstract":"<p><strong>Background: </strong>Globally, billions of people lack access to safe surgical care. Women represent a valuable resource to tackle the healthcare workforce shortage which impedes the delivery of surgery. With women entering the global health workforce at an increasing rate, Operation Smile (OS) launched the Women in Medicine program to create women-led leadership and mentorship opportunities for women healthcare workers to empower them to become leaders in healthcare.</p><p><strong>Purpose: </strong>This multi-regional study aims to evaluate the experiences of healthcare providers on OS all-women surgical programs and the impact of participation on leadership and mentorship opportunities.</p><p><strong>Methods: </strong>In 2022, OS conducted four cleft surgical programs with all-women providers in Morocco, Peru, Malawi, and the Philippines. Providers from various specialties participating in the programs were surveyed. Participants were invited to complete the surveys anonymously in the final two days of each program. Analysis involved descriptive statistics and chi-square tests.</p><p><strong>Results: </strong>Across all programs, 215 providers from 36 countries were surveyed. Ninety-seven percent of participants reported improvement in their technical and non-technical skills. Eighty-two percent reported that the program motivated them to seek leadership positions, despite only 37% having prior leadership experience on an OS program. Participating in an all-women team motivated 96% to seek mentorship from another woman and 99% to mentor others. Overall, 98% of providers across all regions and specialties supported the importance of women leadership, and 95% endorsed women mentorship.</p><p><strong>Conclusion: </strong>Promoting gender equity is crucial to address the ongoing healthcare workforce shortage and improve access to safe surgical care. This study demonstrates the importance of mentorship between women to advance into leadership positions. Programs that provide women in healthcare with educational, mentorship, and leadership opportunities can effectively equip them with the skills needed to advance their careers and strengthen the global workforce.</p>","PeriodicalId":44346,"journal":{"name":"Journal of Healthcare Leadership","volume":"16 ","pages":"403-414"},"PeriodicalIF":3.8000,"publicationDate":"2024-10-24","publicationTypes":"Journal Article","fieldsOfStudy":null,"isOpenAccess":false,"openAccessPdf":"https://www.ncbi.nlm.nih.gov/pmc/articles/PMC11521779/pdf/","citationCount":"0","resultStr":null,"platform":"Semanticscholar","paperid":null,"PeriodicalName":"Journal of Healthcare Leadership","FirstCategoryId":"1085","ListUrlMain":"https://doi.org/10.2147/JHL.S472364","RegionNum":0,"RegionCategory":null,"ArticlePicture":[],"TitleCN":null,"AbstractTextCN":null,"PMCID":null,"EPubDate":"2024/1/1 0:00:00","PubModel":"eCollection","JCR":"Q1","JCRName":"HEALTH POLICY & SERVICES","Score":null,"Total":0}
引用次数: 0

Abstract

Background: Globally, billions of people lack access to safe surgical care. Women represent a valuable resource to tackle the healthcare workforce shortage which impedes the delivery of surgery. With women entering the global health workforce at an increasing rate, Operation Smile (OS) launched the Women in Medicine program to create women-led leadership and mentorship opportunities for women healthcare workers to empower them to become leaders in healthcare.

Purpose: This multi-regional study aims to evaluate the experiences of healthcare providers on OS all-women surgical programs and the impact of participation on leadership and mentorship opportunities.

Methods: In 2022, OS conducted four cleft surgical programs with all-women providers in Morocco, Peru, Malawi, and the Philippines. Providers from various specialties participating in the programs were surveyed. Participants were invited to complete the surveys anonymously in the final two days of each program. Analysis involved descriptive statistics and chi-square tests.

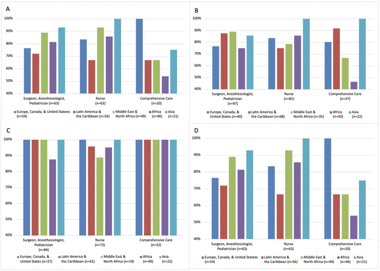
Results: Across all programs, 215 providers from 36 countries were surveyed. Ninety-seven percent of participants reported improvement in their technical and non-technical skills. Eighty-two percent reported that the program motivated them to seek leadership positions, despite only 37% having prior leadership experience on an OS program. Participating in an all-women team motivated 96% to seek mentorship from another woman and 99% to mentor others. Overall, 98% of providers across all regions and specialties supported the importance of women leadership, and 95% endorsed women mentorship.

Conclusion: Promoting gender equity is crucial to address the ongoing healthcare workforce shortage and improve access to safe surgical care. This study demonstrates the importance of mentorship between women to advance into leadership positions. Programs that provide women in healthcare with educational, mentorship, and leadership opportunities can effectively equip them with the skills needed to advance their careers and strengthen the global workforce.

Abstract Image

Abstract Image

Abstract Image

打破玻璃天花板:全女性外科团队的指导与领导力多区域研究》。
背景:全球有数十亿人无法获得安全的外科护理。女性是解决医疗保健劳动力短缺问题的宝贵资源,这一问题阻碍了外科手术的开展。随着越来越多的女性加入全球医疗队伍,微笑行动(Operation Smile,OS)启动了 "女性参与医疗计划"(Women in Medicine),为女性医疗工作者创造由女性领导的领导力和导师机会,使她们有能力成为医疗领域的领导者。目的:这项多地区研究旨在评估医疗服务提供者参与 OS 全女性手术计划的经验,以及参与该计划对领导力和导师机会的影响:2022 年,OS 在摩洛哥、秘鲁、马拉维和菲律宾开展了四项全女性医护人员参加的唇裂手术项目。对参与项目的各专科医生进行了调查。参与者受邀在每个项目的最后两天匿名完成调查。分析包括描述性统计和卡方检验:在所有项目中,来自 36 个国家的 215 名医疗服务提供者接受了调查。97%的参与者表示他们的技术和非技术技能得到了提高。82%的人表示,尽管只有37%的人曾在操作系统计划中担任过领导职务,但该计划激励他们寻求领导职位。参加全女性团队促使 96% 的人向其他女性寻求指导,99% 的人指导其他人。总体而言,在所有地区和专科中,98% 的医疗服务提供者支持女性领导力的重要性,95% 的医疗服务提供者赞同女性导师制:结论:促进性别平等对于解决目前医护人员短缺问题和改善安全外科护理的可及性至关重要。这项研究表明,女性之间的指导对于晋升到领导岗位非常重要。为医疗保健领域的女性提供教育、指导和领导机会的计划可以有效地使她们掌握晋升职业生涯和加强全球劳动力所需的技能。
本文章由计算机程序翻译,如有差异,请以英文原文为准。
求助全文
约1分钟内获得全文 求助全文
来源期刊
Journal of Healthcare Leadership
Journal of Healthcare Leadership HEALTH POLICY & SERVICES-
CiteScore
5.40
自引率
2.30%
发文量
27
审稿时长
16 weeks
期刊介绍: Efficient and successful modern healthcare depends on a growing group of professionals working together as an interdisciplinary team. However, many forces shape the delivery of healthcare; changes are being driven by the markets, transformations in concepts of health and wellbeing, technology and research and discovery. Dynamic leadership will guide these necessary transformations. The Journal of Healthcare Leadership is an international, peer-reviewed, open access journal focusing on leadership for the healthcare professions. The publication strives to amalgamate current and future healthcare professionals and managers by providing key insights into leadership progress and challenges to improve patient care. The journal aspires to inform key decision makers and those professionals with ambitions of leadership and management; it seeks to connect professionals who are engaged in similar endeavours and to provide wisdom from those working in other industries. Senior and trainee doctors, nurses and allied healthcare professionals, medical students, healthcare managers and allied leaders are invited to contribute to this publication
×
引用
GB/T 7714-2015
复制
MLA
复制
APA
复制
导出至
BibTeX EndNote RefMan NoteFirst NoteExpress
×
提示
您的信息不完整,为了账户安全,请先补充。
现在去补充
×
提示
您因"违规操作"
具体请查看互助需知
我知道了
×
提示
确定
请完成安全验证×
copy
已复制链接
快去分享给好友吧!
我知道了
右上角分享
点击右上角分享
0
联系我们:info@booksci.cn Book学术提供免费学术资源搜索服务,方便国内外学者检索中英文文献。致力于提供最便捷和优质的服务体验。 Copyright © 2023 布克学术 All rights reserved.
京ICP备2023020795号-1
ghs 京公网安备 11010802042870号
Book学术文献互助
Book学术文献互助群
群 号:604180095
Book学术官方微信