Body Composition Changes Impact Islet β-Cell Function in Patients With Type 2 Diabetes Mellitus.

IF 5.9 Q1 BIOCHEMISTRY & MOLECULAR BIOLOGY
Journal of Lipids Pub Date : 2024-09-30 eCollection Date: 2024-01-01 DOI:10.1155/2024/4986998
Yuxi Lin, Yongze Zhang, Ximei Shen, Zhiyan Weng, Lingning Huang, Fengying Zhao, Sunjie Yan
{"title":"Body Composition Changes Impact Islet <i>β</i>-Cell Function in Patients With Type 2 Diabetes Mellitus.","authors":"Yuxi Lin, Yongze Zhang, Ximei Shen, Zhiyan Weng, Lingning Huang, Fengying Zhao, Sunjie Yan","doi":"10.1155/2024/4986998","DOIUrl":null,"url":null,"abstract":"<p><p><b>Background:</b> Identifying <i>β</i>-cells dysregulation in type 2 diabetes mellitus (T2DM) is crucial. Weight fluctuations are frequently observed during diabetes treatment. However, the relationship between body composition changes and islet <i>β</i>-cell function in individuals with T2DM remains insufficiently investigated. <b>Methods:</b> This retrospective longitudinal study encompassed a cohort of 775 T2DM patients, who underwent body composition measuring using dual-energy X-ray absorptiometry (DEXA) and followed up for a median of 2.29 years. Key metrics included body mass index (BMI), fat mass index (FMI), trunk fat mass index (TFMI), muscle mass index (MMI), appendicular skeletal muscle mass index (ASMI), muscle/fat mass ratio (M/F), and the appendicular skeletal muscle mass/trunk fat mass ratio (A/T) were then categorized and grouped. Insulin, C-peptide, and glucose levels were assessed concurrently following a glucose load. <i>β</i>-cell function included insulin resistance (HOMA-IR), insulin sensitivity (Matsuda index (MI)), and insulin secretion evaluated by HOMA-<i>β</i> and C-peptidogenic index (CGI). <b>Results:</b> Although no significant changes in BMI were observed, patients with T2DM at readmission exhibited higher FMI, TFMI, and ASMI, as well as elevated levels of HOMA-IR, MI, and CGI compared to baseline measurements. And lower MI, higher levels of CGI, and HOMA-IR were observed in BMI increased group. Univariate correlation analysis revealed a negative association between changes in BMI (<i>Δ</i>BMI) and <i>Δ</i>MI, while positive associations were observed in both <i>Δ</i>HOMA-IR and <i>Δ</i>CGI. Among body composition indexes, <i>Δ</i>FMI exhibited the strongest correlation with <i>Δ</i>HOMA-IR (<i>r</i> = 0.255, <i>p</i> < 0.001), and <i>Δ</i>ASMI was positively associated with <i>Δ</i>MI and <i>Δ</i>CGI (<i>r</i> = 0.131 and 0.194, respectively). Moreover, increased levels of BMI and FMI were associated with a greater risk of progressive insulin resistance compared to the decreased, whereas the trend was converse in ASMI and A/T. <b>Conclusions:</b> Increased FMI may partially contribute to the deterioration of insulin resistance, while increased ASMI is associated with improved insulin sensitivity and secretion. Maintaining an appropriate BMI and muscle/fat ratio is conductive to prevent the progression of insulin resistance in patients with T2DM.</p>","PeriodicalId":16274,"journal":{"name":"Journal of Lipids","volume":"2024 ","pages":"4986998"},"PeriodicalIF":5.9000,"publicationDate":"2024-09-30","publicationTypes":"Journal Article","fieldsOfStudy":null,"isOpenAccess":false,"openAccessPdf":"https://www.ncbi.nlm.nih.gov/pmc/articles/PMC11458290/pdf/","citationCount":"0","resultStr":null,"platform":"Semanticscholar","paperid":null,"PeriodicalName":"Journal of Lipids","FirstCategoryId":"1085","ListUrlMain":"https://doi.org/10.1155/2024/4986998","RegionNum":0,"RegionCategory":null,"ArticlePicture":[],"TitleCN":null,"AbstractTextCN":null,"PMCID":null,"EPubDate":"2024/1/1 0:00:00","PubModel":"eCollection","JCR":"Q1","JCRName":"BIOCHEMISTRY & MOLECULAR BIOLOGY","Score":null,"Total":0}
引用次数: 0

Abstract

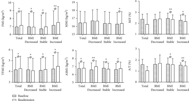
Background: Identifying β-cells dysregulation in type 2 diabetes mellitus (T2DM) is crucial. Weight fluctuations are frequently observed during diabetes treatment. However, the relationship between body composition changes and islet β-cell function in individuals with T2DM remains insufficiently investigated. Methods: This retrospective longitudinal study encompassed a cohort of 775 T2DM patients, who underwent body composition measuring using dual-energy X-ray absorptiometry (DEXA) and followed up for a median of 2.29 years. Key metrics included body mass index (BMI), fat mass index (FMI), trunk fat mass index (TFMI), muscle mass index (MMI), appendicular skeletal muscle mass index (ASMI), muscle/fat mass ratio (M/F), and the appendicular skeletal muscle mass/trunk fat mass ratio (A/T) were then categorized and grouped. Insulin, C-peptide, and glucose levels were assessed concurrently following a glucose load. β-cell function included insulin resistance (HOMA-IR), insulin sensitivity (Matsuda index (MI)), and insulin secretion evaluated by HOMA-β and C-peptidogenic index (CGI). Results: Although no significant changes in BMI were observed, patients with T2DM at readmission exhibited higher FMI, TFMI, and ASMI, as well as elevated levels of HOMA-IR, MI, and CGI compared to baseline measurements. And lower MI, higher levels of CGI, and HOMA-IR were observed in BMI increased group. Univariate correlation analysis revealed a negative association between changes in BMI (ΔBMI) and ΔMI, while positive associations were observed in both ΔHOMA-IR and ΔCGI. Among body composition indexes, ΔFMI exhibited the strongest correlation with ΔHOMA-IR (r = 0.255, p < 0.001), and ΔASMI was positively associated with ΔMI and ΔCGI (r = 0.131 and 0.194, respectively). Moreover, increased levels of BMI and FMI were associated with a greater risk of progressive insulin resistance compared to the decreased, whereas the trend was converse in ASMI and A/T. Conclusions: Increased FMI may partially contribute to the deterioration of insulin resistance, while increased ASMI is associated with improved insulin sensitivity and secretion. Maintaining an appropriate BMI and muscle/fat ratio is conductive to prevent the progression of insulin resistance in patients with T2DM.

Abstract Image

Abstract Image

身体成分变化对 2 型糖尿病患者胰岛β细胞功能的影响
背景:识别 2 型糖尿病(T2DM)中的 β 细胞失调至关重要。在糖尿病治疗过程中,经常会观察到体重波动。然而,对 T2DM 患者的身体成分变化与胰岛 β 细胞功能之间的关系研究仍然不足。研究方法这项回顾性纵向研究涵盖了 775 名 T2DM 患者,他们都接受了双能 X 射线吸收测量法(DEXA)的身体成分测量,随访时间中位数为 2.29 年。主要指标包括体重指数 (BMI)、脂肪质量指数 (FMI)、躯干脂肪质量指数 (TFMI)、肌肉质量指数 (MMI)、附属骨骼肌质量指数 (ASMI)、肌肉/脂肪质量比 (M/F) 以及附属骨骼肌质量/躯干脂肪质量比 (A/T),然后对这些指标进行分类和分组。葡萄糖负荷后同时评估胰岛素、C 肽和葡萄糖水平。β细胞功能包括胰岛素抵抗(HOMA-IR)、胰岛素敏感性(松田指数(MI))以及通过 HOMA-β 和 C 肽生成指数(CGI)评估的胰岛素分泌。结果:虽然体重指数(BMI)没有发生明显变化,但与基线测量值相比,T2DM 患者再入院时的 FMI、TFMI 和 ASMI 以及 HOMA-IR、MI 和 CGI 水平均有所升高。而在体重指数增加组中,MI、CGI 和 HOMA-IR 水平较低。单变量相关分析表明,体重指数(ΔBMI)的变化与ΔMI呈负相关,而ΔHOMA-IR和ΔCGI则呈正相关。在身体成分指数中,ΔFMI 与 ΔHOMA-IR 的相关性最强(r = 0.255,p < 0.001),ΔASMI 与 ΔMI 和 ΔCGI 呈正相关(r = 0.131 和 0.194)。此外,与胰岛素抵抗水平下降相比,BMI 和 FMI 水平升高与胰岛素抵抗进展的风险更大相关,而 ASMI 和 A/T 则呈相反趋势。结论:FMI 的增加可能会部分导致胰岛素抵抗的恶化,而 ASMI 的增加则与胰岛素敏感性和分泌的改善有关。保持适当的体重指数和肌肉/脂肪比率有利于防止 T2DM 患者的胰岛素抵抗恶化。
本文章由计算机程序翻译,如有差异,请以英文原文为准。
求助全文
约1分钟内获得全文 求助全文
来源期刊
Journal of Lipids
Journal of Lipids BIOCHEMISTRY & MOLECULAR BIOLOGY-
自引率
0.00%
发文量
7
审稿时长
12 weeks
期刊介绍: Journal of Lipids is a peer-reviewed, Open Access journal that publishes original research articles and review articles related to all aspects of lipids, including their biochemistry, synthesis, function in health and disease, and nutrition. As an interdisciplinary journal, Journal of Lipids aims to provide a forum for scientists, physicians, nutritionists, and other relevant health professionals.
×
引用
GB/T 7714-2015
复制
MLA
复制
APA
复制
导出至
BibTeX EndNote RefMan NoteFirst NoteExpress
×
提示
您的信息不完整,为了账户安全,请先补充。
现在去补充
×
提示
您因"违规操作"
具体请查看互助需知
我知道了
×
提示
确定
请完成安全验证×
copy
已复制链接
快去分享给好友吧!
我知道了
右上角分享
点击右上角分享
0
联系我们:info@booksci.cn Book学术提供免费学术资源搜索服务,方便国内外学者检索中英文文献。致力于提供最便捷和优质的服务体验。 Copyright © 2023 布克学术 All rights reserved.
京ICP备2023020795号-1
ghs 京公网安备 11010802042870号
Book学术文献互助
Book学术文献互助群
群 号:604180095
Book学术官方微信