A new method for quantifying glyoxalase II activity in biological samples.

IF 1.3 Q3 BIOCHEMICAL RESEARCH METHODS
Biology Methods and Protocols Pub Date : 2024-09-18 eCollection Date: 2024-01-01 DOI:10.1093/biomethods/bpae069
Mohammed Alaa Kadhum, Mahmoud Hussein Hadwan
{"title":"A new method for quantifying glyoxalase II activity in biological samples.","authors":"Mohammed Alaa Kadhum, Mahmoud Hussein Hadwan","doi":"10.1093/biomethods/bpae069","DOIUrl":null,"url":null,"abstract":"<p><p>Glyoxalase II (Glo II) is a crucial enzyme in the glyoxalase system, and plays a vital role in detoxifying harmful metabolites and maintaining cellular redox balance. Dysregulation of Glo II has been linked to various health conditions, including cancer and diabetes. This study introduces a novel method using 2,4-dinitrophenylhydrazine (2,4-DNPH) to measure Glo II activity. The principle behind this approach is the formation of a colored hydrazone complex between 2,4-DNPH and pyruvate produced by the Glo II-catalyzed reaction. Glo II catalyzes the hydrolysis of S-D-lactoylglutathione (SLG), generating D-lactate and reduced glutathione (GSH). The D-lactate is then converted to pyruvate by lactate dehydrogenase, then reacting with 2,4-DNPH to form a brown-colored hydrazone product. The absorbance of this complex, measured at 430 nm, allows for the quantification of Glo II activity. The study rigorously validates the 2,4-DNPH method, demonstrating its stability, sensitivity, linearity, and resistance to interference from various biochemical substances. Compared to the existing UV method, this 2,4-DNPH-Glo II assay shows a strong correlation. The new protocol for measuring Glo II activity using 2,4-DNPH is simple, cost-effective, and accurate, making it a valuable tool for researchers and medical professionals. Its potential for widespread use in various laboratory settings, from academic research to clinical diagnostics, offers significant opportunities for future research and medical applications.</p>","PeriodicalId":36528,"journal":{"name":"Biology Methods and Protocols","volume":"9 1","pages":"bpae069"},"PeriodicalIF":1.3000,"publicationDate":"2024-09-18","publicationTypes":"Journal Article","fieldsOfStudy":null,"isOpenAccess":false,"openAccessPdf":"https://www.ncbi.nlm.nih.gov/pmc/articles/PMC11441573/pdf/","citationCount":"0","resultStr":null,"platform":"Semanticscholar","paperid":null,"PeriodicalName":"Biology Methods and Protocols","FirstCategoryId":"1085","ListUrlMain":"https://doi.org/10.1093/biomethods/bpae069","RegionNum":0,"RegionCategory":null,"ArticlePicture":[],"TitleCN":null,"AbstractTextCN":null,"PMCID":null,"EPubDate":"2024/1/1 0:00:00","PubModel":"eCollection","JCR":"Q3","JCRName":"BIOCHEMICAL RESEARCH METHODS","Score":null,"Total":0}
引用次数: 0

Abstract

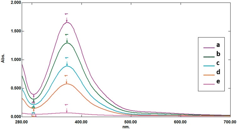
Glyoxalase II (Glo II) is a crucial enzyme in the glyoxalase system, and plays a vital role in detoxifying harmful metabolites and maintaining cellular redox balance. Dysregulation of Glo II has been linked to various health conditions, including cancer and diabetes. This study introduces a novel method using 2,4-dinitrophenylhydrazine (2,4-DNPH) to measure Glo II activity. The principle behind this approach is the formation of a colored hydrazone complex between 2,4-DNPH and pyruvate produced by the Glo II-catalyzed reaction. Glo II catalyzes the hydrolysis of S-D-lactoylglutathione (SLG), generating D-lactate and reduced glutathione (GSH). The D-lactate is then converted to pyruvate by lactate dehydrogenase, then reacting with 2,4-DNPH to form a brown-colored hydrazone product. The absorbance of this complex, measured at 430 nm, allows for the quantification of Glo II activity. The study rigorously validates the 2,4-DNPH method, demonstrating its stability, sensitivity, linearity, and resistance to interference from various biochemical substances. Compared to the existing UV method, this 2,4-DNPH-Glo II assay shows a strong correlation. The new protocol for measuring Glo II activity using 2,4-DNPH is simple, cost-effective, and accurate, making it a valuable tool for researchers and medical professionals. Its potential for widespread use in various laboratory settings, from academic research to clinical diagnostics, offers significant opportunities for future research and medical applications.

Abstract Image

Abstract Image

Abstract Image

量化生物样本中乙醛缩合酶 II 活性的新方法。
糖醛酸酶 II(Glo II)是糖醛酸酶系统中的一种重要酶,在解毒有害代谢物和维持细胞氧化还原平衡方面发挥着重要作用。Glo II 的失调与癌症和糖尿病等多种健康状况有关。本研究介绍了一种使用 2,4-二硝基苯肼(2,4-DNPH)测量 Glo II 活性的新方法。这种方法的原理是通过 Glo II 催化反应,在 2,4-DNPH 和丙酮酸之间形成有色腙复合物。Glo II 催化 S-D 乳酰谷胱甘肽(SLG)水解,生成 D-乳酸和还原型谷胱甘肽(GSH)。然后,D-乳酸通过乳酸脱氢酶转化为丙酮酸,再与 2,4-DNPH 反应生成棕色的腙产物。这种复合物的吸光度在 430 纳米波长处测量,可对 Glo II 活性进行量化。这项研究严格验证了 2,4-DNPH 方法,证明了它的稳定性、灵敏度、线性和抗各种生化物质干扰的能力。与现有的紫外法相比,这种 2,4-DNPH-Glo II 检测方法显示出很强的相关性。使用 2,4-DNPH 测量 Glo II 活性的新方案简单、经济、准确,是研究人员和医疗专业人员的重要工具。它可广泛应用于从学术研究到临床诊断的各种实验室环境中,为未来的研究和医疗应用提供了重要机会。
本文章由计算机程序翻译,如有差异,请以英文原文为准。
求助全文
约1分钟内获得全文 求助全文
来源期刊
Biology Methods and Protocols
Biology Methods and Protocols Agricultural and Biological Sciences-Agricultural and Biological Sciences (all)
CiteScore
3.80
自引率
2.80%
发文量
28
审稿时长
19 weeks
×
引用
GB/T 7714-2015
复制
MLA
复制
APA
复制
导出至
BibTeX EndNote RefMan NoteFirst NoteExpress
×
提示
您的信息不完整,为了账户安全,请先补充。
现在去补充
×
提示
您因"违规操作"
具体请查看互助需知
我知道了
×
提示
确定
请完成安全验证×
copy
已复制链接
快去分享给好友吧!
我知道了
右上角分享
点击右上角分享
0
联系我们:info@booksci.cn Book学术提供免费学术资源搜索服务,方便国内外学者检索中英文文献。致力于提供最便捷和优质的服务体验。 Copyright © 2023 布克学术 All rights reserved.
京ICP备2023020795号-1
ghs 京公网安备 11010802042870号
Book学术文献互助
Book学术文献互助群
群 号:604180095
Book学术官方微信