The application and interpretation of laboratory biomarkers for the evaluation of vitamin B12 status.

IF 1 4区 医学 Q3 MEDICAL LABORATORY TECHNOLOGY
Annals of Clinical Biochemistry Pub Date : 2025-01-01 Epub Date: 2024-10-27 DOI:10.1177/00045632241292432
Dominic J Harrington, Emma Stevenson, Agata Sobczyńska-Malefora
{"title":"The application and interpretation of laboratory biomarkers for the evaluation of vitamin B12 status.","authors":"Dominic J Harrington, Emma Stevenson, Agata Sobczyńska-Malefora","doi":"10.1177/00045632241292432","DOIUrl":null,"url":null,"abstract":"<p><p>Vitamin B<sub>12</sub> (cobalamin; B<sub>12</sub>) is an essential micronutrient, but deficiency is common. The prompt diagnosis and treatment of B<sub>12</sub> deficiency protects against megaloblastic anaemia, neuropathy and neuropsychiatric changes. Biomarkers of B<sub>12</sub> status include the measurement of serum B<sub>12</sub> (also known as total B<sub>12</sub> or serum cobalamin), holotranscobalamin (holoTC or 'active B12'), methylmalonic acid (MMA) and total plasma homocysteine (Hcy). There is no 'gold standard' test for deficiency and the sensitivity and specificity of each biomarker for the evaluation of B<sub>12</sub> status is affected by analytical and biological factors that may confer a high degree of diagnostic uncertainty. Limited access to technical and clinical expertise can lead to an over-reliance on the serum B<sub>12</sub> test, which is readily available and highly automated. In some cases, the sequential use of different B<sub>12</sub> status biomarkers or the calculation of a composite B<sub>12</sub> status score, derived from a panel of B<sub>12</sub> biomarkers and adjusted for folate status and age, can be used to detect deficient states that may otherwise be overlooked when using a single biomarker approach. This review summarizes the utility of B<sub>12</sub>-related biomarkers and describes approaches to their application and interpretation.</p>","PeriodicalId":8005,"journal":{"name":"Annals of Clinical Biochemistry","volume":" ","pages":"22-33"},"PeriodicalIF":1.0000,"publicationDate":"2025-01-01","publicationTypes":"Journal Article","fieldsOfStudy":null,"isOpenAccess":false,"openAccessPdf":"https://www.ncbi.nlm.nih.gov/pmc/articles/PMC11707970/pdf/","citationCount":"0","resultStr":null,"platform":"Semanticscholar","paperid":null,"PeriodicalName":"Annals of Clinical Biochemistry","FirstCategoryId":"3","ListUrlMain":"https://doi.org/10.1177/00045632241292432","RegionNum":4,"RegionCategory":"医学","ArticlePicture":[],"TitleCN":null,"AbstractTextCN":null,"PMCID":null,"EPubDate":"2024/10/27 0:00:00","PubModel":"Epub","JCR":"Q3","JCRName":"MEDICAL LABORATORY TECHNOLOGY","Score":null,"Total":0}
引用次数: 0

Abstract

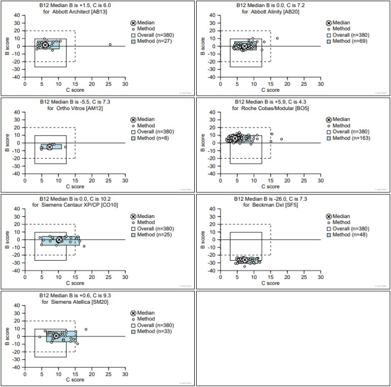
Vitamin B12 (cobalamin; B12) is an essential micronutrient, but deficiency is common. The prompt diagnosis and treatment of B12 deficiency protects against megaloblastic anaemia, neuropathy and neuropsychiatric changes. Biomarkers of B12 status include the measurement of serum B12 (also known as total B12 or serum cobalamin), holotranscobalamin (holoTC or 'active B12'), methylmalonic acid (MMA) and total plasma homocysteine (Hcy). There is no 'gold standard' test for deficiency and the sensitivity and specificity of each biomarker for the evaluation of B12 status is affected by analytical and biological factors that may confer a high degree of diagnostic uncertainty. Limited access to technical and clinical expertise can lead to an over-reliance on the serum B12 test, which is readily available and highly automated. In some cases, the sequential use of different B12 status biomarkers or the calculation of a composite B12 status score, derived from a panel of B12 biomarkers and adjusted for folate status and age, can be used to detect deficient states that may otherwise be overlooked when using a single biomarker approach. This review summarizes the utility of B12-related biomarkers and describes approaches to their application and interpretation.

Abstract Image

Abstract Image

Abstract Image

评估维生素 B12 状态的实验室生物标志物的应用和解释。
维生素 B12(钴胺素;B12)是人体必需的微量营养素,但缺乏症很常见。及时诊断和治疗 B12 缺乏症可防止巨幼红细胞性贫血、神经病变和神经精神病变。B12 状态的生物标志物包括血清 B12(又称总 B12 或血清钴胺素)、全反式钴胺素(holoTC 或 "活性 B12")、甲基丙二酸(MMA)和血浆总同型半胱氨酸(Hcy)的测定。目前还没有检测 B12 缺乏症的 "金标准",每种生物标志物对 B12 状态评估的敏感性和特异性都受到分析和生物因素的影响,这些因素可能会导致诊断的高度不确定性。由于获得技术和临床专业知识的机会有限,可能会导致过度依赖血清 B12 检测,因为这种检测方法很容易获得,而且自动化程度很高。在某些情况下,连续使用不同的 B12 状态生物标志物或计算综合 B12 状态评分(由一组 B12 生物标志物得出,并根据叶酸状态和年龄进行调整)可用于检测缺乏状态,否则在使用单一生物标志物方法时可能会被忽略。本综述总结了与 B12 相关的生物标志物的效用,并介绍了应用和解释这些生物标志物的方法。
本文章由计算机程序翻译,如有差异,请以英文原文为准。
求助全文
约1分钟内获得全文 求助全文
来源期刊
Annals of Clinical Biochemistry
Annals of Clinical Biochemistry Biochemistry, Genetics and Molecular Biology-Clinical Biochemistry
CiteScore
5.20
自引率
4.50%
发文量
61
期刊介绍: Annals of Clinical Biochemistry is the fully peer reviewed international journal of the Association for Clinical Biochemistry and Laboratory Medicine. Annals of Clinical Biochemistry accepts papers that contribute to knowledge in all fields of laboratory medicine, especially those pertaining to the understanding, diagnosis and treatment of human disease. It publishes papers on clinical biochemistry, clinical audit, metabolic medicine, immunology, genetics, biotechnology, haematology, microbiology, computing and management where they have both biochemical and clinical relevance. Papers describing evaluation or implementation of commercial reagent kits or the performance of new analysers require substantial original information. Unless of exceptional interest and novelty, studies dealing with the redox status in various diseases are not generally considered within the journal''s scope. Studies documenting the association of single nucleotide polymorphisms (SNPs) with particular phenotypes will not normally be considered, given the greater strength of genome wide association studies (GWAS). Research undertaken in non-human animals will not be considered for publication in the Annals. Annals of Clinical Biochemistry is also the official journal of NVKC (de Nederlandse Vereniging voor Klinische Chemie) and JSCC (Japan Society of Clinical Chemistry).
×
引用
GB/T 7714-2015
复制
MLA
复制
APA
复制
导出至
BibTeX EndNote RefMan NoteFirst NoteExpress
×
提示
您的信息不完整,为了账户安全,请先补充。
现在去补充
×
提示
您因"违规操作"
具体请查看互助需知
我知道了
×
提示
确定
请完成安全验证×
copy
已复制链接
快去分享给好友吧!
我知道了
右上角分享
点击右上角分享
0
联系我们:info@booksci.cn Book学术提供免费学术资源搜索服务,方便国内外学者检索中英文文献。致力于提供最便捷和优质的服务体验。 Copyright © 2023 布克学术 All rights reserved.
京ICP备2023020795号-1
ghs 京公网安备 11010802042870号
Book学术文献互助
Book学术文献互助群
群 号:604180095
Book学术官方微信