Wire-in-needle versus conventional syringe-on-needle technique for ultrasound-guided central venous catheter insertion in the internal jugular vein: the WIN randomized trial.

IF 2.2 3区 医学 Q2 ANESTHESIOLOGY
Kristen K Thomsen, Jovana Stekovic, Felix Köster, Alina Bergholz, Karim Kouz, Moritz Flick, Daniel I Sessler, Christian Zöllner, Bernd Saugel, Leonie Schulte-Uentrop
{"title":"Wire-in-needle versus conventional syringe-on-needle technique for ultrasound-guided central venous catheter insertion in the internal jugular vein: the WIN randomized trial.","authors":"Kristen K Thomsen, Jovana Stekovic, Felix Köster, Alina Bergholz, Karim Kouz, Moritz Flick, Daniel I Sessler, Christian Zöllner, Bernd Saugel, Leonie Schulte-Uentrop","doi":"10.1007/s10877-024-01232-4","DOIUrl":null,"url":null,"abstract":"<p><strong>Purpose: </strong>There are different techniques for ultrasound-guided central venous catheter (CVC) insertion. When using the conventional syringe-on-needle technique, the syringe needs to be removed from the needle after venous puncture to pass the guidewire through the needle into the vein. When, alternatively, using the wire-in-needle technique, the needle is preloaded with the guidewire, and the guidewire-after venous puncture-is advanced into the vein under real-time ultrasound guidance. We tested the hypothesis that the wire-in-needle technique reduces the time to successful guidewire insertion in the internal jugular vein compared with the syringe-on-needle technique in adults.</p><p><strong>Methods: </strong>We randomized 250 patients to the wire-in-needle or syringe-on-needle technique. Our primary endpoint was the time to successful guidewire insertion in the internal jugular vein.</p><p><strong>Results: </strong>Two hundred and thirty eight patients were analyzed. The median (25th percentile, 75th percentile) time to successful guidewire insertion was 22 (16, 38) s in patients assigned to the wire-in-needle technique and 25 (19, 34) s in patients assigned to the syringe-on-needle technique (estimated location shift: 2 s; 95%-confidence-interval: - 1 to 5 s, p = 0.165). CVC insertion was successful on the first attempt in 103/116 patients (89%) assigned to the wire-in-needle technique and in 113/122 patients (93%) assigned to the syringe-on-needle technique. CVC insertion-related complications occurred in 8/116 patients (7%) assigned to the wire-in-needle technique and 19/122 patients (16%) assigned to the syringe-on-needle technique.</p><p><strong>Conclusion: </strong>The wire-in-needle technique-compared with the syringe-on-needle technique-did not reduce the time to successful guidewire insertion in the internal jugular vein. Clinicians can consider either technique for ultrasound-guided CVC insertion in adults.</p>","PeriodicalId":15513,"journal":{"name":"Journal of Clinical Monitoring and Computing","volume":" ","pages":"805-811"},"PeriodicalIF":2.2000,"publicationDate":"2025-10-01","publicationTypes":"Journal Article","fieldsOfStudy":null,"isOpenAccess":false,"openAccessPdf":"https://www.ncbi.nlm.nih.gov/pmc/articles/PMC12474687/pdf/","citationCount":"0","resultStr":null,"platform":"Semanticscholar","paperid":null,"PeriodicalName":"Journal of Clinical Monitoring and Computing","FirstCategoryId":"3","ListUrlMain":"https://doi.org/10.1007/s10877-024-01232-4","RegionNum":3,"RegionCategory":"医学","ArticlePicture":[],"TitleCN":null,"AbstractTextCN":null,"PMCID":null,"EPubDate":"2024/10/14 0:00:00","PubModel":"Epub","JCR":"Q2","JCRName":"ANESTHESIOLOGY","Score":null,"Total":0}
引用次数: 0

Abstract

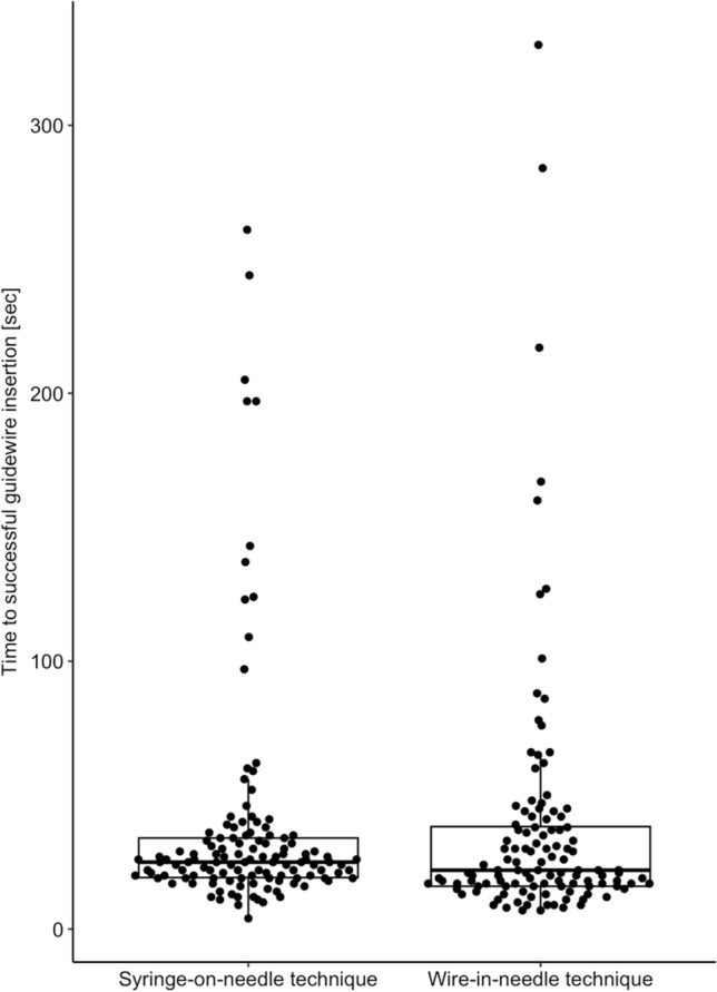
Purpose: There are different techniques for ultrasound-guided central venous catheter (CVC) insertion. When using the conventional syringe-on-needle technique, the syringe needs to be removed from the needle after venous puncture to pass the guidewire through the needle into the vein. When, alternatively, using the wire-in-needle technique, the needle is preloaded with the guidewire, and the guidewire-after venous puncture-is advanced into the vein under real-time ultrasound guidance. We tested the hypothesis that the wire-in-needle technique reduces the time to successful guidewire insertion in the internal jugular vein compared with the syringe-on-needle technique in adults.

Methods: We randomized 250 patients to the wire-in-needle or syringe-on-needle technique. Our primary endpoint was the time to successful guidewire insertion in the internal jugular vein.

Results: Two hundred and thirty eight patients were analyzed. The median (25th percentile, 75th percentile) time to successful guidewire insertion was 22 (16, 38) s in patients assigned to the wire-in-needle technique and 25 (19, 34) s in patients assigned to the syringe-on-needle technique (estimated location shift: 2 s; 95%-confidence-interval: - 1 to 5 s, p = 0.165). CVC insertion was successful on the first attempt in 103/116 patients (89%) assigned to the wire-in-needle technique and in 113/122 patients (93%) assigned to the syringe-on-needle technique. CVC insertion-related complications occurred in 8/116 patients (7%) assigned to the wire-in-needle technique and 19/122 patients (16%) assigned to the syringe-on-needle technique.

Conclusion: The wire-in-needle technique-compared with the syringe-on-needle technique-did not reduce the time to successful guidewire insertion in the internal jugular vein. Clinicians can consider either technique for ultrasound-guided CVC insertion in adults.

Abstract Image

Abstract Image

Abstract Image

超声引导下颈内静脉置入中心静脉导管的针中导线技术与针上注射器传统技术:WIN 随机试验。
目的:超声引导下插入中心静脉导管(CVC)有不同的技术。使用传统的针上注射器技术时,需要在静脉穿刺后将注射器从针头上取下,以便将导线穿过针头进入静脉。而在使用针中导线技术时,针头会预装导线,在静脉穿刺后,导线会在实时超声引导下进入静脉。我们对以下假设进行了测试:与针上注射器技术相比,针中导丝技术可缩短成人颈内静脉导丝成功插入的时间:我们将 250 名患者随机分配到进针导丝技术和针上注射技术。我们的主要终点是在颈内静脉成功插入导丝的时间:对 238 名患者进行了分析。采用进针导丝技术的患者导丝插入成功时间的中位数(第 25 百分位数,第 75 百分位数)为 22(16,38)秒,采用进针注射技术的患者为 25(19,34)秒(估计位置偏移:2 秒;95% 置信区间:- 1 至 5 秒,P = 0.165)。103/116(89%)例采用金属丝进针技术的患者和113/122(93%)例采用注射器进针技术的患者在首次尝试时均成功插入了 CVC。8/116(7%)例采用金属丝穿刺针技术的患者和19/122(16%)例采用注射器穿刺针技术的患者出现了CVC插入相关并发症:结论:与针上注射器技术相比,进针导丝技术并未缩短颈内静脉导丝成功插入的时间。临床医生在超声引导下为成人插入 CVC 时,可以考虑使用这两种技术中的任何一种。
本文章由计算机程序翻译,如有差异,请以英文原文为准。
求助全文
约1分钟内获得全文 求助全文
来源期刊
CiteScore
4.30
自引率
13.60%
发文量
144
审稿时长
6-12 weeks
期刊介绍: The Journal of Clinical Monitoring and Computing is a clinical journal publishing papers related to technology in the fields of anaesthesia, intensive care medicine, emergency medicine, and peri-operative medicine. The journal has links with numerous specialist societies, including editorial board representatives from the European Society for Computing and Technology in Anaesthesia and Intensive Care (ESCTAIC), the Society for Technology in Anesthesia (STA), the Society for Complex Acute Illness (SCAI) and the NAVAt (NAVigating towards your Anaestheisa Targets) group. The journal publishes original papers, narrative and systematic reviews, technological notes, letters to the editor, editorial or commentary papers, and policy statements or guidelines from national or international societies. The journal encourages debate on published papers and technology, including letters commenting on previous publications or technological concerns. The journal occasionally publishes special issues with technological or clinical themes, or reports and abstracts from scientificmeetings. Special issues proposals should be sent to the Editor-in-Chief. Specific details of types of papers, and the clinical and technological content of papers considered within scope can be found in instructions for authors.
×
引用
GB/T 7714-2015
复制
MLA
复制
APA
复制
导出至
BibTeX EndNote RefMan NoteFirst NoteExpress
×
提示
您的信息不完整,为了账户安全,请先补充。
现在去补充
×
提示
您因"违规操作"
具体请查看互助需知
我知道了
×
提示
确定
请完成安全验证×
copy
已复制链接
快去分享给好友吧!
我知道了
右上角分享
点击右上角分享
0
联系我们:info@booksci.cn Book学术提供免费学术资源搜索服务,方便国内外学者检索中英文文献。致力于提供最便捷和优质的服务体验。 Copyright © 2023 布克学术 All rights reserved.
京ICP备2023020795号-1
ghs 京公网安备 11010802042870号
Book学术文献互助
Book学术文献互助群
群 号:604180095
Book学术官方微信