Medial soft tissue release is also related to the anterior stability of cruciate-retaining total knee arthroplasty: a cadaveric study.

IF 4.4 Q2 Medicine
Sayako Sakai, Shinichiro Nakamura, Takahiro Maeda, Shinichi Kuriyama, Kohei Nishitani, Yugo Morita, Yugo Morita, Yusuke Yamawaki, Yuki Shinya, Shuichi Matsuda
{"title":"Medial soft tissue release is also related to the anterior stability of cruciate-retaining total knee arthroplasty: a cadaveric study.","authors":"Sayako Sakai, Shinichiro Nakamura, Takahiro Maeda, Shinichi Kuriyama, Kohei Nishitani, Yugo Morita, Yugo Morita, Yusuke Yamawaki, Yuki Shinya, Shuichi Matsuda","doi":"10.1186/s43019-024-00233-6","DOIUrl":null,"url":null,"abstract":"<p><strong>Background: </strong>Medial soft tissue release is occasionally performed to achieve mediolateral ligament balance in total knee arthroplasty (TKA), whose sequential effect on mediolateral and anteroposterior stability remains unclear. This study aimed to quantitatively evaluate the difference in mediolateral and anteroposterior stability according to a sequential medial soft tissue release in TKA.</p><p><strong>Methods: </strong>Cruciate-retaining TKA was performed in six cadaveric knees. Medial and lateral joint gaps, varus-valgus angle, and tibial anterior and posterior translations relative to the femur with pulling and pushing forces, respectively, were measured. All measurements were performed at full extension and 45° and 90° flexion after release of the deep medial collateral ligament (MCL) (stage 1), the posteromedial capsule (stage 2), and the superficial MCL (stage 3). Mediolateral and anteroposterior stability were compared between stages, and correlations between mediolateral and anteroposterior stability were analyzed.</p><p><strong>Results: </strong>Medial joint gap significantly increased from stages 1 to 3 by 3.2 mm, 6.8 mm, and 7.2 mm at extension, 45° flexion, and 90° flexion, respectively, and from stages 2 to 3 by 3.5 mm at extension. Varus-valgus angle was varus at stage 2, which turned to valgus at stage 3 (-2.7° to 0.8°, -2.2° to 4.3°, and -5.5° to 2.5° at extension, 45° flexion, and 90° flexion, respectively). Anterior translation at 90° flexion significantly increased from stages 1 and 2 to stage 3 by 11.5 mm and 8.2 mm, respectively, which was significantly correlated with medial gap (r = 0.681) and varus-valgus angle (r = 0.495).</p><p><strong>Conclusions: </strong>Medial soft tissue release also increased tibial anterior translation as well as medial joint gap, and medial joint gap and tibial anterior translation were significantly correlated. Surgeons should be careful not to create too large medial joint gap and tibial anterior translation in flexion by excessive medial release up to the superficial MCL for achieving an equal mediolateral joint gap in extension.</p>","PeriodicalId":36317,"journal":{"name":"Knee Surgery and Related Research","volume":"36 1","pages":"29"},"PeriodicalIF":4.4000,"publicationDate":"2024-10-08","publicationTypes":"Journal Article","fieldsOfStudy":null,"isOpenAccess":false,"openAccessPdf":"https://www.ncbi.nlm.nih.gov/pmc/articles/PMC11459880/pdf/","citationCount":"0","resultStr":null,"platform":"Semanticscholar","paperid":null,"PeriodicalName":"Knee Surgery and Related Research","FirstCategoryId":"1085","ListUrlMain":"https://doi.org/10.1186/s43019-024-00233-6","RegionNum":0,"RegionCategory":null,"ArticlePicture":[],"TitleCN":null,"AbstractTextCN":null,"PMCID":null,"EPubDate":"","PubModel":"","JCR":"Q2","JCRName":"Medicine","Score":null,"Total":0}
引用次数: 0

Abstract

Background: Medial soft tissue release is occasionally performed to achieve mediolateral ligament balance in total knee arthroplasty (TKA), whose sequential effect on mediolateral and anteroposterior stability remains unclear. This study aimed to quantitatively evaluate the difference in mediolateral and anteroposterior stability according to a sequential medial soft tissue release in TKA.

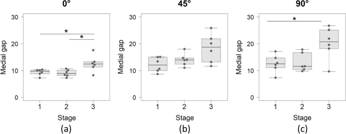
Methods: Cruciate-retaining TKA was performed in six cadaveric knees. Medial and lateral joint gaps, varus-valgus angle, and tibial anterior and posterior translations relative to the femur with pulling and pushing forces, respectively, were measured. All measurements were performed at full extension and 45° and 90° flexion after release of the deep medial collateral ligament (MCL) (stage 1), the posteromedial capsule (stage 2), and the superficial MCL (stage 3). Mediolateral and anteroposterior stability were compared between stages, and correlations between mediolateral and anteroposterior stability were analyzed.

Results: Medial joint gap significantly increased from stages 1 to 3 by 3.2 mm, 6.8 mm, and 7.2 mm at extension, 45° flexion, and 90° flexion, respectively, and from stages 2 to 3 by 3.5 mm at extension. Varus-valgus angle was varus at stage 2, which turned to valgus at stage 3 (-2.7° to 0.8°, -2.2° to 4.3°, and -5.5° to 2.5° at extension, 45° flexion, and 90° flexion, respectively). Anterior translation at 90° flexion significantly increased from stages 1 and 2 to stage 3 by 11.5 mm and 8.2 mm, respectively, which was significantly correlated with medial gap (r = 0.681) and varus-valgus angle (r = 0.495).

Conclusions: Medial soft tissue release also increased tibial anterior translation as well as medial joint gap, and medial joint gap and tibial anterior translation were significantly correlated. Surgeons should be careful not to create too large medial joint gap and tibial anterior translation in flexion by excessive medial release up to the superficial MCL for achieving an equal mediolateral joint gap in extension.

Abstract Image

Abstract Image

Abstract Image

内侧软组织松解也与十字韧带固定全膝关节置换术的前部稳定性有关:一项尸体研究。
背景:在全膝关节置换术(TKA)中,偶尔会进行内侧软组织松解以达到内外侧韧带平衡,但其对内侧和前方稳定性的连续影响仍不清楚。本研究旨在定量评估 TKA 中内侧软组织连续松解对内侧和前后稳定性的影响:方法:在六个尸体膝关节中进行了椎体后凸固定 TKA。分别测量了关节内侧和外侧间隙、外翻-内翻角度、胫骨在拉力和推力作用下相对于股骨的前后位移。所有测量都是在松解深内侧副韧带(MCL)(第一阶段)、后内侧囊(第二阶段)和浅内侧副韧带(第三阶段)后,在完全伸展、屈曲45°和90°时进行的。比较了不同阶段的内外侧和前胸稳定性,并分析了内外侧和前胸稳定性之间的相关性:结果:在伸展、屈曲45°和屈曲90°时,内侧关节间隙从1期到3期分别明显增加了3.2毫米、6.8毫米和7.2毫米;在伸展时,内侧关节间隙从2期到3期分别增加了3.5毫米。变髋角在第2阶段为上翘,在第3阶段转为下垂(在伸展、屈曲45°和屈曲90°时分别为-2.7°至0.8°、-2.2°至4.3°和-5.5°至2.5°)。屈曲 90° 时的前移量从第 1 和第 2 阶段到第 3 阶段分别显著增加了 11.5 mm 和 8.2 mm,这与内侧间隙(r = 0.681)和曲髋角(r = 0.495)显著相关:结论:内侧软组织松解也增加了胫骨前移和内侧关节间隙,而内侧关节间隙和胫骨前移有明显相关性。外科医生应注意不要通过过度内侧松解至MCL浅层来造成过大的内侧关节间隙和屈曲时的胫骨前移,以实现伸展时平等的内外侧关节间隙。
本文章由计算机程序翻译,如有差异,请以英文原文为准。
求助全文
约1分钟内获得全文 求助全文
来源期刊
CiteScore
6.50
自引率
0.00%
发文量
42
审稿时长
19 weeks
×
引用
GB/T 7714-2015
复制
MLA
复制
APA
复制
导出至
BibTeX EndNote RefMan NoteFirst NoteExpress
×
提示
您的信息不完整,为了账户安全,请先补充。
现在去补充
×
提示
您因"违规操作"
具体请查看互助需知
我知道了
×
提示
确定
请完成安全验证×
copy
已复制链接
快去分享给好友吧!
我知道了
右上角分享
点击右上角分享
0
联系我们:info@booksci.cn Book学术提供免费学术资源搜索服务,方便国内外学者检索中英文文献。致力于提供最便捷和优质的服务体验。 Copyright © 2023 布克学术 All rights reserved.
京ICP备2023020795号-1
ghs 京公网安备 11010802042870号
Book学术文献互助
Book学术文献互助群
群 号:604180095
Book学术官方微信