Lattice symmetry relaxation as a cause for anisotropic line broadening and peak shift in powder diffraction.

IF 1.8 4区 材料科学 Q3 CHEMISTRY, MULTIDISCIPLINARY
Miguel Gregorkiewitz, Alice Boschetti
{"title":"Lattice symmetry relaxation as a cause for anisotropic line broadening and peak shift in powder diffraction.","authors":"Miguel Gregorkiewitz, Alice Boschetti","doi":"10.1107/S2053273324008799","DOIUrl":null,"url":null,"abstract":"<p><p>In powder diffraction, lattice symmetry relaxation causes a peak to split into several components which are not resolved if the degree of desymmetrization is small (pseudosymmetry). Here the equations which rule peak splitting are elaborated for the six minimal symmetry transitions, showing that the resulting split peaks are generally broader and asymmetric, and suffer an hkl-dependent displacement with respect to the high-symmetry parent peak. These results will be of help in Rietveld refinement of pseudosymmetric structures where an exact interpretation of peak deformation is required.</p>","PeriodicalId":106,"journal":{"name":"Acta Crystallographica Section A: Foundations and Advances","volume":" ","pages":"439-445"},"PeriodicalIF":1.8000,"publicationDate":"2024-11-01","publicationTypes":"Journal Article","fieldsOfStudy":null,"isOpenAccess":false,"openAccessPdf":"https://www.ncbi.nlm.nih.gov/pmc/articles/PMC11532927/pdf/","citationCount":"0","resultStr":null,"platform":"Semanticscholar","paperid":null,"PeriodicalName":"Acta Crystallographica Section A: Foundations and Advances","FirstCategoryId":"1","ListUrlMain":"https://doi.org/10.1107/S2053273324008799","RegionNum":4,"RegionCategory":"材料科学","ArticlePicture":[],"TitleCN":null,"AbstractTextCN":null,"PMCID":null,"EPubDate":"2024/10/3 0:00:00","PubModel":"Epub","JCR":"Q3","JCRName":"CHEMISTRY, MULTIDISCIPLINARY","Score":null,"Total":0}
引用次数: 0

Abstract

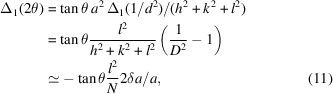
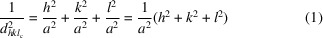
In powder diffraction, lattice symmetry relaxation causes a peak to split into several components which are not resolved if the degree of desymmetrization is small (pseudosymmetry). Here the equations which rule peak splitting are elaborated for the six minimal symmetry transitions, showing that the resulting split peaks are generally broader and asymmetric, and suffer an hkl-dependent displacement with respect to the high-symmetry parent peak. These results will be of help in Rietveld refinement of pseudosymmetric structures where an exact interpretation of peak deformation is required.

Abstract Image

Abstract Image

Abstract Image

晶格对称性松弛是粉末衍射中各向异性线变宽和峰值移动的原因。
在粉末衍射中,晶格对称性松弛会导致峰值分裂成几个部分,如果非对称程度很小(假对称性),这些部分就无法分辨。这里详细阐述了六种最小对称性转变的峰分裂规则方程,表明由此产生的分裂峰通常更宽且不对称,并相对于高对称性母峰发生 hkl 依赖性位移。这些结果将有助于假对称结构的里特维尔德细化,因为在这种细化中需要对峰值变形进行精确解释。
本文章由计算机程序翻译,如有差异,请以英文原文为准。
求助全文
约1分钟内获得全文 求助全文
来源期刊
Acta Crystallographica Section A: Foundations and Advances
Acta Crystallographica Section A: Foundations and Advances CHEMISTRY, MULTIDISCIPLINARYCRYSTALLOGRAPH-CRYSTALLOGRAPHY
CiteScore
2.60
自引率
11.10%
发文量
419
期刊介绍: Acta Crystallographica Section A: Foundations and Advances publishes articles reporting advances in the theory and practice of all areas of crystallography in the broadest sense. As well as traditional crystallography, this includes nanocrystals, metacrystals, amorphous materials, quasicrystals, synchrotron and XFEL studies, coherent scattering, diffraction imaging, time-resolved studies and the structure of strain and defects in materials. The journal has two parts, a rapid-publication Advances section and the traditional Foundations section. Articles for the Advances section are of particularly high value and impact. They receive expedited treatment and may be highlighted by an accompanying scientific commentary article and a press release. Further details are given in the November 2013 Editorial. The central themes of the journal are, on the one hand, experimental and theoretical studies of the properties and arrangements of atoms, ions and molecules in condensed matter, periodic, quasiperiodic or amorphous, ideal or real, and, on the other, the theoretical and experimental aspects of the various methods to determine these properties and arrangements.
×
引用
GB/T 7714-2015
复制
MLA
复制
APA
复制
导出至
BibTeX EndNote RefMan NoteFirst NoteExpress
×
提示
您的信息不完整,为了账户安全,请先补充。
现在去补充
×
提示
您因"违规操作"
具体请查看互助需知
我知道了
×
提示
确定
请完成安全验证×
copy
已复制链接
快去分享给好友吧!
我知道了
右上角分享
点击右上角分享
0
联系我们:info@booksci.cn Book学术提供免费学术资源搜索服务,方便国内外学者检索中英文文献。致力于提供最便捷和优质的服务体验。 Copyright © 2023 布克学术 All rights reserved.
京ICP备2023020795号-1
ghs 京公网安备 11010802042870号
Book学术文献互助
Book学术文献互助群
群 号:604180095
Book学术官方微信