Pharmacokinetics, Pharmacodynamics, and Safety of Intravenous Efgartigimod and Subcutaneous Efgartigimod PH20 in Healthy Chinese Participants.

IF 2.1 4区 医学 Q3 PHARMACOLOGY & PHARMACY
Drugs in Research & Development Pub Date : 2024-12-01 Epub Date: 2024-10-05 DOI:10.1007/s40268-024-00490-6
Shan Jing, Yu Zhang, Yang Lin, Xiaowen Gu, Jing Liu, Antonio Guglietta, Jan Noukens, Tonke Van Bragt, Lina Wang, Jiajia Chen, Harald Reinhart, Xia Pu
{"title":"Pharmacokinetics, Pharmacodynamics, and Safety of Intravenous Efgartigimod and Subcutaneous Efgartigimod PH20 in Healthy Chinese Participants.","authors":"Shan Jing, Yu Zhang, Yang Lin, Xiaowen Gu, Jing Liu, Antonio Guglietta, Jan Noukens, Tonke Van Bragt, Lina Wang, Jiajia Chen, Harald Reinhart, Xia Pu","doi":"10.1007/s40268-024-00490-6","DOIUrl":null,"url":null,"abstract":"<p><strong>Background: </strong>Efgartigimod, a human immunoglobulin G (IgG)1-derived Fc fragment targeting the neonatal Fc receptor, has been developed into intravenous (IV) and subcutaneous (SC) formulations for treating generalized myasthenia gravis (gMG) and other autoimmune diseases. Data in the Chinese population were not available to date, and while both formulations have been approved in the USA, the EU, Japan and China for the treatment of gMG.</p><p><strong>Objective: </strong>We present the pharmacokinetic, pharmacodynamic, and safety of IV and SC PH20 efgartigimod in healthy Chinese participants.</p><p><strong>Methods: </strong>In two independent, double-blinded, placebo-controlled, phase I studies of the IV and SC formulations of efgartigimod, healthy Chinese adults were randomized 3:1 to receive active treatment or matching placebo once every 7 days for four doses. Primary endpoints were pharmacokinetic parameters.</p><p><strong>Results: </strong>After the fourth IV infusion, a mean maximum observed concentration (C<sub>max</sub>) of 194 µg/mL was reached at the end of the 1 h infusion; the mean area under concentration-time curve from time zero to 168 h (AUC<sub>0-168h</sub>) was 5300 µg × h/mL. After the fourth SC injection, a mean C<sub>max</sub> of 42.1 µg/mL was achieved with a median T<sub>max</sub> of 47.74 h; the mean AUC<sub>0-168h</sub> was 4790 µg × h/mL. Maximal mean reductions from baseline in total IgG levels were reached approximately 24 days after the first dose (60.7%, IV formulation; 66.4%, SC formulation). Treatment-related adverse events (TRAEs) were reported in seven (58.3%) participants receiving SC efgartigimod, mostly injection-site reactions. No TRAEs or AEs of special interest were reported in the IV study.</p><p><strong>Conclusions: </strong>The efgartigimod IV and SC pharmacokinetic, pharmacodynamic, and safety profiles in Chinese participants were similar to the known profiles in non-Chinese participants. Both formulations effectively reduced total IgG levels by a similar percentage.</p><p><strong>Clinical trial registration: </strong>CTR20211952 and CTR20211805.</p>","PeriodicalId":49258,"journal":{"name":"Drugs in Research & Development","volume":" ","pages":"505-515"},"PeriodicalIF":2.1000,"publicationDate":"2024-12-01","publicationTypes":"Journal Article","fieldsOfStudy":null,"isOpenAccess":false,"openAccessPdf":"https://www.ncbi.nlm.nih.gov/pmc/articles/PMC11652471/pdf/","citationCount":"0","resultStr":null,"platform":"Semanticscholar","paperid":null,"PeriodicalName":"Drugs in Research & Development","FirstCategoryId":"3","ListUrlMain":"https://doi.org/10.1007/s40268-024-00490-6","RegionNum":4,"RegionCategory":"医学","ArticlePicture":[],"TitleCN":null,"AbstractTextCN":null,"PMCID":null,"EPubDate":"2024/10/5 0:00:00","PubModel":"Epub","JCR":"Q3","JCRName":"PHARMACOLOGY & PHARMACY","Score":null,"Total":0}
引用次数: 0

Abstract

Background: Efgartigimod, a human immunoglobulin G (IgG)1-derived Fc fragment targeting the neonatal Fc receptor, has been developed into intravenous (IV) and subcutaneous (SC) formulations for treating generalized myasthenia gravis (gMG) and other autoimmune diseases. Data in the Chinese population were not available to date, and while both formulations have been approved in the USA, the EU, Japan and China for the treatment of gMG.

Objective: We present the pharmacokinetic, pharmacodynamic, and safety of IV and SC PH20 efgartigimod in healthy Chinese participants.

Methods: In two independent, double-blinded, placebo-controlled, phase I studies of the IV and SC formulations of efgartigimod, healthy Chinese adults were randomized 3:1 to receive active treatment or matching placebo once every 7 days for four doses. Primary endpoints were pharmacokinetic parameters.

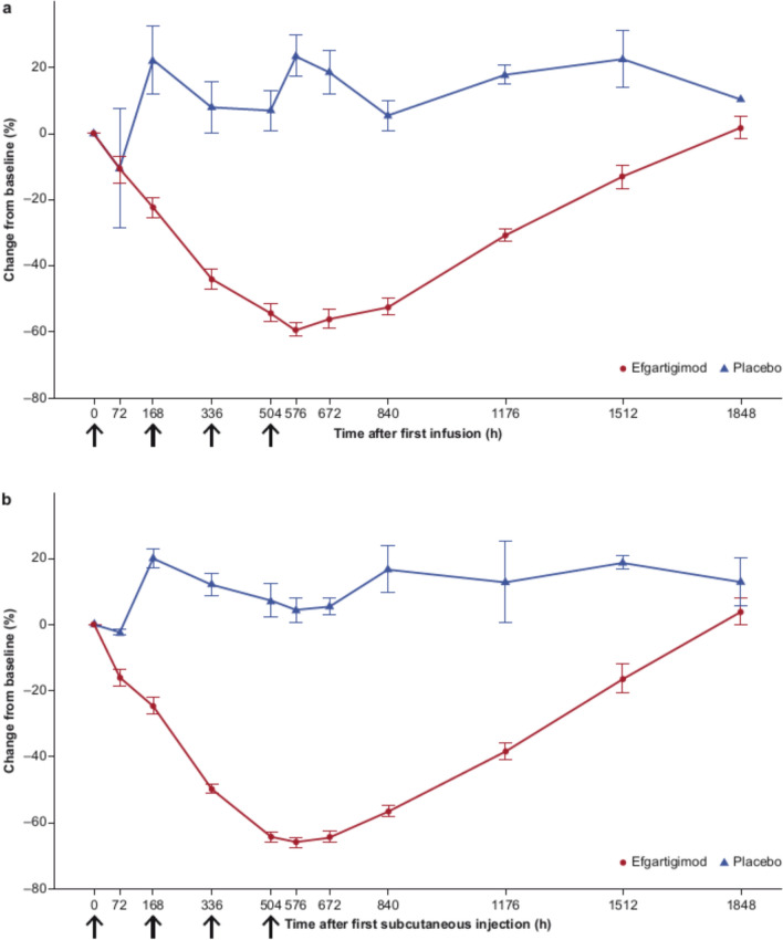
Results: After the fourth IV infusion, a mean maximum observed concentration (Cmax) of 194 µg/mL was reached at the end of the 1 h infusion; the mean area under concentration-time curve from time zero to 168 h (AUC0-168h) was 5300 µg × h/mL. After the fourth SC injection, a mean Cmax of 42.1 µg/mL was achieved with a median Tmax of 47.74 h; the mean AUC0-168h was 4790 µg × h/mL. Maximal mean reductions from baseline in total IgG levels were reached approximately 24 days after the first dose (60.7%, IV formulation; 66.4%, SC formulation). Treatment-related adverse events (TRAEs) were reported in seven (58.3%) participants receiving SC efgartigimod, mostly injection-site reactions. No TRAEs or AEs of special interest were reported in the IV study.

Conclusions: The efgartigimod IV and SC pharmacokinetic, pharmacodynamic, and safety profiles in Chinese participants were similar to the known profiles in non-Chinese participants. Both formulations effectively reduced total IgG levels by a similar percentage.

Clinical trial registration: CTR20211952 and CTR20211805.

Abstract Image

Abstract Image

健康中国人静脉注射埃加替莫德和皮下注射埃加替莫德 PH20 的药代动力学、药效学和安全性。
背景:埃加替莫德是一种靶向新生儿Fc受体的人免疫球蛋白G(IgG)1衍生的Fc片段,已被开发成静脉注射和皮下注射制剂,用于治疗全身性肌无力(gMG)和其他自身免疫性疾病。虽然这两种制剂已在美国、欧盟、日本和中国获批用于治疗重症肌无力,但迄今为止尚未获得中国人群的数据:我们介绍了静脉注射和皮下注射 PH20 依加替莫德在中国健康人群中的药代动力学、药效学和安全性:在两项关于依夫加替莫德静脉注射和皮下注射制剂的独立、双盲、安慰剂对照I期研究中,健康的中国成年人以3:1的比例随机接受活性治疗或匹配的安慰剂,每7天1次,共4次。主要终点为药代动力学参数:第四次静脉注射后,1小时输注结束时的平均最大观察浓度(Cmax)为194微克/毫升;从零时到168小时的平均浓度-时间曲线下面积(AUC0-168h)为5300微克×小时/毫升。第四次 SC 注射后,平均 Cmax 为 42.1 µg/mL,中位 Tmax 为 47.74 h;平均 AUC0-168h 为 4790 µg × h/mL。在首次用药约 24 天后,总 IgG 水平与基线相比的平均降幅达到最大值(60.7%,静脉注射制剂;66.4%,皮下注射制剂)。7名(58.3%)接受依加替莫德(SC)治疗的参与者报告了治疗相关不良事件(TRAEs),主要是注射部位反应。静脉注射研究未报告TRAE或特别关注的AEs:结论:依非加替莫德静脉注射和皮下注射的药代动力学、药效学和安全性在中国参与者中的表现与在非中国参与者中的表现相似。两种制剂有效降低总 IgG 水平的百分比相似:临床试验注册:CTR20211952 和 CTR20211805。
本文章由计算机程序翻译,如有差异,请以英文原文为准。
求助全文
约1分钟内获得全文 求助全文
来源期刊
Drugs in Research & Development
Drugs in Research & Development Pharmacology, Toxicology and Pharmaceutics-Pharmacology
CiteScore
5.10
自引率
0.00%
发文量
31
审稿时长
8 weeks
期刊介绍: Drugs in R&D is an international, peer reviewed, open access, online only journal, and provides timely information from all phases of drug research and development that will inform clinical practice. Healthcare decision makers are thus provided with knowledge about the developing place of a drug in therapy. The Journal includes: Clinical research on new and established drugs; Preclinical research of direct relevance to clinical drug development; Short communications and case study reports that meet the above criteria will also be considered; Reviews may also be considered.
×
引用
GB/T 7714-2015
复制
MLA
复制
APA
复制
导出至
BibTeX EndNote RefMan NoteFirst NoteExpress
×
提示
您的信息不完整,为了账户安全,请先补充。
现在去补充
×
提示
您因"违规操作"
具体请查看互助需知
我知道了
×
提示
确定
请完成安全验证×
copy
已复制链接
快去分享给好友吧!
我知道了
右上角分享
点击右上角分享
0
联系我们:info@booksci.cn Book学术提供免费学术资源搜索服务,方便国内外学者检索中英文文献。致力于提供最便捷和优质的服务体验。 Copyright © 2023 布克学术 All rights reserved.
京ICP备2023020795号-1
ghs 京公网安备 11010802042870号
Book学术文献互助
Book学术文献互助群
群 号:604180095
Book学术官方微信