The heat is on: sensitivity of goldsinny wrasse to global climate change.

IF 2.5 3区 环境科学与生态学 Q2 BIODIVERSITY CONSERVATION
Conservation Physiology Pub Date : 2024-10-08 eCollection Date: 2024-01-01 DOI:10.1093/conphys/coae068
Diana Perry, Elena Tamarit, Daniel Morgenroth, Albin Gräns, Joachim Sturve, Martin Gullström, Peter Thor, Håkan Wennhage
{"title":"The heat is on: sensitivity of goldsinny wrasse to global climate change.","authors":"Diana Perry, Elena Tamarit, Daniel Morgenroth, Albin Gräns, Joachim Sturve, Martin Gullström, Peter Thor, Håkan Wennhage","doi":"10.1093/conphys/coae068","DOIUrl":null,"url":null,"abstract":"<p><p>Unsustainable harvesting practices have drastically reduced fish populations globally and developments in aquaculture have increased. Unexpectedly, Atlantic salmon farming caused the opening of a new fishery in northern European countries, where previously unharvested mesopredatory species, like the goldsinny wrasse (<i>Ctenolabrus rupestris</i>), are captured for use as cleaner fish in pens along the coast and fjords. The goldsinny wrasse is widespread in coastal areas where it plays an ecologically important role as a predator of small invertebrates. Since climate change effects are particularly pronounced in coastal waters, it becomes urgent to understand how fish like the goldsinny will respond to global climate change, including the increasing frequency and intensity of marine heatwaves (MHWs), ocean freshening (OF) and ocean acidification (OA). To address this, we conducted a multi-stressor experiment exposing adult goldsinny to each stressor individually, as well as to all three combined. The results indicated that the goldsinny is highly affected by MHWs and extremely sensitive to a multi-stressor environment, with 34% and 53% mortality, respectively. Additionally, exposure to a MHW event, OF and multi-stressor conditions affected fish metabolism, with the highest standard metabolic- and maximum metabolic-oxygen consumption rates observed for the MHW treatment. Increases in oxidized glutathione (GSSG) and percent oxidized glutathione (% GSSG) in the livers, indicative of oxidative stress, were also seen in the MHW, OF and multi-stressor treatments. As a single stressor, OA showed no significant impacts on the measured parameters. This information is important for conservation of coastal marine environments, given the species' important role in shallow-water habitats and for management of goldsinny or other mesopredatory fish harvested in coastal ecosystems. The sensitivity of the goldsinny wrasse to future stressors is of concern, and any potential reductions in abundance as a result of climate change may lead to cascade effects with ecosystem-wide consequences.</p>","PeriodicalId":54331,"journal":{"name":"Conservation Physiology","volume":"12 1","pages":"coae068"},"PeriodicalIF":2.5000,"publicationDate":"2024-10-08","publicationTypes":"Journal Article","fieldsOfStudy":null,"isOpenAccess":false,"openAccessPdf":"https://www.ncbi.nlm.nih.gov/pmc/articles/PMC11459238/pdf/","citationCount":"0","resultStr":null,"platform":"Semanticscholar","paperid":null,"PeriodicalName":"Conservation Physiology","FirstCategoryId":"93","ListUrlMain":"https://doi.org/10.1093/conphys/coae068","RegionNum":3,"RegionCategory":"环境科学与生态学","ArticlePicture":[],"TitleCN":null,"AbstractTextCN":null,"PMCID":null,"EPubDate":"2024/1/1 0:00:00","PubModel":"eCollection","JCR":"Q2","JCRName":"BIODIVERSITY CONSERVATION","Score":null,"Total":0}
引用次数: 0

Abstract

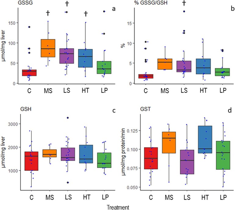
Unsustainable harvesting practices have drastically reduced fish populations globally and developments in aquaculture have increased. Unexpectedly, Atlantic salmon farming caused the opening of a new fishery in northern European countries, where previously unharvested mesopredatory species, like the goldsinny wrasse (Ctenolabrus rupestris), are captured for use as cleaner fish in pens along the coast and fjords. The goldsinny wrasse is widespread in coastal areas where it plays an ecologically important role as a predator of small invertebrates. Since climate change effects are particularly pronounced in coastal waters, it becomes urgent to understand how fish like the goldsinny will respond to global climate change, including the increasing frequency and intensity of marine heatwaves (MHWs), ocean freshening (OF) and ocean acidification (OA). To address this, we conducted a multi-stressor experiment exposing adult goldsinny to each stressor individually, as well as to all three combined. The results indicated that the goldsinny is highly affected by MHWs and extremely sensitive to a multi-stressor environment, with 34% and 53% mortality, respectively. Additionally, exposure to a MHW event, OF and multi-stressor conditions affected fish metabolism, with the highest standard metabolic- and maximum metabolic-oxygen consumption rates observed for the MHW treatment. Increases in oxidized glutathione (GSSG) and percent oxidized glutathione (% GSSG) in the livers, indicative of oxidative stress, were also seen in the MHW, OF and multi-stressor treatments. As a single stressor, OA showed no significant impacts on the measured parameters. This information is important for conservation of coastal marine environments, given the species' important role in shallow-water habitats and for management of goldsinny or other mesopredatory fish harvested in coastal ecosystems. The sensitivity of the goldsinny wrasse to future stressors is of concern, and any potential reductions in abundance as a result of climate change may lead to cascade effects with ecosystem-wide consequences.

Abstract Image

Abstract Image

Abstract Image

热浪滚滚:金濑鱼对全球气候变化的敏感性。
不可持续的捕捞方式使全球鱼类数量急剧下降,水产养殖业的发展也与日俱增。意想不到的是,大西洋鲑鱼养殖在北欧国家开辟了一个新的渔业领域,在这些国家,以前未捕捞的中层食性鱼类,如金色濑鱼(Ctenolabrus rupestris),被捕捞到沿海和峡湾的围栏中用作清洁鱼。金眼鲷广泛分布于沿海地区,作为小型无脊椎动物的捕食者,它在那里扮演着重要的生态角色。由于气候变化对沿海水域的影响尤为明显,因此迫切需要了解像金眼鲷这样的鱼类将如何应对全球气候变化,包括日益频繁和剧烈的海洋热浪(MHWs)、海洋清新(OF)和海洋酸化(OA)。为了解决这个问题,我们进行了一项多重胁迫实验,让成年金丝猴分别暴露于每种胁迫以及所有三种胁迫的综合作用下。结果表明,金丝猴受MHW的影响很大,对多重胁迫环境极为敏感,死亡率分别为34%和53%。此外,暴露于 MHW 事件、OF 和多重胁迫环境会影响鱼类的新陈代谢,在 MHW 处理中观察到最高的标准新陈代谢氧消耗率和最大新陈代谢氧消耗率。肝脏中氧化谷胱甘肽(GSSG)和氧化谷胱甘肽百分比(% GSSG)的增加也出现在 MHW、OF 和多重胁迫处理中,这表明存在氧化胁迫。作为单一胁迫因子,OA 对测量参数没有显著影响。鉴于金眼鲷在浅水生境中的重要作用,这一信息对保护沿海海洋环境以及管理金眼鲷或其他在沿海生态系统中捕食的中层鱼类非常重要。金眼鲷对未来压力因素的敏感性值得关注,气候变化可能导致的数量减少可能会产生连锁效应,对整个生态系统造成影响。
本文章由计算机程序翻译,如有差异,请以英文原文为准。
求助全文
约1分钟内获得全文 求助全文
来源期刊
Conservation Physiology
Conservation Physiology Environmental Science-Management, Monitoring, Policy and Law
CiteScore
5.10
自引率
3.70%
发文量
71
审稿时长
11 weeks
期刊介绍: Conservation Physiology is an online only, fully open access journal published on behalf of the Society for Experimental Biology. Biodiversity across the globe faces a growing number of threats associated with human activities. Conservation Physiology will publish research on all taxa (microbes, plants and animals) focused on understanding and predicting how organisms, populations, ecosystems and natural resources respond to environmental change and stressors. Physiology is considered in the broadest possible terms to include functional and mechanistic responses at all scales. We also welcome research towards developing and refining strategies to rebuild populations, restore ecosystems, inform conservation policy, and manage living resources. We define conservation physiology broadly and encourage potential authors to contact the editorial team if they have any questions regarding the remit of the journal.
×
引用
GB/T 7714-2015
复制
MLA
复制
APA
复制
导出至
BibTeX EndNote RefMan NoteFirst NoteExpress
×
提示
您的信息不完整,为了账户安全,请先补充。
现在去补充
×
提示
您因"违规操作"
具体请查看互助需知
我知道了
×
提示
确定
请完成安全验证×
copy
已复制链接
快去分享给好友吧!
我知道了
右上角分享
点击右上角分享
0
联系我们:info@booksci.cn Book学术提供免费学术资源搜索服务,方便国内外学者检索中英文文献。致力于提供最便捷和优质的服务体验。 Copyright © 2023 布克学术 All rights reserved.
京ICP备2023020795号-1
ghs 京公网安备 11010802042870号
Book学术文献互助
Book学术文献互助群
群 号:604180095
Book学术官方微信