Clinical, laboratory and ultrasonographic correlates of prostate calcifications in patients with chronic prostatitis/chronic pelvic pain syndrome.

IF 1.9 Q3 UROLOGY & NEPHROLOGY
Central European Journal of Urology Pub Date : 2024-01-01 Epub Date: 2024-04-07 DOI:10.5173/ceju.2022.222
Igor I Gorpynchenko, Kamil R Nurimanov, Tatiana V Poroshina, Victoria S Savchenko, Andrii M Leonenko, George M Drannik, Oleksandr V Shulyak
{"title":"Clinical, laboratory and ultrasonographic correlates of prostate calcifications in patients with chronic prostatitis/chronic pelvic pain syndrome.","authors":"Igor I Gorpynchenko, Kamil R Nurimanov, Tatiana V Poroshina, Victoria S Savchenko, Andrii M Leonenko, George M Drannik, Oleksandr V Shulyak","doi":"10.5173/ceju.2022.222","DOIUrl":null,"url":null,"abstract":"<p><strong>Introduction: </strong>The research aim was to determine the role of clinical, laboratory, immunological and sonographic parameters in the development of an assessment tool for the symptomatic manifestations of prostate calcifications in chronic prostatitis/chronic pelvic pain syndrome (CP/CPPS).</p><p><strong>Material and methods: </strong>All men underwent a transabdominal ultrasonographic examination using a grayscale B-mode and color Doppler mapping, the evaluation of the National Institutes of Health-Chronic Prostatitis Symptom Index and the Patient Health Questionnaire-9, spermogram. Vascular endothelial growth factor (VEGF), serotonin and gamma-aminobutyrate (GABA), interleukins 1β and 10 were determined in blood serum and ejaculate.</p><p><strong>Results: </strong>This study included 102 men aged 18-45 years. Group 1 (n = 34) consisted of patients with CP/CPPS. Group 2 included patients (n = 34) with asymptomatic prostatitis. Group 3 consisted of healthy volunteers (n = 34). More severe symptoms of prostatitis and depression, as well as frequent exacerbations in patients with CP/CPPS, were associated with ultrasound evidence of prostate calcifications, and especially the twinkling artifact (Spearman's r = 0.481; р <0.001; Spearman's r = 0.437; р <0.001, respectively).The presence of prostate calcifications in both CP/CPPS and asymptomatic prostatitis was accompanied by a significantly higher concentration of pro-inflammatory cytokine IL-1β and a lower concentration of anti-inflammatory cytokine IL-10 in the ejaculate (p < 0.05 in both cases, Kolmogorov-Smirnov test). The clinical manifestations observed in patients with CP/CPPS and asymptomatic prostatitis were not correlated with the leukocyte count in the ejaculate or the levels of VEGF, GABA, and serotonin in both blood and ejaculate.</p><p><strong>Conclusions: </strong>Twinkling artifact potentially could serve as a valuable tool for evaluating the condition of patients with CP/CPPS and prostate calcifications.</p>","PeriodicalId":9744,"journal":{"name":"Central European Journal of Urology","volume":"77 2","pages":"225-234"},"PeriodicalIF":1.9000,"publicationDate":"2024-01-01","publicationTypes":"Journal Article","fieldsOfStudy":null,"isOpenAccess":false,"openAccessPdf":"https://www.ncbi.nlm.nih.gov/pmc/articles/PMC11428367/pdf/","citationCount":"0","resultStr":null,"platform":"Semanticscholar","paperid":null,"PeriodicalName":"Central European Journal of Urology","FirstCategoryId":"1085","ListUrlMain":"https://doi.org/10.5173/ceju.2022.222","RegionNum":0,"RegionCategory":null,"ArticlePicture":[],"TitleCN":null,"AbstractTextCN":null,"PMCID":null,"EPubDate":"2024/4/7 0:00:00","PubModel":"Epub","JCR":"Q3","JCRName":"UROLOGY & NEPHROLOGY","Score":null,"Total":0}
引用次数: 0

Abstract

Introduction: The research aim was to determine the role of clinical, laboratory, immunological and sonographic parameters in the development of an assessment tool for the symptomatic manifestations of prostate calcifications in chronic prostatitis/chronic pelvic pain syndrome (CP/CPPS).

Material and methods: All men underwent a transabdominal ultrasonographic examination using a grayscale B-mode and color Doppler mapping, the evaluation of the National Institutes of Health-Chronic Prostatitis Symptom Index and the Patient Health Questionnaire-9, spermogram. Vascular endothelial growth factor (VEGF), serotonin and gamma-aminobutyrate (GABA), interleukins 1β and 10 were determined in blood serum and ejaculate.

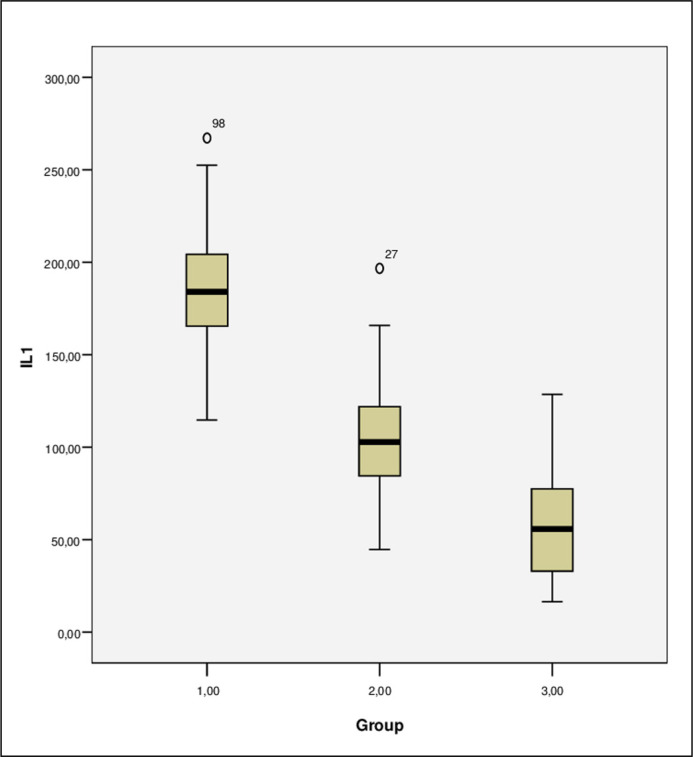
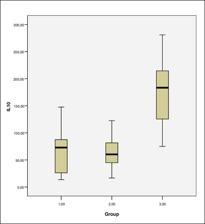
Results: This study included 102 men aged 18-45 years. Group 1 (n = 34) consisted of patients with CP/CPPS. Group 2 included patients (n = 34) with asymptomatic prostatitis. Group 3 consisted of healthy volunteers (n = 34). More severe symptoms of prostatitis and depression, as well as frequent exacerbations in patients with CP/CPPS, were associated with ultrasound evidence of prostate calcifications, and especially the twinkling artifact (Spearman's r = 0.481; р <0.001; Spearman's r = 0.437; р <0.001, respectively).The presence of prostate calcifications in both CP/CPPS and asymptomatic prostatitis was accompanied by a significantly higher concentration of pro-inflammatory cytokine IL-1β and a lower concentration of anti-inflammatory cytokine IL-10 in the ejaculate (p < 0.05 in both cases, Kolmogorov-Smirnov test). The clinical manifestations observed in patients with CP/CPPS and asymptomatic prostatitis were not correlated with the leukocyte count in the ejaculate or the levels of VEGF, GABA, and serotonin in both blood and ejaculate.

Conclusions: Twinkling artifact potentially could serve as a valuable tool for evaluating the condition of patients with CP/CPPS and prostate calcifications.

Abstract Image

Abstract Image

慢性前列腺炎/慢性盆腔疼痛综合征患者前列腺钙化的临床、实验室和超声相关性。
简介研究目的是确定临床、实验室、免疫学和超声参数在开发慢性前列腺炎/慢性盆腔疼痛综合征(CP/CPPS)前列腺钙化症状表现评估工具中的作用:所有男性均接受了经腹超声波检查(使用灰度 B 型和彩色多普勒图)、美国国立卫生研究院慢性前列腺炎症状指数评估、患者健康问卷-9、精子图。对血清和射精中的血管内皮生长因子(VEGF)、5-羟色胺和γ-氨基丁酸(GABA)、白细胞介素1β和10进行了测定:这项研究包括 102 名 18-45 岁的男性。第 1 组(34 人)包括 CP/CPPS 患者。第 2 组包括无症状前列腺炎患者(34 人)。第 3 组包括健康志愿者(34 人)。CP/CPPS患者更严重的前列腺炎和抑郁症状以及频繁的病情加重与超声波显示的前列腺钙化有关,尤其是闪烁假象(Spearman's r = 0.481;р 结论:闪烁假象可作为评估 CP/CPPS 和前列腺钙化患者病情的重要工具。
本文章由计算机程序翻译,如有差异,请以英文原文为准。
求助全文
约1分钟内获得全文 求助全文
来源期刊
Central European Journal of Urology
Central European Journal of Urology UROLOGY & NEPHROLOGY-
CiteScore
2.30
自引率
8.30%
发文量
48
×
引用
GB/T 7714-2015
复制
MLA
复制
APA
复制
导出至
BibTeX EndNote RefMan NoteFirst NoteExpress
×
提示
您的信息不完整,为了账户安全,请先补充。
现在去补充
×
提示
您因"违规操作"
具体请查看互助需知
我知道了
×
提示
确定
请完成安全验证×
copy
已复制链接
快去分享给好友吧!
我知道了
右上角分享
点击右上角分享
0
联系我们:info@booksci.cn Book学术提供免费学术资源搜索服务,方便国内外学者检索中英文文献。致力于提供最便捷和优质的服务体验。 Copyright © 2023 布克学术 All rights reserved.
京ICP备2023020795号-1
ghs 京公网安备 11010802042870号
Book学术文献互助
Book学术文献互助群
群 号:604180095
Book学术官方微信