Evaluation and Comparison of the Dose Received by the Mandible, Maxilla, and Teeth in Two Methods of Three-dimensional Conformal Radiation Therapy and Helical Tomotherapy.

IF 1.1 Q4 ENGINEERING, BIOMEDICAL
Journal of Medical Signals & Sensors Pub Date : 2024-09-02 eCollection Date: 2024-01-01 DOI:10.4103/jmss.jmss_42_23
Zahra Pourparvar, Daryoush Shahbazi-Gahrouei, Nadia Najafizade, Mohsen Saeb, Bita Moradi Khaniabadi, Pegah Moradi Khaniabadi
{"title":"Evaluation and Comparison of the Dose Received by the Mandible, Maxilla, and Teeth in Two Methods of Three-dimensional Conformal Radiation Therapy and Helical Tomotherapy.","authors":"Zahra Pourparvar, Daryoush Shahbazi-Gahrouei, Nadia Najafizade, Mohsen Saeb, Bita Moradi Khaniabadi, Pegah Moradi Khaniabadi","doi":"10.4103/jmss.jmss_42_23","DOIUrl":null,"url":null,"abstract":"<p><strong>Background: </strong>Using three-dimensional conformal radiation treatment (3D-CRT) and helical tomotherapy (HT), this study examines and contrasts the dosage received by the mandible, maxilla, and teeth.</p><p><strong>Methods: </strong>Sixteen patients with head-and-neck cancer (H and NC) were the subject of treatment planning at the Seyyed Al-Shohada Hospital in Isfahan, Iran. This study examined target coverage quality, exposure of healthy tissue, and radiation delivery effectiveness.</p><p><strong>Results: </strong>In terms of a number of measures, including D<sub>2%</sub>, D<sub>50%</sub>, D<sub>mean</sub>, V<sub>95%</sub>, conformity index (CI), and homogeneity index (HI) for the planning target volume (PTV) and D<sub>2%</sub>, D<sub>98%</sub>, D<sub>mean</sub>, V<sub>95%</sub>, CI, and HI for the nodal PTV, HT showed considerable gains over 3D-CRT. The brainstem, D<sub>1cc</sub>, and D<sub>10cc</sub> received considerably lower maximum dosages in HT. Measurements of the right and left cochleas (D<sub>mean</sub>, V55, and D<sub>max</sub>) revealed decreases in HT, with D<sub>mean</sub> revealing the most significant variations. The D<sub>mean</sub> and D<sub>max</sub> values for HT significantly decreased in constrictors as well. In terms of several HT-related indicators, the larynx, optic chiasm, optic nerves, oral cavity, mandible, thyroid, and parotid glands all showed considerable decreases.</p><p><strong>Conclusion: </strong>The findings of the comparison of the two treatment approaches revealed that the HT method was more than 50% more effective than the 3D-CRT method in sustaining organs at risk (OARs) and the target volume dose. In general, dosimetric coverage, homogeneity, conformity indices, and the absence of cold and hot patches showed that HT produced targets with greater accuracy than 3D-CRT. In addition, HT outperformed 3D-CRT in protecting important structures (OARs). HT as a result has the potential to be a more effective method of treatment for those with H and NC and involvement of regional lymph nodes.</p>","PeriodicalId":37680,"journal":{"name":"Journal of Medical Signals & Sensors","volume":"14 ","pages":"26"},"PeriodicalIF":1.1000,"publicationDate":"2024-09-02","publicationTypes":"Journal Article","fieldsOfStudy":null,"isOpenAccess":false,"openAccessPdf":"https://www.ncbi.nlm.nih.gov/pmc/articles/PMC11460734/pdf/","citationCount":"0","resultStr":null,"platform":"Semanticscholar","paperid":null,"PeriodicalName":"Journal of Medical Signals & Sensors","FirstCategoryId":"1085","ListUrlMain":"https://doi.org/10.4103/jmss.jmss_42_23","RegionNum":0,"RegionCategory":null,"ArticlePicture":[],"TitleCN":null,"AbstractTextCN":null,"PMCID":null,"EPubDate":"2024/1/1 0:00:00","PubModel":"eCollection","JCR":"Q4","JCRName":"ENGINEERING, BIOMEDICAL","Score":null,"Total":0}
引用次数: 0

Abstract

Background: Using three-dimensional conformal radiation treatment (3D-CRT) and helical tomotherapy (HT), this study examines and contrasts the dosage received by the mandible, maxilla, and teeth.

Methods: Sixteen patients with head-and-neck cancer (H and NC) were the subject of treatment planning at the Seyyed Al-Shohada Hospital in Isfahan, Iran. This study examined target coverage quality, exposure of healthy tissue, and radiation delivery effectiveness.

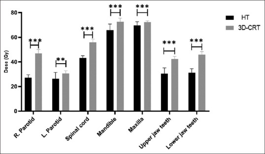
Results: In terms of a number of measures, including D2%, D50%, Dmean, V95%, conformity index (CI), and homogeneity index (HI) for the planning target volume (PTV) and D2%, D98%, Dmean, V95%, CI, and HI for the nodal PTV, HT showed considerable gains over 3D-CRT. The brainstem, D1cc, and D10cc received considerably lower maximum dosages in HT. Measurements of the right and left cochleas (Dmean, V55, and Dmax) revealed decreases in HT, with Dmean revealing the most significant variations. The Dmean and Dmax values for HT significantly decreased in constrictors as well. In terms of several HT-related indicators, the larynx, optic chiasm, optic nerves, oral cavity, mandible, thyroid, and parotid glands all showed considerable decreases.

Conclusion: The findings of the comparison of the two treatment approaches revealed that the HT method was more than 50% more effective than the 3D-CRT method in sustaining organs at risk (OARs) and the target volume dose. In general, dosimetric coverage, homogeneity, conformity indices, and the absence of cold and hot patches showed that HT produced targets with greater accuracy than 3D-CRT. In addition, HT outperformed 3D-CRT in protecting important structures (OARs). HT as a result has the potential to be a more effective method of treatment for those with H and NC and involvement of regional lymph nodes.

Abstract Image

Abstract Image

Abstract Image

评估和比较下颌骨、上颌骨和牙齿在三维适形放射治疗和螺旋断层治疗两种方法中接受的剂量。
背景:本研究使用三维适形放射治疗(3D-CRT)和螺旋断层治疗(HT)对下颌骨、上颌骨和牙齿所接受的剂量进行研究和对比:本研究利用三维适形放射治疗(3D-CRT)和螺旋断层治疗(HT),对下颌骨、上颌骨和牙齿接受的剂量进行了检查和对比:伊朗伊斯法罕 Seyyed Al-Shohada 医院对 16 名头颈癌(H 和 NC)患者进行了治疗规划。这项研究考察了靶区覆盖质量、健康组织受照情况和放射治疗效果:就规划靶体积(PTV)的D2%、D50%、Dmean、V95%、符合性指数(CI)和均匀性指数(HI)以及结节PTV的D2%、D98%、Dmean、V95%、CI和HI等多项指标而言,HT比3D-CRT有显著提高。在 HT 中,脑干、D1cc 和 D10cc 收到的最大剂量要低得多。左右耳蜗的测量值(Dmean、V55 和 Dmax)在 HT 中均有所下降,其中 Dmean 的变化最为显著。缢蛏的 HT Dmean 和 Dmax 值也明显下降。在与 HT 相关的几项指标中,喉、视丘、视神经、口腔、下颌骨、甲状腺和腮腺都有明显下降:两种治疗方法的比较结果表明,在维持危险器官(OARs)和靶体积剂量方面,热疗方法比 3D-CRT 方法有效 50%以上。总体而言,剂量覆盖率、均匀性、一致性指数以及无冷斑和热斑等指标表明,高温热疗法比 3D-CRT 法更精确地产生靶点。此外,高温热疗在保护重要结构(OARs)方面优于 3D-CRT 。因此,HT 有可能成为治疗 H 型和 NC 型以及区域淋巴结受累患者的更有效方法。
本文章由计算机程序翻译,如有差异,请以英文原文为准。
求助全文
约1分钟内获得全文 求助全文
来源期刊
Journal of Medical Signals & Sensors
Journal of Medical Signals & Sensors ENGINEERING, BIOMEDICAL-
CiteScore
2.30
自引率
0.00%
发文量
53
审稿时长
33 weeks
期刊介绍: JMSS is an interdisciplinary journal that incorporates all aspects of the biomedical engineering including bioelectrics, bioinformatics, medical physics, health technology assessment, etc. Subject areas covered by the journal include: - Bioelectric: Bioinstruments Biosensors Modeling Biomedical signal processing Medical image analysis and processing Medical imaging devices Control of biological systems Neuromuscular systems Cognitive sciences Telemedicine Robotic Medical ultrasonography Bioelectromagnetics Electrophysiology Cell tracking - Bioinformatics and medical informatics: Analysis of biological data Data mining Stochastic modeling Computational genomics Artificial intelligence & fuzzy Applications Medical softwares Bioalgorithms Electronic health - Biophysics and medical physics: Computed tomography Radiation therapy Laser therapy - Education in biomedical engineering - Health technology assessment - Standard in biomedical engineering.
×
引用
GB/T 7714-2015
复制
MLA
复制
APA
复制
导出至
BibTeX EndNote RefMan NoteFirst NoteExpress
×
提示
您的信息不完整,为了账户安全,请先补充。
现在去补充
×
提示
您因"违规操作"
具体请查看互助需知
我知道了
×
提示
确定
请完成安全验证×
copy
已复制链接
快去分享给好友吧!
我知道了
右上角分享
点击右上角分享
0
联系我们:info@booksci.cn Book学术提供免费学术资源搜索服务,方便国内外学者检索中英文文献。致力于提供最便捷和优质的服务体验。 Copyright © 2023 布克学术 All rights reserved.
京ICP备2023020795号-1
ghs 京公网安备 11010802042870号
Book学术文献互助
Book学术文献互助群
群 号:604180095
Book学术官方微信