Higher 10-Year Survival with Breast-Conserving Therapy over Mastectomy for Women with Early-Stage (I-II) Breast Cancer: Analysis of the CDC Patterns of Care Data Base.

IF 1.9 Q3 ONCOLOGY
Breast Cancer : Basic and Clinical Research Pub Date : 2024-09-23 eCollection Date: 2024-01-01 DOI:10.1177/11782234241273666
Pratibha Shrestha, Mei-Chin Hsieh, Tekeda Ferguson, Edward S Peters, Edward Trapido, Qingzhao Yu, Quyen D Chu, Xiao-Cheng Wu
{"title":"Higher 10-Year Survival with Breast-Conserving Therapy over Mastectomy for Women with Early-Stage (I-II) Breast Cancer: Analysis of the CDC Patterns of Care Data Base.","authors":"Pratibha Shrestha, Mei-Chin Hsieh, Tekeda Ferguson, Edward S Peters, Edward Trapido, Qingzhao Yu, Quyen D Chu, Xiao-Cheng Wu","doi":"10.1177/11782234241273666","DOIUrl":null,"url":null,"abstract":"<p><strong>Background: </strong>Studies in the United States are scarce that assess the survival differences between breast-conserving surgery plus radiation (Breast-Conserving Therapy; BCT) and mastectomy groups using population-based data while accounting for sociodemographic and clinical factors that affect the survival of women with early-stage breast cancer (ESBC).</p><p><strong>Objective: </strong>To assess whether BCT provides superior long-term overall survival (OS) and breast cancer-specific survival (BCSS) compared with mastectomy in women with ESBC, while considering key factors that impact survival.</p><p><strong>Design: </strong>Cohort study.</p><p><strong>Methods: </strong>We analyzed data on women aged 20 years and older diagnosed with stage I-II breast cancer (BC) in 2004 who received either BCT or mastectomy. The data were collected by 5 state cancer registries through the Centers for Disease Control and Prevention-funded Patterns of Care study. Multivariable Cox proportional hazard models, accounting for sociodemographic and clinical factors, were used to calculate hazard ratios (HRs) with 95% confidence intervals (CI). Sensitivity analysis involved optimal caliper propensity score (PS) matching to address residual confounding.</p><p><strong>Results: </strong>Of the 3495 women, 41.5% underwent mastectomy. The 10-year OS and BCSS were 82.7% and 91.1% for BCT and 72.3% and 85.7% for mastectomy, respectively. Adjusted models showed that mastectomy recipients had a 22% higher risk of all-cause deaths (ACD) (HR = 1.22, 95% CI = [1.06, 1.41]) and a 26% higher risk of breast cancer-specific deaths (BCD) (HR = 1.26, 95% CI = [1.02, 1.55]) than BCT recipients. Sensitivity analysis demonstrated that mastectomy was associated with a higher risk of ACD (<i>P</i> < .05) but did not exhibit a statistically significant risk for BCD. Women with HR+/HER2+ (luminal B) or invasive ductal carcinoma BC who underwent mastectomy had higher risks of ACD and BCD compared with BCT recipients, while the hazards for ACD in triple-negative BC did not remain significant after adjusting for covariates.</p><p><strong>Conclusion: </strong>ESBC BCT recipients demonstrate superior OS and BCSS compared with mastectomy recipients.</p>","PeriodicalId":9163,"journal":{"name":"Breast Cancer : Basic and Clinical Research","volume":"18 ","pages":"11782234241273666"},"PeriodicalIF":1.9000,"publicationDate":"2024-09-23","publicationTypes":"Journal Article","fieldsOfStudy":null,"isOpenAccess":false,"openAccessPdf":"https://www.ncbi.nlm.nih.gov/pmc/articles/PMC11425729/pdf/","citationCount":"0","resultStr":null,"platform":"Semanticscholar","paperid":null,"PeriodicalName":"Breast Cancer : Basic and Clinical Research","FirstCategoryId":"1085","ListUrlMain":"https://doi.org/10.1177/11782234241273666","RegionNum":0,"RegionCategory":null,"ArticlePicture":[],"TitleCN":null,"AbstractTextCN":null,"PMCID":null,"EPubDate":"2024/1/1 0:00:00","PubModel":"eCollection","JCR":"Q3","JCRName":"ONCOLOGY","Score":null,"Total":0}
引用次数: 0

Abstract

Background: Studies in the United States are scarce that assess the survival differences between breast-conserving surgery plus radiation (Breast-Conserving Therapy; BCT) and mastectomy groups using population-based data while accounting for sociodemographic and clinical factors that affect the survival of women with early-stage breast cancer (ESBC).

Objective: To assess whether BCT provides superior long-term overall survival (OS) and breast cancer-specific survival (BCSS) compared with mastectomy in women with ESBC, while considering key factors that impact survival.

Design: Cohort study.

Methods: We analyzed data on women aged 20 years and older diagnosed with stage I-II breast cancer (BC) in 2004 who received either BCT or mastectomy. The data were collected by 5 state cancer registries through the Centers for Disease Control and Prevention-funded Patterns of Care study. Multivariable Cox proportional hazard models, accounting for sociodemographic and clinical factors, were used to calculate hazard ratios (HRs) with 95% confidence intervals (CI). Sensitivity analysis involved optimal caliper propensity score (PS) matching to address residual confounding.

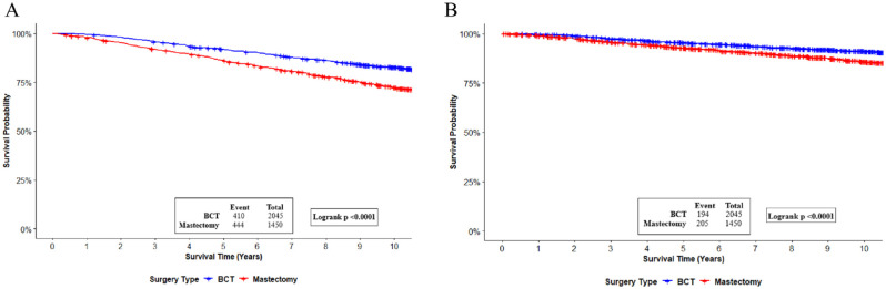
Results: Of the 3495 women, 41.5% underwent mastectomy. The 10-year OS and BCSS were 82.7% and 91.1% for BCT and 72.3% and 85.7% for mastectomy, respectively. Adjusted models showed that mastectomy recipients had a 22% higher risk of all-cause deaths (ACD) (HR = 1.22, 95% CI = [1.06, 1.41]) and a 26% higher risk of breast cancer-specific deaths (BCD) (HR = 1.26, 95% CI = [1.02, 1.55]) than BCT recipients. Sensitivity analysis demonstrated that mastectomy was associated with a higher risk of ACD (P < .05) but did not exhibit a statistically significant risk for BCD. Women with HR+/HER2+ (luminal B) or invasive ductal carcinoma BC who underwent mastectomy had higher risks of ACD and BCD compared with BCT recipients, while the hazards for ACD in triple-negative BC did not remain significant after adjusting for covariates.

Conclusion: ESBC BCT recipients demonstrate superior OS and BCSS compared with mastectomy recipients.

Abstract Image

Abstract Image

Abstract Image

早期(I-II 期)乳腺癌患者接受保乳疗法比乳房切除术的 10 年生存率更高:疾病预防控制中心护理模式数据库分析》。
背景:美国很少有研究利用基于人群的数据评估保乳手术加放射治疗(BCT)与乳房切除术组之间的生存率差异,同时考虑影响早期乳腺癌(ESBC)女性患者生存率的社会人口学和临床因素:评估与乳房切除术相比,BCT是否能为ESBC女性患者提供更优越的长期总生存率(OS)和乳腺癌特异性生存率(BCSS),同时考虑影响生存率的关键因素:设计:队列研究:我们分析了 2004 年确诊为 I-II 期乳腺癌 (BC) 的 20 岁及以上女性接受 BCT 或乳房切除术的数据。这些数据由美国疾病控制和预防中心资助的 "护理模式研究 "通过 5 个州的癌症登记处收集。多变量考克斯比例危险模型考虑了社会人口学和临床因素,用于计算危险比 (HR) 和 95% 置信区间 (CI)。敏感性分析包括最佳卡尺倾向评分(PS)匹配,以解决残余混杂因素:在 3495 名妇女中,41.5% 接受了乳房切除术。BCT的10年OS和BCSS分别为82.7%和91.1%,乳房切除术的10年OS和BCSS分别为72.3%和85.7%。调整后的模型显示,乳房切除术接受者的全因死亡风险(ACD)(HR = 1.22,95% CI = [1.06,1.41])比BCT接受者高22%,乳腺癌特异性死亡风险(BCD)(HR = 1.26,95% CI = [1.02,1.55])比BCT接受者高26%。敏感性分析表明,乳房切除术与较高的 ACD 风险相关(P 结论:ESBC BCT 受者显示出较高的乳腺癌特异性死亡风险:ESBC BCT 受者的 OS 和 BCSS 均优于乳房切除术受者。
本文章由计算机程序翻译,如有差异,请以英文原文为准。
求助全文
约1分钟内获得全文 求助全文
来源期刊
CiteScore
5.10
自引率
3.40%
发文量
22
审稿时长
8 weeks
期刊介绍: Breast Cancer: Basic and Clinical Research is an international, open access, peer-reviewed, journal which considers manuscripts on all areas of breast cancer research and treatment. We welcome original research, short notes, case studies and review articles related to breast cancer-related research. Specific areas of interest include, but are not limited to, breast cancer sub types, pathobiology, metastasis, genetics and epigenetics, mammary gland biology, breast cancer models, prevention, detection, therapy and clinical interventions, and epidemiology and population genetics.
×
引用
GB/T 7714-2015
复制
MLA
复制
APA
复制
导出至
BibTeX EndNote RefMan NoteFirst NoteExpress
×
提示
您的信息不完整,为了账户安全,请先补充。
现在去补充
×
提示
您因"违规操作"
具体请查看互助需知
我知道了
×
提示
确定
请完成安全验证×
copy
已复制链接
快去分享给好友吧!
我知道了
右上角分享
点击右上角分享
0
联系我们:info@booksci.cn Book学术提供免费学术资源搜索服务,方便国内外学者检索中英文文献。致力于提供最便捷和优质的服务体验。 Copyright © 2023 布克学术 All rights reserved.
京ICP备2023020795号-1
ghs 京公网安备 11010802042870号
Book学术文献互助
Book学术文献互助群
群 号:604180095
Book学术官方微信