Predictors of achieving a minimal clinically important difference in lower urinary tract symptoms 3 months after Rezum therapy.

IF 1.9 Q3 UROLOGY & NEPHROLOGY
Central European Journal of Urology Pub Date : 2024-01-01 Epub Date: 2024-02-11 DOI:10.5173/ceju.2023.256
Mustufa Babar, Max Abramson, Kevin Labagnara, Justin Loloi, Hasan Jamil, Rahman Sayed, Kevin Tang, Matthew Ines, Sandeep Singh, Nazifa Iqbal, Michael Ciatto
{"title":"Predictors of achieving a minimal clinically important difference in lower urinary tract symptoms 3 months after Rezum therapy.","authors":"Mustufa Babar, Max Abramson, Kevin Labagnara, Justin Loloi, Hasan Jamil, Rahman Sayed, Kevin Tang, Matthew Ines, Sandeep Singh, Nazifa Iqbal, Michael Ciatto","doi":"10.5173/ceju.2023.256","DOIUrl":null,"url":null,"abstract":"<p><strong>Introduction: </strong>Gaining insight into patient characteristics to predict the success of procedures is crucial for improving outcomes and for preoperative counselling. We identified predictors of achieving a minimal clinically important difference (MCID) in lower urinary tract symptoms (LUTS) 3 months after Rezūm.</p><p><strong>Material and methods: </strong>A retrospective study was conducted on patients treated with Rezūm. Patients with moderate or severe LUTS and a recorded International Prostate Symptom Score (IPSS) at 3 months were included and categorised into 2 cohorts based on experiencing a MCID at 3 months (≥ 25% improvement in IPSS). Predictors were identified through multivariate logistic regression analysis.</p><p><strong>Results: </strong>Out of 174 patients, 134 (77%) achieved a MCID at 3 months, and those who did had a higher median baseline IPSS (20 [16-26] vs 15 [10-21], P <0.001) and were more likely to have severe LUTS at baseline (53.0% vs 35.0%, P = 0.046) when compared to those who did not experience a MCID at 3 months. Higher baseline IPSS (OR: 1.10, 95% CI 1.04-1.17) and larger baseline prostate volumes (OR: 1.03, 95% CI 1.0-1.05) were predictors of achieving a MCID at 3 months. More specifically, a significantly greater proportion of patients with severe LUTS (83.5 vs 70.8%, P = 0.046) and prostate volume ≥60 cc (94.6 vs 71.4%, P = 0.003) achieved MCID at 3 months when compared to patients with moderate LUTS and prostate volumes <60 cc, respectively.</p><p><strong>Conclusions: </strong>More than three-quarters of patients treated with Rezūm achieved a MCID at 3 months. Patients with severe LUTS and prostate volumes ≥ 60 cc may be optimal candidates for experiencing early relief in LUTS following Rezūm.</p>","PeriodicalId":9744,"journal":{"name":"Central European Journal of Urology","volume":"77 2","pages":"262-272"},"PeriodicalIF":1.9000,"publicationDate":"2024-01-01","publicationTypes":"Journal Article","fieldsOfStudy":null,"isOpenAccess":false,"openAccessPdf":"https://www.ncbi.nlm.nih.gov/pmc/articles/PMC11428353/pdf/","citationCount":"0","resultStr":null,"platform":"Semanticscholar","paperid":null,"PeriodicalName":"Central European Journal of Urology","FirstCategoryId":"1085","ListUrlMain":"https://doi.org/10.5173/ceju.2023.256","RegionNum":0,"RegionCategory":null,"ArticlePicture":[],"TitleCN":null,"AbstractTextCN":null,"PMCID":null,"EPubDate":"2024/2/11 0:00:00","PubModel":"Epub","JCR":"Q3","JCRName":"UROLOGY & NEPHROLOGY","Score":null,"Total":0}
引用次数: 0

Abstract

Introduction: Gaining insight into patient characteristics to predict the success of procedures is crucial for improving outcomes and for preoperative counselling. We identified predictors of achieving a minimal clinically important difference (MCID) in lower urinary tract symptoms (LUTS) 3 months after Rezūm.

Material and methods: A retrospective study was conducted on patients treated with Rezūm. Patients with moderate or severe LUTS and a recorded International Prostate Symptom Score (IPSS) at 3 months were included and categorised into 2 cohorts based on experiencing a MCID at 3 months (≥ 25% improvement in IPSS). Predictors were identified through multivariate logistic regression analysis.

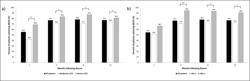
Results: Out of 174 patients, 134 (77%) achieved a MCID at 3 months, and those who did had a higher median baseline IPSS (20 [16-26] vs 15 [10-21], P <0.001) and were more likely to have severe LUTS at baseline (53.0% vs 35.0%, P = 0.046) when compared to those who did not experience a MCID at 3 months. Higher baseline IPSS (OR: 1.10, 95% CI 1.04-1.17) and larger baseline prostate volumes (OR: 1.03, 95% CI 1.0-1.05) were predictors of achieving a MCID at 3 months. More specifically, a significantly greater proportion of patients with severe LUTS (83.5 vs 70.8%, P = 0.046) and prostate volume ≥60 cc (94.6 vs 71.4%, P = 0.003) achieved MCID at 3 months when compared to patients with moderate LUTS and prostate volumes <60 cc, respectively.

Conclusions: More than three-quarters of patients treated with Rezūm achieved a MCID at 3 months. Patients with severe LUTS and prostate volumes ≥ 60 cc may be optimal candidates for experiencing early relief in LUTS following Rezūm.

Abstract Image

雷珠治疗 3 个月后下尿路症状达到最小临床意义差异的预测因素。
介绍:深入了解患者特征以预测手术成功与否,对于改善疗效和术前咨询至关重要。我们确定了 Rezūm 术后 3 个月下尿路症状(LUTS)达到最小临床重要差异(MCID)的预测因素:对接受 Rezūm 治疗的患者进行了一项回顾性研究。研究纳入了中度或重度LUTS患者,并记录了患者3个月时的国际前列腺症状评分(IPSS),根据患者3个月时的MCID(IPSS改善≥25%)将其分为两组。通过多变量逻辑回归分析确定了预测因素:在 174 名患者中,134 人(77%)在 3 个月时达到 MCID,达到 MCID 的患者基线 IPSS 中位数较高(20 [16-26] vs 15 [10-21],P 结论:四分之三的患者在 3 个月时达到 MCID:超过四分之三接受雷珠治疗的患者在 3 个月后达到 MCID。尿失禁症状严重且前列腺体积≥ 60 毫升的患者可能是接受 Rezūm 治疗后早期缓解尿失禁症状的最佳人选。
本文章由计算机程序翻译,如有差异,请以英文原文为准。
求助全文
约1分钟内获得全文 求助全文
来源期刊
Central European Journal of Urology
Central European Journal of Urology UROLOGY & NEPHROLOGY-
CiteScore
2.30
自引率
8.30%
发文量
48
×
引用
GB/T 7714-2015
复制
MLA
复制
APA
复制
导出至
BibTeX EndNote RefMan NoteFirst NoteExpress
×
提示
您的信息不完整,为了账户安全,请先补充。
现在去补充
×
提示
您因"违规操作"
具体请查看互助需知
我知道了
×
提示
确定
请完成安全验证×
copy
已复制链接
快去分享给好友吧!
我知道了
右上角分享
点击右上角分享
0
联系我们:info@booksci.cn Book学术提供免费学术资源搜索服务,方便国内外学者检索中英文文献。致力于提供最便捷和优质的服务体验。 Copyright © 2023 布克学术 All rights reserved.
京ICP备2023020795号-1
ghs 京公网安备 11010802042870号
Book学术文献互助
Book学术文献互助群
群 号:604180095
Book学术官方微信