Newborn Screening for Sickle Cell Disease in Catalonia between 2015 and 2022-Epidemiology and Impact on Clinical Events.

IF 4 Q1 GENETICS & HEREDITY
José Manuel González de Aledo-Castillo, Ana Argudo-Ramírez, David Beneitez-Pastor, Anna Collado-Gimbert, Francisco Almazán Castro, Sílvia Roig-Bosch, Anna Andrés-Masó, Anna Ruiz-Llobet, Georgina Pedrals-Portabella, David Medina-Santamaria, Gemma Nadal-Rey, Marina Espigares-Salvia, Maria Teresa Coll-Sibina, Marcelina Algar-Serrano, Montserrat Torrent-Español, Pilar Leoz-Allegretti, Anabel Rodríguez-Pebé, Marta García-Bernal, Elisabet Solà-Segura, Amparo García-Gallego, Blanca Prats-Viedma, Rosa María López-Galera, Abraham J Paredes-Fuentes, Sonia Pajares García, Giovanna Delgado-López, Adoración Blanco-Álvarez, Bárbara Tazón-Vega, Cristina Díaz de Heredia, María Del Mar Mañú-Pereira, José Luis Marín-Soria, Judit García-Villoria, Pablo Velasco-Puyó, On Behalf Of The Sickle Cell Disease Newborn Screening Group Of Catalonia
{"title":"Newborn Screening for Sickle Cell Disease in Catalonia between 2015 and 2022-Epidemiology and Impact on Clinical Events.","authors":"José Manuel González de Aledo-Castillo, Ana Argudo-Ramírez, David Beneitez-Pastor, Anna Collado-Gimbert, Francisco Almazán Castro, Sílvia Roig-Bosch, Anna Andrés-Masó, Anna Ruiz-Llobet, Georgina Pedrals-Portabella, David Medina-Santamaria, Gemma Nadal-Rey, Marina Espigares-Salvia, Maria Teresa Coll-Sibina, Marcelina Algar-Serrano, Montserrat Torrent-Español, Pilar Leoz-Allegretti, Anabel Rodríguez-Pebé, Marta García-Bernal, Elisabet Solà-Segura, Amparo García-Gallego, Blanca Prats-Viedma, Rosa María López-Galera, Abraham J Paredes-Fuentes, Sonia Pajares García, Giovanna Delgado-López, Adoración Blanco-Álvarez, Bárbara Tazón-Vega, Cristina Díaz de Heredia, María Del Mar Mañú-Pereira, José Luis Marín-Soria, Judit García-Villoria, Pablo Velasco-Puyó, On Behalf Of The Sickle Cell Disease Newborn Screening Group Of Catalonia","doi":"10.3390/ijns10040069","DOIUrl":null,"url":null,"abstract":"<p><p>In 2015, Catalonia introduced sickle cell disease (SCD) screening in its newborn screening (NBS) program along with standard-of-care treatments like penicillin, hydroxyurea, and anti-pneumococcal vaccination. Few studies have assessed the clinical impact of introducing NBS programs on SCD patients. We analyzed the incidence of SCD and related hemoglobinopathies in Catalonia and the change in clinical events occurring after introducing NBS. Screening 506,996 newborns from 2015 to 2022, we conducted a retrospective multicenter study including 100 screened (SG) and 95 unscreened (UG) SCD patients and analyzed SCD-related clinical events over the first six years of life. We diagnosed 160 cases of SCD, with an incidence of 1 in 3169 newborns. The SG had a significantly lower median age at diagnosis (0.1 y vs. 1.68 y, <i>p</i> < 0.0001), and initiated penicillin prophylaxis (0.12 y vs. 1.86 y, <i>p</i> < 0.0001) and hydroxyurea treatment earlier (1.42 y vs. 4.5 y, <i>p</i> < 0.0001). The SG experienced fewer median SCD-related clinical events (vaso-occlusive crisis, acute chest syndrome, infections of probable bacterial origin, acute anemia requiring transfusion, acute splenic sequestration, and pathological transcranial Doppler echography) per year of follow-up (0.19 vs. 0.77, <i>p</i> < 0.0001), a reduced number of annual emergency department visits (0.37 vs. 0.76, <i>p</i> < 0.0001), and fewer hospitalizations (0.33 vs. 0.72, <i>p</i> < 0.0001). SCD screening in Catalonia's NBS program has effectively reduced morbidity and improved affected children's quality of life.</p>","PeriodicalId":14159,"journal":{"name":"International Journal of Neonatal Screening","volume":"10 4","pages":""},"PeriodicalIF":4.0000,"publicationDate":"2024-10-03","publicationTypes":"Journal Article","fieldsOfStudy":null,"isOpenAccess":false,"openAccessPdf":"https://www.ncbi.nlm.nih.gov/pmc/articles/PMC11503420/pdf/","citationCount":"0","resultStr":null,"platform":"Semanticscholar","paperid":null,"PeriodicalName":"International Journal of Neonatal Screening","FirstCategoryId":"1085","ListUrlMain":"https://doi.org/10.3390/ijns10040069","RegionNum":0,"RegionCategory":null,"ArticlePicture":[],"TitleCN":null,"AbstractTextCN":null,"PMCID":null,"EPubDate":"","PubModel":"","JCR":"Q1","JCRName":"GENETICS & HEREDITY","Score":null,"Total":0}
引用次数: 0

Abstract

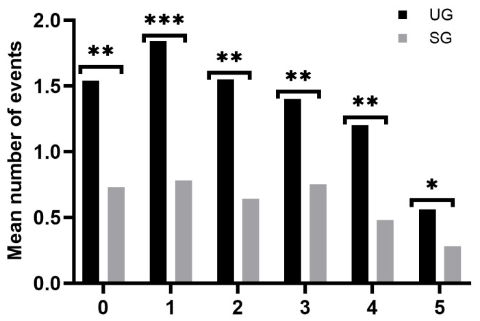
In 2015, Catalonia introduced sickle cell disease (SCD) screening in its newborn screening (NBS) program along with standard-of-care treatments like penicillin, hydroxyurea, and anti-pneumococcal vaccination. Few studies have assessed the clinical impact of introducing NBS programs on SCD patients. We analyzed the incidence of SCD and related hemoglobinopathies in Catalonia and the change in clinical events occurring after introducing NBS. Screening 506,996 newborns from 2015 to 2022, we conducted a retrospective multicenter study including 100 screened (SG) and 95 unscreened (UG) SCD patients and analyzed SCD-related clinical events over the first six years of life. We diagnosed 160 cases of SCD, with an incidence of 1 in 3169 newborns. The SG had a significantly lower median age at diagnosis (0.1 y vs. 1.68 y, p < 0.0001), and initiated penicillin prophylaxis (0.12 y vs. 1.86 y, p < 0.0001) and hydroxyurea treatment earlier (1.42 y vs. 4.5 y, p < 0.0001). The SG experienced fewer median SCD-related clinical events (vaso-occlusive crisis, acute chest syndrome, infections of probable bacterial origin, acute anemia requiring transfusion, acute splenic sequestration, and pathological transcranial Doppler echography) per year of follow-up (0.19 vs. 0.77, p < 0.0001), a reduced number of annual emergency department visits (0.37 vs. 0.76, p < 0.0001), and fewer hospitalizations (0.33 vs. 0.72, p < 0.0001). SCD screening in Catalonia's NBS program has effectively reduced morbidity and improved affected children's quality of life.

Abstract Image

Abstract Image

Abstract Image

2015 年至 2022 年加泰罗尼亚地区新生儿镰状细胞病筛查--流行病学及对临床事件的影响。
2015 年,加泰罗尼亚在其新生儿筛查(NBS)计划中引入了镰状细胞病(SCD)筛查,以及青霉素、羟基脲和抗肺炎球菌疫苗接种等标准治疗。很少有研究评估了引入 NBS 项目对 SCD 患者的临床影响。我们分析了加泰罗尼亚地区 SCD 和相关血红蛋白病的发病率,以及引入 NBS 后临床事件的变化。我们对 2015 年至 2022 年间的 506996 名新生儿进行了筛查,开展了一项回顾性多中心研究,其中包括 100 名筛查(SG)和 95 名未筛查(UG)的 SCD 患者,并分析了他们出生后头六年中与 SCD 相关的临床事件。我们确诊了 160 例 SCD,发病率为每 3169 名新生儿中就有 1 例。SG患者确诊时的中位年龄明显较低(0.1岁对1.68岁,P<0.0001),并较早开始青霉素预防(0.12岁对1.86岁,P<0.0001)和羟基脲治疗(1.42岁对4.5岁,P<0.0001)。每随访一年,SG 发生的 SCD 相关临床事件(血管闭塞性危象、急性胸部综合征、可能由细菌引起的感染、需要输血的急性贫血、急性脾脏嵌塞和病理性经颅多普勒超声检查)的中位数较少(0.19 vs. 0.77,p < 0.0001),每年急诊就诊次数减少(0.37 vs. 0.76,p < 0.0001),住院次数减少(0.33 vs. 0.72,p < 0.0001)。加泰罗尼亚 NBS 计划中的 SCD 筛查有效降低了发病率,提高了受影响儿童的生活质量。
本文章由计算机程序翻译,如有差异,请以英文原文为准。
求助全文
约1分钟内获得全文 求助全文
来源期刊
International Journal of Neonatal Screening
International Journal of Neonatal Screening Medicine-Pediatrics, Perinatology and Child Health
CiteScore
6.70
自引率
20.00%
发文量
56
审稿时长
11 weeks
×
引用
GB/T 7714-2015
复制
MLA
复制
APA
复制
导出至
BibTeX EndNote RefMan NoteFirst NoteExpress
×
提示
您的信息不完整,为了账户安全,请先补充。
现在去补充
×
提示
您因"违规操作"
具体请查看互助需知
我知道了
×
提示
确定
请完成安全验证×
copy
已复制链接
快去分享给好友吧!
我知道了
右上角分享
点击右上角分享
0
联系我们:info@booksci.cn Book学术提供免费学术资源搜索服务,方便国内外学者检索中英文文献。致力于提供最便捷和优质的服务体验。 Copyright © 2023 布克学术 All rights reserved.
京ICP备2023020795号-1
ghs 京公网安备 11010802042870号
Book学术文献互助
Book学术文献互助群
群 号:604180095
Book学术官方微信