The Impact of Primary Renal Diagnosis on Prognosis and the Varying Predictive Power of Albuminuria in the NURTuRE-CKD Study.

IF 3.2 3区 医学 Q1 UROLOGY & NEPHROLOGY
American Journal of Nephrology Pub Date : 2025-01-01 Epub Date: 2024-10-04 DOI:10.1159/000541770
Thomas McDonnell, Philip A Kalra, Nicolas Vuilleumier, Paul Cockwell, David C Wheeler, Simon D S Fraser, Rosamonde E Banks, Maarten W Taal
{"title":"The Impact of Primary Renal Diagnosis on Prognosis and the Varying Predictive Power of Albuminuria in the NURTuRE-CKD Study.","authors":"Thomas McDonnell, Philip A Kalra, Nicolas Vuilleumier, Paul Cockwell, David C Wheeler, Simon D S Fraser, Rosamonde E Banks, Maarten W Taal","doi":"10.1159/000541770","DOIUrl":null,"url":null,"abstract":"<p><strong>Introduction: </strong>The definition of CKD is broad, which neglects the heterogeneity of risk across primary renal diseases.</p><p><strong>Methods: </strong>The National Unified Renal Translational Research Enterprise (NURTuRE)-CKD is an ongoing UK, prospective multicenter cohort study of 2,996 adults with an eGFR of 15-59 mL/min/1.73 m2 or eGFR ≥60 mL/min/1.73 m2 with a urine albumin-to-creatinine ratio (uACR) >30 mg/mmol. Outcomes and predictive performance of eGFR and uACR were subcategorized by ERA-EDTA primary renal diagnosis (PRD) codes.</p><p><strong>Results: </strong>2,638 participants were included, with baseline median eGFR of 33.5 mL/min/1.73 m2 and uACR 29.8 mg/mmol. Over a median 49.2 months follow-up, 630 (23.9%) experienced kidney failure (KF), and 352 (13.3%) died before KF, the median eGFR slope was -1.97 mL/min/1.73 m2/year. There were significant differences in risk across the PRD, persisting after adjustment for age, sex, baseline eGFR, and modifiable risk factors (blood pressure, HbA1c, and renin-angiotensin-aldosterone system inhibitors). Diabetic kidney disease (DKD), glomerulonephritis, and familial/hereditary nephropathy were associated with the greatest risk, while tubulointerstitial disease and vasculitis carried a low risk of KF. eGFR had good predictive accuracy across all PRD. However, the addition of uACR showed variable benefit, depending on the PRD. The largest benefit was seen in vasculitis, renal vascular, and DKD groups, but uACR added no predictive value to the familial/hereditary group.</p><p><strong>Conclusion: </strong>Significant differences in the risk of kidney-related outcomes occurred across the various primary renal diagnoses persisting after adjustment for age, sex, baseline eGFR, and modifiable risk factors. Albuminuria's discriminatory ability as a biomarker of progression varies by diagnosis. CKD care should, therefore, take a personalized approach that always considers the primary renal diagnosis.</p><p><strong>Introduction: </strong>The definition of CKD is broad, which neglects the heterogeneity of risk across primary renal diseases.</p><p><strong>Methods: </strong>The National Unified Renal Translational Research Enterprise (NURTuRE)-CKD is an ongoing UK, prospective multicenter cohort study of 2,996 adults with an eGFR of 15-59 mL/min/1.73 m2 or eGFR ≥60 mL/min/1.73 m2 with a urine albumin-to-creatinine ratio (uACR) >30 mg/mmol. Outcomes and predictive performance of eGFR and uACR were subcategorized by ERA-EDTA primary renal diagnosis (PRD) codes.</p><p><strong>Results: </strong>2,638 participants were included, with baseline median eGFR of 33.5 mL/min/1.73 m2 and uACR 29.8 mg/mmol. Over a median 49.2 months follow-up, 630 (23.9%) experienced kidney failure (KF), and 352 (13.3%) died before KF, the median eGFR slope was -1.97 mL/min/1.73 m2/year. There were significant differences in risk across the PRD, persisting after adjustment for age, sex, baseline eGFR, and modifiable risk factors (blood pressure, HbA1c, and renin-angiotensin-aldosterone system inhibitors). Diabetic kidney disease (DKD), glomerulonephritis, and familial/hereditary nephropathy were associated with the greatest risk, while tubulointerstitial disease and vasculitis carried a low risk of KF. eGFR had good predictive accuracy across all PRD. However, the addition of uACR showed variable benefit, depending on the PRD. The largest benefit was seen in vasculitis, renal vascular, and DKD groups, but uACR added no predictive value to the familial/hereditary group.</p><p><strong>Conclusion: </strong>Significant differences in the risk of kidney-related outcomes occurred across the various primary renal diagnoses persisting after adjustment for age, sex, baseline eGFR, and modifiable risk factors. Albuminuria's discriminatory ability as a biomarker of progression varies by diagnosis. CKD care should, therefore, take a personalized approach that always considers the primary renal diagnosis.</p>","PeriodicalId":7570,"journal":{"name":"American Journal of Nephrology","volume":" ","pages":"1-12"},"PeriodicalIF":3.2000,"publicationDate":"2025-01-01","publicationTypes":"Journal Article","fieldsOfStudy":null,"isOpenAccess":false,"openAccessPdf":"https://www.ncbi.nlm.nih.gov/pmc/articles/PMC11812588/pdf/","citationCount":"0","resultStr":null,"platform":"Semanticscholar","paperid":null,"PeriodicalName":"American Journal of Nephrology","FirstCategoryId":"3","ListUrlMain":"https://doi.org/10.1159/000541770","RegionNum":3,"RegionCategory":"医学","ArticlePicture":[],"TitleCN":null,"AbstractTextCN":null,"PMCID":null,"EPubDate":"2024/10/4 0:00:00","PubModel":"Epub","JCR":"Q1","JCRName":"UROLOGY & NEPHROLOGY","Score":null,"Total":0}
引用次数: 0

Abstract

Introduction: The definition of CKD is broad, which neglects the heterogeneity of risk across primary renal diseases.

Methods: The National Unified Renal Translational Research Enterprise (NURTuRE)-CKD is an ongoing UK, prospective multicenter cohort study of 2,996 adults with an eGFR of 15-59 mL/min/1.73 m2 or eGFR ≥60 mL/min/1.73 m2 with a urine albumin-to-creatinine ratio (uACR) >30 mg/mmol. Outcomes and predictive performance of eGFR and uACR were subcategorized by ERA-EDTA primary renal diagnosis (PRD) codes.

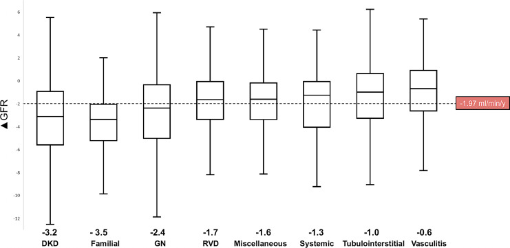
Results: 2,638 participants were included, with baseline median eGFR of 33.5 mL/min/1.73 m2 and uACR 29.8 mg/mmol. Over a median 49.2 months follow-up, 630 (23.9%) experienced kidney failure (KF), and 352 (13.3%) died before KF, the median eGFR slope was -1.97 mL/min/1.73 m2/year. There were significant differences in risk across the PRD, persisting after adjustment for age, sex, baseline eGFR, and modifiable risk factors (blood pressure, HbA1c, and renin-angiotensin-aldosterone system inhibitors). Diabetic kidney disease (DKD), glomerulonephritis, and familial/hereditary nephropathy were associated with the greatest risk, while tubulointerstitial disease and vasculitis carried a low risk of KF. eGFR had good predictive accuracy across all PRD. However, the addition of uACR showed variable benefit, depending on the PRD. The largest benefit was seen in vasculitis, renal vascular, and DKD groups, but uACR added no predictive value to the familial/hereditary group.

Conclusion: Significant differences in the risk of kidney-related outcomes occurred across the various primary renal diagnoses persisting after adjustment for age, sex, baseline eGFR, and modifiable risk factors. Albuminuria's discriminatory ability as a biomarker of progression varies by diagnosis. CKD care should, therefore, take a personalized approach that always considers the primary renal diagnosis.

Introduction: The definition of CKD is broad, which neglects the heterogeneity of risk across primary renal diseases.

Methods: The National Unified Renal Translational Research Enterprise (NURTuRE)-CKD is an ongoing UK, prospective multicenter cohort study of 2,996 adults with an eGFR of 15-59 mL/min/1.73 m2 or eGFR ≥60 mL/min/1.73 m2 with a urine albumin-to-creatinine ratio (uACR) >30 mg/mmol. Outcomes and predictive performance of eGFR and uACR were subcategorized by ERA-EDTA primary renal diagnosis (PRD) codes.

Results: 2,638 participants were included, with baseline median eGFR of 33.5 mL/min/1.73 m2 and uACR 29.8 mg/mmol. Over a median 49.2 months follow-up, 630 (23.9%) experienced kidney failure (KF), and 352 (13.3%) died before KF, the median eGFR slope was -1.97 mL/min/1.73 m2/year. There were significant differences in risk across the PRD, persisting after adjustment for age, sex, baseline eGFR, and modifiable risk factors (blood pressure, HbA1c, and renin-angiotensin-aldosterone system inhibitors). Diabetic kidney disease (DKD), glomerulonephritis, and familial/hereditary nephropathy were associated with the greatest risk, while tubulointerstitial disease and vasculitis carried a low risk of KF. eGFR had good predictive accuracy across all PRD. However, the addition of uACR showed variable benefit, depending on the PRD. The largest benefit was seen in vasculitis, renal vascular, and DKD groups, but uACR added no predictive value to the familial/hereditary group.

Conclusion: Significant differences in the risk of kidney-related outcomes occurred across the various primary renal diagnoses persisting after adjustment for age, sex, baseline eGFR, and modifiable risk factors. Albuminuria's discriminatory ability as a biomarker of progression varies by diagnosis. CKD care should, therefore, take a personalized approach that always considers the primary renal diagnosis.

Abstract Image

Abstract Image

NURTuRE-CKD研究中原发性肾病诊断对预后的影响以及白蛋白尿的不同预测能力。
导言 CKD 的定义过于宽泛,忽略了原发性肾脏疾病风险的异质性。方法 国家统一肾脏转化研究企业(NURTuRE)-CKD 是英国一项正在进行的前瞻性多中心队列研究,研究对象为 2996 名 eGFR 为 15-59 mL/min/1.73 m2 或 eGFR ≥60 mL/min/1.73 m2 且 uACR 为 30 mg/mmol的成年人。根据ERA-EDTA肾脏初级诊断(PRD)代码对eGFR和uACR的结果和预测性能进行了细分。结果 共纳入 2638 名参与者,基线中位 eGFR 为 33.5ml/min/1.73m2,uACR 为 29.8 mg/mmol。在中位 49.2 个月的随访中,630 人(23.9%)出现肾衰竭,352 人(13.3%)在肾衰竭前死亡,eGFR 中位斜率为-1.97 毫升/分钟/1.73 平方米/年。在对年龄、性别、基线 eGFR 和可改变的风险因素(血压、HbA1c 和肾素-血管紧张素-醛固酮系统抑制剂 (RAASi))进行调整后,各珠三角地区的风险仍存在明显差异。糖尿病肾病、肾小球肾炎和家族性/遗传性肾病的风险最大,而肾小管间质疾病和血管炎的 KF 风险较低。然而,根据 PRD 的不同,加入 uACR 的益处也不尽相同。血管炎组、肾血管组和 DKD 组的获益最大,但 uACR 对家族性/遗传性组没有任何预测价值。结论 在对年龄、性别、基线肾小球滤过率和可改变的风险因素进行调整后,各种原发性肾病诊断的肾脏相关结果风险仍存在显著差异。白蛋白尿作为病情进展生物标志物的鉴别能力因诊断而异。因此,慢性肾功能衰竭的治疗应采取个性化的方法,始终考虑主要的肾脏诊断。
本文章由计算机程序翻译,如有差异,请以英文原文为准。
求助全文
约1分钟内获得全文 求助全文
来源期刊
American Journal of Nephrology
American Journal of Nephrology 医学-泌尿学与肾脏学
CiteScore
7.50
自引率
2.40%
发文量
74
审稿时长
4-8 weeks
期刊介绍: The ''American Journal of Nephrology'' is a peer-reviewed journal that focuses on timely topics in both basic science and clinical research. Papers are divided into several sections, including:
×
引用
GB/T 7714-2015
复制
MLA
复制
APA
复制
导出至
BibTeX EndNote RefMan NoteFirst NoteExpress
×
提示
您的信息不完整,为了账户安全,请先补充。
现在去补充
×
提示
您因"违规操作"
具体请查看互助需知
我知道了
×
提示
确定
请完成安全验证×
copy
已复制链接
快去分享给好友吧!
我知道了
右上角分享
点击右上角分享
0
联系我们:info@booksci.cn Book学术提供免费学术资源搜索服务,方便国内外学者检索中英文文献。致力于提供最便捷和优质的服务体验。 Copyright © 2023 布克学术 All rights reserved.
京ICP备2023020795号-1
ghs 京公网安备 11010802042870号
Book学术文献互助
Book学术文献互助群
群 号:604180095
Book学术官方微信