Carbonated Beverage, Fruit Drink, and Water Consumption and Risk of Acute Stroke: the INTERSTROKE Case-Control Study.

IF 8.6 1区 医学 Q1 CLINICAL NEUROLOGY
Journal of Stroke Pub Date : 2024-09-01 Epub Date: 2024-09-27 DOI:10.5853/jos.2024.01543
Andrew Smyth, Graeme J Hankey, Albertino Damasceno, Helle Klingenberg Iversen, Shahram Oveisgharan, Fawaz Alhussain, Peter Langhorne, Dennis Xavier, Patricio Lopez Jaramillo, Aytekin Oguz, Clodagh McDermott, Anna Czlonkowska, Fernando Lanas, Danuta Ryglewicz, Catriona Reddin, Xingyu Wang, Annika Rosengren, Salim Yusuf, Martin O'Donnell
{"title":"Carbonated Beverage, Fruit Drink, and Water Consumption and Risk of Acute Stroke: the INTERSTROKE Case-Control Study.","authors":"Andrew Smyth, Graeme J Hankey, Albertino Damasceno, Helle Klingenberg Iversen, Shahram Oveisgharan, Fawaz Alhussain, Peter Langhorne, Dennis Xavier, Patricio Lopez Jaramillo, Aytekin Oguz, Clodagh McDermott, Anna Czlonkowska, Fernando Lanas, Danuta Ryglewicz, Catriona Reddin, Xingyu Wang, Annika Rosengren, Salim Yusuf, Martin O'Donnell","doi":"10.5853/jos.2024.01543","DOIUrl":null,"url":null,"abstract":"<p><strong>Background and purpose: </strong>Cold beverage intake (carbonated drinks, fruit juice/drinks, and water) may be important population-level exposures relevant to stroke risk and prevention. We sought to explore the association between intake of these beverages and stroke.</p><p><strong>Methods: </strong>INTERSTROKE is an international matched case-control study of first stroke. Participants reported beverage intake using food frequency questionnaires or were asked \"How many cups do you drink each day of water?\" Multivariable conditional logistic regression estimated odds ratios (OR) and 95% confidence intervals (CI) for associations with stroke.</p><p><strong>Results: </strong>We include 13,462 cases and 13,488 controls; mean age was 61.7±13.4 years and 59.6% (n=16,010) were male. After multivariable adjustment, carbonated beverages were linearly associated with ischemic stroke (OR 2.39 [95% CI 1.64-3.49]); only consumption once/day was associated with intracerebral hemorrhage (ICH) (OR 1.58 [95% CI 1.23-2.03]). There was no association between fruit juice/drinks and ischemic stroke, but increased odds of ICH for once/day (OR 1.37 [95% CI 1.08-1.75)] or twice/day (OR 3.18 [95% CI 1.69-5.97]). High water intake (>7 cups/day) was associated ischemic stroke (OR 0.82 [95% CI 0.68-0.99]) but not ICH. Associations differed by Eugeographical region-increased odds for carbonated beverages in some regions only; opposing directions of association of fruit juices/drinks with stroke in selected regions.</p><p><strong>Conclusion: </strong>Carbonated beverages were associated with increased odds of ischemic stroke and ICH, fruit juice/drinks were associated with increased odds of ICH, and high water consumption was associated with reduced odds of ischemic stroke, with important regional differences. Our findings suggest optimizing water intake, minimizing fruit juice/drinks, and avoiding carbonated beverages.</p>","PeriodicalId":17135,"journal":{"name":"Journal of Stroke","volume":" ","pages":"391-402"},"PeriodicalIF":8.6000,"publicationDate":"2024-09-01","publicationTypes":"Journal Article","fieldsOfStudy":null,"isOpenAccess":false,"openAccessPdf":"https://www.ncbi.nlm.nih.gov/pmc/articles/PMC11471353/pdf/","citationCount":"0","resultStr":null,"platform":"Semanticscholar","paperid":null,"PeriodicalName":"Journal of Stroke","FirstCategoryId":"3","ListUrlMain":"https://doi.org/10.5853/jos.2024.01543","RegionNum":1,"RegionCategory":"医学","ArticlePicture":[],"TitleCN":null,"AbstractTextCN":null,"PMCID":null,"EPubDate":"2024/9/27 0:00:00","PubModel":"Epub","JCR":"Q1","JCRName":"CLINICAL NEUROLOGY","Score":null,"Total":0}
引用次数: 0

Abstract

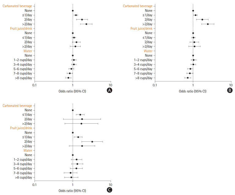
Background and purpose: Cold beverage intake (carbonated drinks, fruit juice/drinks, and water) may be important population-level exposures relevant to stroke risk and prevention. We sought to explore the association between intake of these beverages and stroke.

Methods: INTERSTROKE is an international matched case-control study of first stroke. Participants reported beverage intake using food frequency questionnaires or were asked "How many cups do you drink each day of water?" Multivariable conditional logistic regression estimated odds ratios (OR) and 95% confidence intervals (CI) for associations with stroke.

Results: We include 13,462 cases and 13,488 controls; mean age was 61.7±13.4 years and 59.6% (n=16,010) were male. After multivariable adjustment, carbonated beverages were linearly associated with ischemic stroke (OR 2.39 [95% CI 1.64-3.49]); only consumption once/day was associated with intracerebral hemorrhage (ICH) (OR 1.58 [95% CI 1.23-2.03]). There was no association between fruit juice/drinks and ischemic stroke, but increased odds of ICH for once/day (OR 1.37 [95% CI 1.08-1.75)] or twice/day (OR 3.18 [95% CI 1.69-5.97]). High water intake (>7 cups/day) was associated ischemic stroke (OR 0.82 [95% CI 0.68-0.99]) but not ICH. Associations differed by Eugeographical region-increased odds for carbonated beverages in some regions only; opposing directions of association of fruit juices/drinks with stroke in selected regions.

Conclusion: Carbonated beverages were associated with increased odds of ischemic stroke and ICH, fruit juice/drinks were associated with increased odds of ICH, and high water consumption was associated with reduced odds of ischemic stroke, with important regional differences. Our findings suggest optimizing water intake, minimizing fruit juice/drinks, and avoiding carbonated beverages.

Abstract Image

Abstract Image

碳酸饮料、水果饮料和水的饮用量与急性中风风险:INTERSTROKE 病例对照研究。
背景和目的:冷饮(碳酸饮料、果汁/饮料和水)摄入量可能是与中风风险和预防相关的重要人群暴露。我们试图探讨这些饮料的摄入量与中风之间的关系:INTERSTROKE 是一项针对首次中风的国际匹配病例对照研究。参与者通过食物频率问卷报告饮料摄入量,或被问及 "您每天喝多少杯水?多变量条件逻辑回归估算了与中风相关的几率比(OR)和 95% 置信区间(CI):我们纳入了 13,462 例病例和 13,488 例对照;平均年龄为 61.7±13.4 岁,59.6%(n=16,010)为男性。经多变量调整后,碳酸饮料与缺血性中风呈线性相关(OR 2.39 [95% CI 1.64-3.49]);只有每天饮用一次碳酸饮料与脑内出血(ICH)相关(OR 1.58 [95% CI 1.23-2.03])。果汁/饮料与缺血性中风之间没有关联,但饮用一次/天(OR 1.37 [95% CI 1.08-1.75])或两次/天(OR 3.18 [95% CI 1.69-5.97])会增加发生 ICH 的几率。高水摄入量(>7 杯/天)与缺血性中风(OR 0.82 [95% CI 0.68-0.99])相关,但与 ICH 无关。相关性因地理区域而异--仅在某些区域碳酸饮料的几率增加;在选定区域,果汁/饮料与中风的相关性方向相反。结论 碳酸饮料与缺血性中风和 ICH 的几率增加有关,果汁/饮料与 ICH 的几率增加有关,而大量饮水与缺血性中风的几率降低有关,但存在重要的地区差异。我们的研究结果建议优化水的摄入量,尽量少喝果汁/饮料,避免饮用碳酸饮料。
本文章由计算机程序翻译,如有差异,请以英文原文为准。
求助全文
约1分钟内获得全文 求助全文
来源期刊
Journal of Stroke
Journal of Stroke CLINICAL NEUROLOGYPERIPHERAL VASCULAR DISE-PERIPHERAL VASCULAR DISEASE
CiteScore
11.00
自引率
3.70%
发文量
52
审稿时长
12 weeks
期刊介绍: The Journal of Stroke (JoS) is a peer-reviewed publication that focuses on clinical and basic investigation of cerebral circulation and associated diseases in stroke-related fields. Its aim is to enhance patient management, education, clinical or experimental research, and professionalism. The journal covers various areas of stroke research, including pathophysiology, risk factors, symptomatology, imaging, treatment, and rehabilitation. Basic science research is included when it provides clinically relevant information. The JoS is particularly interested in studies that highlight characteristics of stroke in the Asian population, as they are underrepresented in the literature. The JoS had an impact factor of 8.2 in 2022 and aims to provide high-quality research papers to readers while maintaining a strong reputation. It is published three times a year, on the last day of January, May, and September. The online version of the journal is considered the main version as it includes all available content. Supplementary issues are occasionally published. The journal is indexed in various databases, including SCI(E), Pubmed, PubMed Central, Scopus, KoreaMed, Komci, Synapse, Science Central, Google Scholar, and DOI/Crossref. It is also the official journal of the Korean Stroke Society since 1999, with the abbreviated title J Stroke.
×
引用
GB/T 7714-2015
复制
MLA
复制
APA
复制
导出至
BibTeX EndNote RefMan NoteFirst NoteExpress
×
提示
您的信息不完整,为了账户安全,请先补充。
现在去补充
×
提示
您因"违规操作"
具体请查看互助需知
我知道了
×
提示
确定
请完成安全验证×
copy
已复制链接
快去分享给好友吧!
我知道了
右上角分享
点击右上角分享
0
联系我们:info@booksci.cn Book学术提供免费学术资源搜索服务,方便国内外学者检索中英文文献。致力于提供最便捷和优质的服务体验。 Copyright © 2023 布克学术 All rights reserved.
京ICP备2023020795号-1
ghs 京公网安备 11010802042870号
Book学术文献互助
Book学术文献互助群
群 号:604180095
Book学术官方微信