The problem with two-event sequence learning by pigeons

IF 2.1 2区 生物学 Q3 BEHAVIORAL SCIENCES
Thomas R. Zentall, Daniel N. Peng
{"title":"The problem with two-event sequence learning by pigeons","authors":"Thomas R. Zentall,&nbsp;Daniel N. Peng","doi":"10.1007/s10071-024-01906-1","DOIUrl":null,"url":null,"abstract":"<div><p>Bonobos appear to show little evidence of learning to make one response (R1) to an AB sequence and a different response (R2) to sequences BB, AA, and BA (Lind et al. PLoS ONE 18(9):e0290546, 2023), yet under different conditions, pigeons can learn this (Weisman et al. Exp Psychol Anim Behav Process 6(4):312, 1980). Aspects of the bonobo procedure may have contributed to this failure. Most important, no response was required in the presence of the stimuli to encourage attention to them. Furthermore, learning to make one response to the target sequence and another to the other sequences involves a bias that allows for better than chance responding. With the two-alternative forced-choice procedure used with the bonobos, the R1 response is correct for one sequence, whereas the R2 response is correct for three sequences. To correct for this, there are three times as many AB trials as each of the other sequences. However, this correction allows a bias to develop in which reinforcement often can be obtained by using only the last stimulus seen as the basis of choice (e.g., when the last stimulus is B respond R1 when the last stimulus is A respond R2). This solution yields reinforcement on five out of six, or 83%, of the trials. In the present experiment with pigeons, using this two-alternative forced choice procedure, most subjects tended to base their choice on the last-seen stimulus. This design allowed subjects to use a suboptimal but relatively effective choice strategy.</p></div>","PeriodicalId":7879,"journal":{"name":"Animal Cognition","volume":"27 1","pages":""},"PeriodicalIF":2.1000,"publicationDate":"2024-10-03","publicationTypes":"Journal Article","fieldsOfStudy":null,"isOpenAccess":false,"openAccessPdf":"https://www.ncbi.nlm.nih.gov/pmc/articles/PMC11450055/pdf/","citationCount":"0","resultStr":null,"platform":"Semanticscholar","paperid":null,"PeriodicalName":"Animal Cognition","FirstCategoryId":"99","ListUrlMain":"https://link.springer.com/article/10.1007/s10071-024-01906-1","RegionNum":2,"RegionCategory":"生物学","ArticlePicture":[],"TitleCN":null,"AbstractTextCN":null,"PMCID":null,"EPubDate":"","PubModel":"","JCR":"Q3","JCRName":"BEHAVIORAL SCIENCES","Score":null,"Total":0}
引用次数: 0

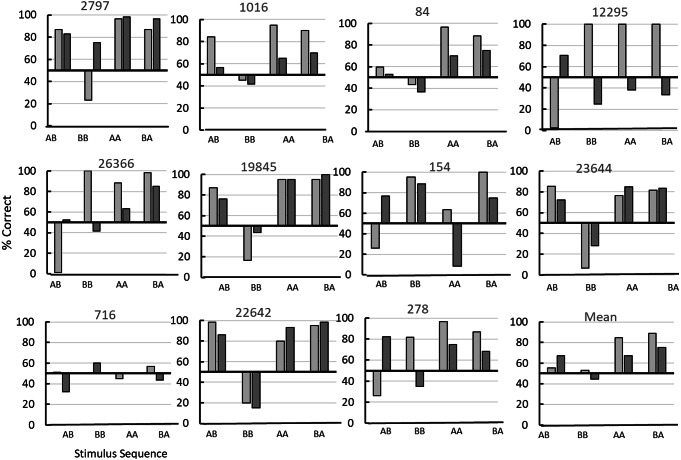
Abstract

Bonobos appear to show little evidence of learning to make one response (R1) to an AB sequence and a different response (R2) to sequences BB, AA, and BA (Lind et al. PLoS ONE 18(9):e0290546, 2023), yet under different conditions, pigeons can learn this (Weisman et al. Exp Psychol Anim Behav Process 6(4):312, 1980). Aspects of the bonobo procedure may have contributed to this failure. Most important, no response was required in the presence of the stimuli to encourage attention to them. Furthermore, learning to make one response to the target sequence and another to the other sequences involves a bias that allows for better than chance responding. With the two-alternative forced-choice procedure used with the bonobos, the R1 response is correct for one sequence, whereas the R2 response is correct for three sequences. To correct for this, there are three times as many AB trials as each of the other sequences. However, this correction allows a bias to develop in which reinforcement often can be obtained by using only the last stimulus seen as the basis of choice (e.g., when the last stimulus is B respond R1 when the last stimulus is A respond R2). This solution yields reinforcement on five out of six, or 83%, of the trials. In the present experiment with pigeons, using this two-alternative forced choice procedure, most subjects tended to base their choice on the last-seen stimulus. This design allowed subjects to use a suboptimal but relatively effective choice strategy.

Abstract Image

Abstract Image

Abstract Image

鸽子的双事件序列学习问题。
倭黑猩猩似乎很少有证据表明它们学会了对 AB 序列做出一个反应(R1),而对 BB、AA 和 BA 序列做出不同的反应(R2)(Lind 等人,PLoS ONE 18(9):e0290546,2023 年),但在不同条件下,鸽子也能学会这一点(Weisman 等人,Exp Psychol Anim Behav Process 6(4):312,1980 年)。倭黑猩猩程序的某些方面可能导致了这一失败。最重要的是,在刺激物存在的情况下,倭黑猩猩不需要做出任何反应来鼓励对刺激物的注意。此外,学习对目标序列做出一种反应,而对其他序列做出另一种反应涉及到一种偏差,这种偏差允许比偶然反应更好的反应。在倭黑猩猩使用的双项强迫选择程序中,R1 反应对一个序列是正确的,而 R2 反应对三个序列是正确的。为了纠正这一点,AB 试验的次数是其他序列的三倍。但是,这种纠正会产生一种偏差,即通常只使用最后一个刺激作为选择基础就能获得强化(例如,当最后一个刺激是 B 时,做出 R1 反应;当最后一个刺激是 A 时,做出 R2 反应)。这种方法可以在六次试验中的五次,即 83% 的试验中获得强化。在目前的鸽子实验中,使用这种双备选强迫选择程序时,大多数被试倾向于根据最后看到的刺激做出选择。这种设计允许被试使用一种次优但相对有效的选择策略。
本文章由计算机程序翻译,如有差异,请以英文原文为准。
求助全文
约1分钟内获得全文 求助全文
来源期刊
Animal Cognition
Animal Cognition 生物-动物学
CiteScore
4.50
自引率
18.50%
发文量
125
审稿时长
4-8 weeks
期刊介绍: Animal Cognition is an interdisciplinary journal offering current research from many disciplines (ethology, behavioral ecology, animal behavior and learning, cognitive sciences, comparative psychology and evolutionary psychology) on all aspects of animal (and human) cognition in an evolutionary framework. Animal Cognition publishes original empirical and theoretical work, reviews, methods papers, short communications and correspondence on the mechanisms and evolution of biologically rooted cognitive-intellectual structures. The journal explores animal time perception and use; causality detection; innate reaction patterns and innate bases of learning; numerical competence and frequency expectancies; symbol use; communication; problem solving, animal thinking and use of tools, and the modularity of the mind.
×
引用
GB/T 7714-2015
复制
MLA
复制
APA
复制
导出至
BibTeX EndNote RefMan NoteFirst NoteExpress
×
提示
您的信息不完整,为了账户安全,请先补充。
现在去补充
×
提示
您因"违规操作"
具体请查看互助需知
我知道了
×
提示
确定
请完成安全验证×
copy
已复制链接
快去分享给好友吧!
我知道了
右上角分享
点击右上角分享
0
联系我们:info@booksci.cn Book学术提供免费学术资源搜索服务,方便国内外学者检索中英文文献。致力于提供最便捷和优质的服务体验。 Copyright © 2023 布克学术 All rights reserved.
京ICP备2023020795号-1
ghs 京公网安备 11010802042870号
Book学术文献互助
Book学术文献互助群
群 号:604180095
Book学术官方微信