Self-control enhances vigilance performance in temporally irregular tasks: an fNIRS frontoparietal investigation.

IF 1.9 Q3 ERGONOMICS
Frontiers in neuroergonomics Pub Date : 2024-09-18 eCollection Date: 2024-01-01 DOI:10.3389/fnrgo.2024.1415089
Salim Adam Mouloua, William S Helton, Gerald Matthews, Tyler H Shaw
{"title":"Self-control enhances vigilance performance in temporally irregular tasks: an fNIRS frontoparietal investigation.","authors":"Salim Adam Mouloua, William S Helton, Gerald Matthews, Tyler H Shaw","doi":"10.3389/fnrgo.2024.1415089","DOIUrl":null,"url":null,"abstract":"<p><p>The present study investigated whether trait self-control impacted operators' behavior and associated neural resource strategies during a temporally irregular vigilance task. Functional near-infrared spectroscopy (fNIRS) readings of oxygenated hemoglobin (HbO2) and deoxygenated hemoglobin (HbR) from 29 participants were recorded fromthe prefrontal and parietal cortices. Self-control was associated with better perceptual sensitivity (A') in the task with the irregular event schedule. A left-lateralized effect of HbO2 was found for temporal irregularity within the dorsomedial prefrontal cortex, in accordance with functional transcranial doppler (fTCD) studies. Self-control increased HbR (decreasing activation) at right superior parietal lobule (rSPL; supporting vigilance utilization) and right inferior parietal lobule (rIPL; supporting resource reallocation). However, only rSPL was associated with the vigilance decrement-where decreases in activation led to better perceptual sensitivity in the temporally irregular task. Additionally, short stress-state measures suggest decreases in task engagement in individuals with higher self-control in the irregular task. The authors suggest a trait-state-brain-behavior relationship for self-control during difficult vigilance tasks. Implications for the study include steps toward rectifying the resource utilization vs. allocation debate in vigilance-as well as validating HbO2 and HbR as effective constructs for predicting operators' mental resources through fNIRS.</p>","PeriodicalId":517413,"journal":{"name":"Frontiers in neuroergonomics","volume":"5 ","pages":"1415089"},"PeriodicalIF":1.9000,"publicationDate":"2024-09-18","publicationTypes":"Journal Article","fieldsOfStudy":null,"isOpenAccess":false,"openAccessPdf":"https://www.ncbi.nlm.nih.gov/pmc/articles/PMC11447522/pdf/","citationCount":"0","resultStr":null,"platform":"Semanticscholar","paperid":null,"PeriodicalName":"Frontiers in neuroergonomics","FirstCategoryId":"1085","ListUrlMain":"https://doi.org/10.3389/fnrgo.2024.1415089","RegionNum":0,"RegionCategory":null,"ArticlePicture":[],"TitleCN":null,"AbstractTextCN":null,"PMCID":null,"EPubDate":"2024/1/1 0:00:00","PubModel":"eCollection","JCR":"Q3","JCRName":"ERGONOMICS","Score":null,"Total":0}
引用次数: 0

Abstract

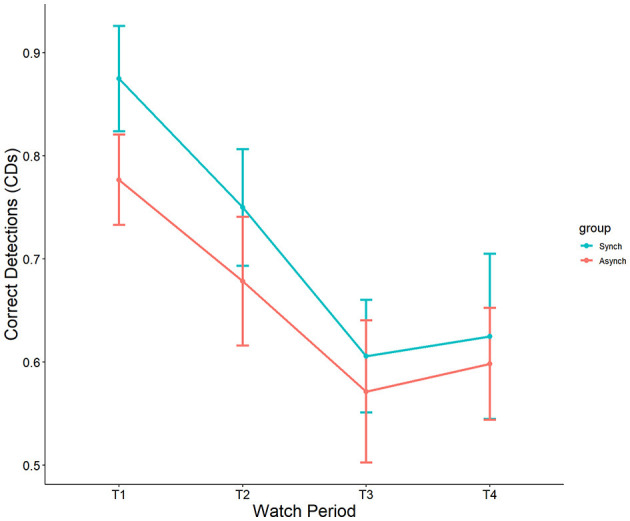
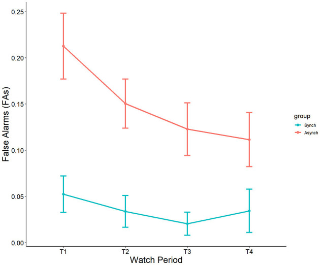
The present study investigated whether trait self-control impacted operators' behavior and associated neural resource strategies during a temporally irregular vigilance task. Functional near-infrared spectroscopy (fNIRS) readings of oxygenated hemoglobin (HbO2) and deoxygenated hemoglobin (HbR) from 29 participants were recorded fromthe prefrontal and parietal cortices. Self-control was associated with better perceptual sensitivity (A') in the task with the irregular event schedule. A left-lateralized effect of HbO2 was found for temporal irregularity within the dorsomedial prefrontal cortex, in accordance with functional transcranial doppler (fTCD) studies. Self-control increased HbR (decreasing activation) at right superior parietal lobule (rSPL; supporting vigilance utilization) and right inferior parietal lobule (rIPL; supporting resource reallocation). However, only rSPL was associated with the vigilance decrement-where decreases in activation led to better perceptual sensitivity in the temporally irregular task. Additionally, short stress-state measures suggest decreases in task engagement in individuals with higher self-control in the irregular task. The authors suggest a trait-state-brain-behavior relationship for self-control during difficult vigilance tasks. Implications for the study include steps toward rectifying the resource utilization vs. allocation debate in vigilance-as well as validating HbO2 and HbR as effective constructs for predicting operators' mental resources through fNIRS.

Abstract Image

Abstract Image

Abstract Image

自我控制能提高时间不规则任务中的警觉性表现:fNIRS 前顶叶调查。
本研究调查了特质自我控制是否会影响操作者在时间不规则警觉任务中的行为和相关神经资源策略。研究人员在前额叶和顶叶皮层记录了 29 名参与者的氧合血红蛋白(HbO2)和脱氧血红蛋白(HbR)的功能性近红外光谱(fNIRS)读数。在不规则事件时间表任务中,自我控制与更好的感知灵敏度(A')相关。与功能性经颅多普勒(fTCD)研究相一致,在背内侧前额叶皮层中发现了 HbO2 对时间不规则性的左侧效应。自我控制会增加右上顶叶(rSPL;支持警觉利用)和右下顶叶(rIPL;支持资源重新分配)的 HbR(降低激活)。然而,只有右上顶叶与警觉性下降有关--在时间不规则任务中,激活的减少会导致更好的感知灵敏度。此外,短期压力状态测量结果表明,在不规则任务中,自我控制能力较强的个体参与任务的程度会降低。作者认为,在困难的警觉任务中,自我控制与特质-状态-大脑-行为之间存在关系。该研究的意义包括:纠正警觉性中资源利用与分配的争论,以及验证 HbO2 和 HbR 是通过 fNIRS 预测操作者心理资源的有效结构。
本文章由计算机程序翻译,如有差异,请以英文原文为准。
求助全文
约1分钟内获得全文 求助全文
来源期刊
自引率
0.00%
发文量
0
×
引用
GB/T 7714-2015
复制
MLA
复制
APA
复制
导出至
BibTeX EndNote RefMan NoteFirst NoteExpress
×
提示
您的信息不完整,为了账户安全,请先补充。
现在去补充
×
提示
您因"违规操作"
具体请查看互助需知
我知道了
×
提示
确定
请完成安全验证×
copy
已复制链接
快去分享给好友吧!
我知道了
右上角分享
点击右上角分享
0
联系我们:info@booksci.cn Book学术提供免费学术资源搜索服务,方便国内外学者检索中英文文献。致力于提供最便捷和优质的服务体验。 Copyright © 2023 布克学术 All rights reserved.
京ICP备2023020795号-1
ghs 京公网安备 11010802042870号
Book学术文献互助
Book学术文献互助群
群 号:604180095
Book学术官方微信