Long-Term Treatment for Unspecified Anxiety Disorders with Cannabidiol: A Retrospective Case Series from Real-World Evidence in Colombia.

Q1 Medicine
Medical Cannabis and Cannabinoids Pub Date : 2024-09-14 eCollection Date: 2024-01-01 DOI:10.1159/000539754
Juan F Galvez-Florez, Hernan F Guillen-Burgos, Camilo A Flórez-Puentes, Cristian E Navarro, Guillermo Moreno-Sanz
{"title":"Long-Term Treatment for Unspecified Anxiety Disorders with Cannabidiol: A Retrospective Case Series from Real-World Evidence in Colombia.","authors":"Juan F Galvez-Florez, Hernan F Guillen-Burgos, Camilo A Flórez-Puentes, Cristian E Navarro, Guillermo Moreno-Sanz","doi":"10.1159/000539754","DOIUrl":null,"url":null,"abstract":"<p><strong>Introduction: </strong>Preclinical and clinical evidence has elucidated that cannabis-based medical formulations (CBMFs) may display anxiolytic, antidepressive, and neuroprotective properties. CBMFs are often considered as novel therapeutic anxiolytic agents that can be prescribed as pharmacotherapy for symptomatic domains in anxiety disorders (ADs). Our aim was to explore effectiveness and tolerability of enriched cannabidiol (CBD) oil extract formulations in adults with anxiety symptoms in an outpatient mental health program in Colombia during the COVID-19 pandemic.</p><p><strong>Methods: </strong>We conducted an observational, retrospective, real-world evidence case series from electronic health records at Zerenia Clinic in Bogotá, Colombia between June 2021 and December 2022. Our convenience sample consisted of people searching for CBMFs for the treatment of anxiety symptoms. A cohort of 24 adults was prescribed with enriched CBD in the form of non-sterile oral liquids suspended in sesame seed oil extracts for DSM-5 unspecified anxiety disorder and followed throughout the first year of treatment. CBMFs were prepared by dissolving full-spectrum cannabis extracts in sesame seed oil to a standardized concentration of active ingredients which is CBD-enriched. The oil extract contained 100 mg/mL of CBD and less than 1.9 mg/mL of THC. Primary outcome measures established were the anxiety subscale in the Hospital Anxiety and Depression Scale (HADS-A), and the clinical global impression scale with regard to severity (CGI-S) and improvement (CGI-I) at baseline, 6 months, and 12 months during follow-up. Secondary outcome measures established were HADS depression subscale (HADS-D) and the Epworth Sleepiness Scale (ESS), respectively. Participants also completed the patient-reported outcome measures (PROMs) during each visit throughout the 12-month follow-up. PROMs documented both participant's subjective improvement experience and progressive adverse effects.</p><p><strong>Results: </strong>After 6 months of treatment with sublingually administered enriched CBD oil extracts in a median dosage of 100 mg, more than half (54.17%) of the sample continued to report significant anxiety symptoms. After 12 months, only 37.50% persisted with significant anxiety symptoms with a median dose of 120 mg of enriched CBD oil extracts. Similar subjective improvements were reported with regard to sleep disturbances (SDs) as a secondary outcome. At baseline, less than half (46.83%) of the sample reported significant daytime sleepiness. After 6 months of enriched CBD oil extract treatment, less than one third (29.17%) continued to report SDs. At end point, a high proportion of the sample (87.50%) were considered to have normal daytime sleepiness. The cohort showed no clinically relevant depressive symptoms at baseline based on HADS-D scores; therefore, no improvement could be reported throughout the 12-month follow-up. Minimal gender differences with regard to HADS-D scores may be attributed to modifying effects of menopause-related symptoms. No significant adverse drug reactions or deaths were reported during the 12-month follow-up.</p><p><strong>Conclusions: </strong>Further research should determine the long-term efficacy, safety, and appropriate dosages of enriched CBD oil extracts in treating specific ADs rather than broad and unspecified anxiety symptoms. The state of the art of CBMFs for ADs should be warranted by future randomized controlled trials. The next stage for cannabis research should be focused in performing head-to-head trials comparing enriched CBD extracts or capsules versus first-line treatments proven to be effective in ADs.</p>","PeriodicalId":18415,"journal":{"name":"Medical Cannabis and Cannabinoids","volume":"7 1","pages":"193-205"},"PeriodicalIF":0.0000,"publicationDate":"2024-09-14","publicationTypes":"Journal Article","fieldsOfStudy":null,"isOpenAccess":false,"openAccessPdf":"https://www.ncbi.nlm.nih.gov/pmc/articles/PMC11521412/pdf/","citationCount":"0","resultStr":null,"platform":"Semanticscholar","paperid":null,"PeriodicalName":"Medical Cannabis and Cannabinoids","FirstCategoryId":"1085","ListUrlMain":"https://doi.org/10.1159/000539754","RegionNum":0,"RegionCategory":null,"ArticlePicture":[],"TitleCN":null,"AbstractTextCN":null,"PMCID":null,"EPubDate":"2024/1/1 0:00:00","PubModel":"eCollection","JCR":"Q1","JCRName":"Medicine","Score":null,"Total":0}
引用次数: 0

Abstract

Introduction: Preclinical and clinical evidence has elucidated that cannabis-based medical formulations (CBMFs) may display anxiolytic, antidepressive, and neuroprotective properties. CBMFs are often considered as novel therapeutic anxiolytic agents that can be prescribed as pharmacotherapy for symptomatic domains in anxiety disorders (ADs). Our aim was to explore effectiveness and tolerability of enriched cannabidiol (CBD) oil extract formulations in adults with anxiety symptoms in an outpatient mental health program in Colombia during the COVID-19 pandemic.

Methods: We conducted an observational, retrospective, real-world evidence case series from electronic health records at Zerenia Clinic in Bogotá, Colombia between June 2021 and December 2022. Our convenience sample consisted of people searching for CBMFs for the treatment of anxiety symptoms. A cohort of 24 adults was prescribed with enriched CBD in the form of non-sterile oral liquids suspended in sesame seed oil extracts for DSM-5 unspecified anxiety disorder and followed throughout the first year of treatment. CBMFs were prepared by dissolving full-spectrum cannabis extracts in sesame seed oil to a standardized concentration of active ingredients which is CBD-enriched. The oil extract contained 100 mg/mL of CBD and less than 1.9 mg/mL of THC. Primary outcome measures established were the anxiety subscale in the Hospital Anxiety and Depression Scale (HADS-A), and the clinical global impression scale with regard to severity (CGI-S) and improvement (CGI-I) at baseline, 6 months, and 12 months during follow-up. Secondary outcome measures established were HADS depression subscale (HADS-D) and the Epworth Sleepiness Scale (ESS), respectively. Participants also completed the patient-reported outcome measures (PROMs) during each visit throughout the 12-month follow-up. PROMs documented both participant's subjective improvement experience and progressive adverse effects.

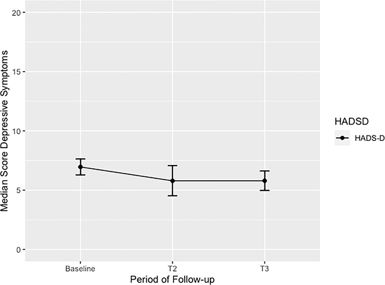
Results: After 6 months of treatment with sublingually administered enriched CBD oil extracts in a median dosage of 100 mg, more than half (54.17%) of the sample continued to report significant anxiety symptoms. After 12 months, only 37.50% persisted with significant anxiety symptoms with a median dose of 120 mg of enriched CBD oil extracts. Similar subjective improvements were reported with regard to sleep disturbances (SDs) as a secondary outcome. At baseline, less than half (46.83%) of the sample reported significant daytime sleepiness. After 6 months of enriched CBD oil extract treatment, less than one third (29.17%) continued to report SDs. At end point, a high proportion of the sample (87.50%) were considered to have normal daytime sleepiness. The cohort showed no clinically relevant depressive symptoms at baseline based on HADS-D scores; therefore, no improvement could be reported throughout the 12-month follow-up. Minimal gender differences with regard to HADS-D scores may be attributed to modifying effects of menopause-related symptoms. No significant adverse drug reactions or deaths were reported during the 12-month follow-up.

Conclusions: Further research should determine the long-term efficacy, safety, and appropriate dosages of enriched CBD oil extracts in treating specific ADs rather than broad and unspecified anxiety symptoms. The state of the art of CBMFs for ADs should be warranted by future randomized controlled trials. The next stage for cannabis research should be focused in performing head-to-head trials comparing enriched CBD extracts or capsules versus first-line treatments proven to be effective in ADs.

Abstract Image

Abstract Image

Abstract Image

用大麻二酚长期治疗不明焦虑症:来自哥伦比亚真实世界证据的回顾性病例系列。
简介:临床前和临床证据表明,以大麻为基础的医疗制剂(CBMFs)具有抗焦虑、抗抑郁和神经保护特性。CBMFs 通常被视为新型抗焦虑治疗药物,可作为药物疗法用于焦虑症(ADs)的症状领域。我们的目的是探讨在 COVID-19 大流行期间,富含大麻二酚(CBD)的精油配方对哥伦比亚门诊精神健康项目中焦虑症状成人的有效性和耐受性:2021 年 6 月至 2022 年 12 月期间,我们在哥伦比亚波哥大的 Zerenia 诊所通过电子健康记录开展了一项观察性、回顾性、真实世界证据病例系列研究。我们的方便样本包括为治疗焦虑症状而搜索CBMF的人。我们为 24 名成年人开具了富含 CBD 的处方,其形式为悬浮在芝麻油提取物中的非无菌口服液,用于治疗 DSM-5 未指定的焦虑症,并在治疗的第一年对其进行了跟踪随访。CBMF 的制备方法是将全谱大麻提取物溶解在芝麻油中,以达到富含 CBD 的标准化活性成分浓度。油提取物中含有 100 毫克/毫升的 CBD 和低于 1.9 毫克/毫升的 THC。主要结果指标包括医院焦虑和抑郁量表(HADS-A)中的焦虑分量表,以及基线、6 个月和 12 个月随访期间严重程度(CGI-S)和改善程度(CGI-I)的临床总体印象量表。次要结果测量指标分别为 HADS 抑郁症分量表(HADS-D)和埃普沃斯嗜睡量表(ESS)。在为期 12 个月的随访期间,参与者还在每次就诊时填写了患者报告的结果测量(PROMs)。PROMs记录了参与者的主观改善体验和渐进性不良反应:舌下含服中位剂量为 100 毫克的富集 CBD 油提取物治疗 6 个月后,一半以上(54.17%)的样本仍报告有明显的焦虑症状。12 个月后,在服用中位剂量为 120 毫克的富集 CBD 油提取物后,只有 37.50% 的人仍有明显的焦虑症状。作为次要结果,睡眠障碍(SDs)也有类似的主观改善。基线时,不到一半的样本(46.83%)报告有明显的白天嗜睡症状。经过 6 个月的富集 CBD 油提取物治疗后,不到三分之一(29.17%)的样本继续报告有睡眠障碍。在治疗结束时,大部分样本(87.50%)被认为白天嗜睡情况正常。根据HADS-D评分,基线人群没有出现临床相关的抑郁症状;因此,在为期12个月的随访中,没有任何改善。HADS-D 评分的性别差异很小,这可能是由于更年期相关症状的影响。在为期12个月的随访中,没有发现明显的药物不良反应或死亡病例:进一步的研究应确定富集的 CBD 油提取物在治疗特定 ADs 而非广泛和不明焦虑症状方面的长期疗效、安全性和适当剂量。未来的随机对照试验应能证明 CBMF 治疗注意力缺失症的技术水平。下一阶段大麻研究的重点应是进行头对头试验,比较富集的 CBD 提取物或胶囊与经证实对注意力缺失症有效的一线治疗方法。
本文章由计算机程序翻译,如有差异,请以英文原文为准。
求助全文
约1分钟内获得全文 求助全文
来源期刊
Medical Cannabis and Cannabinoids
Medical Cannabis and Cannabinoids Medicine-Complementary and Alternative Medicine
CiteScore
6.00
自引率
0.00%
发文量
18
审稿时长
18 weeks
×
引用
GB/T 7714-2015
复制
MLA
复制
APA
复制
导出至
BibTeX EndNote RefMan NoteFirst NoteExpress
×
提示
您的信息不完整,为了账户安全,请先补充。
现在去补充
×
提示
您因"违规操作"
具体请查看互助需知
我知道了
×
提示
确定
请完成安全验证×
copy
已复制链接
快去分享给好友吧!
我知道了
右上角分享
点击右上角分享
0
联系我们:info@booksci.cn Book学术提供免费学术资源搜索服务,方便国内外学者检索中英文文献。致力于提供最便捷和优质的服务体验。 Copyright © 2023 布克学术 All rights reserved.
京ICP备2023020795号-1
ghs 京公网安备 11010802042870号
Book学术文献互助
Book学术文献互助群
群 号:604180095
Book学术官方微信