Calculating power for multilevel implementation trials in mental health: Meaningful effect sizes, intraclass correlation coefficients, and proportions of variance explained by covariates.

IF 2.6
Implementation research and practice Pub Date : 2024-09-26 eCollection Date: 2024-01-01 DOI:10.1177/26334895241279153
Nathaniel J Williams, Nicholas C Cardamone, Rinad S Beidas, Steven C Marcus
{"title":"Calculating power for multilevel implementation trials in mental health: Meaningful effect sizes, intraclass correlation coefficients, and proportions of variance explained by covariates.","authors":"Nathaniel J Williams, Nicholas C Cardamone, Rinad S Beidas, Steven C Marcus","doi":"10.1177/26334895241279153","DOIUrl":null,"url":null,"abstract":"<p><strong>Background: </strong>Despite the ubiquity of multilevel sampling, design, and analysis in mental health implementation trials, few resources are available that provide reference values of design parameters (e.g., effect size, intraclass correlation coefficient [ICC], and proportion of variance explained by covariates [covariate <i>R</i> <sup>2</sup>]) needed to accurately determine sample size. The aim of this study was to provide empirical reference values for these parameters by aggregating data on implementation and clinical outcomes from multilevel implementation trials, including cluster randomized trials and individually randomized repeated measures trials, in mental health. The compendium of design parameters presented here represents plausible values that implementation scientists can use to guide sample size calculations for future trials.</p><p><strong>Method: </strong>We searched NIH RePORTER for all federally funded, multilevel implementation trials addressing mental health populations and settings from 2010 to 2020. For all continuous and binary implementation and clinical outcomes included in eligible trials, we generated values of effect size, ICC, and covariate <i>R<sup>2</sup></i> at each level via secondary analysis of trial data or via extraction of estimates from analyses in published research reports. Effect sizes were calculated as Cohen <i>d</i>; ICCs were generated via one-way random effects ANOVAs; covariate <i>R<sup>2</sup></i> estimates were calculated using the reduction in variance approach.</p><p><strong>Results: </strong>Seventeen trials were eligible, reporting on 53 implementation and clinical outcomes and 81 contrasts between implementation conditions. Tables of effect size, ICC, and covariate <i>R<sup>2</sup></i> are provided to guide implementation researchers in power analyses for designing multilevel implementation trials in mental health settings, including two- and three-level cluster randomized designs and unit-randomized repeated-measures designs.</p><p><strong>Conclusions: </strong>Researchers can use the empirical reference values reported in this study to develop meaningful sample size determinations for multilevel implementation trials in mental health. Discussion focuses on the application of the reference values reported in this study.</p>","PeriodicalId":73354,"journal":{"name":"Implementation research and practice","volume":"5 ","pages":"26334895241279153"},"PeriodicalIF":2.6000,"publicationDate":"2024-09-26","publicationTypes":"Journal Article","fieldsOfStudy":null,"isOpenAccess":false,"openAccessPdf":"https://www.ncbi.nlm.nih.gov/pmc/articles/PMC11437582/pdf/","citationCount":"0","resultStr":null,"platform":"Semanticscholar","paperid":null,"PeriodicalName":"Implementation research and practice","FirstCategoryId":"1085","ListUrlMain":"https://doi.org/10.1177/26334895241279153","RegionNum":0,"RegionCategory":null,"ArticlePicture":[],"TitleCN":null,"AbstractTextCN":null,"PMCID":null,"EPubDate":"2024/1/1 0:00:00","PubModel":"eCollection","JCR":"","JCRName":"","Score":null,"Total":0}
引用次数: 0

Abstract

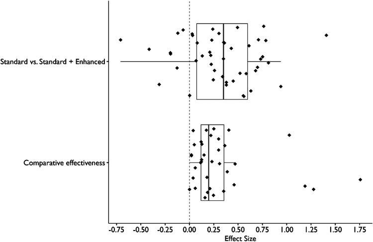
Background: Despite the ubiquity of multilevel sampling, design, and analysis in mental health implementation trials, few resources are available that provide reference values of design parameters (e.g., effect size, intraclass correlation coefficient [ICC], and proportion of variance explained by covariates [covariate R 2]) needed to accurately determine sample size. The aim of this study was to provide empirical reference values for these parameters by aggregating data on implementation and clinical outcomes from multilevel implementation trials, including cluster randomized trials and individually randomized repeated measures trials, in mental health. The compendium of design parameters presented here represents plausible values that implementation scientists can use to guide sample size calculations for future trials.

Method: We searched NIH RePORTER for all federally funded, multilevel implementation trials addressing mental health populations and settings from 2010 to 2020. For all continuous and binary implementation and clinical outcomes included in eligible trials, we generated values of effect size, ICC, and covariate R2 at each level via secondary analysis of trial data or via extraction of estimates from analyses in published research reports. Effect sizes were calculated as Cohen d; ICCs were generated via one-way random effects ANOVAs; covariate R2 estimates were calculated using the reduction in variance approach.

Results: Seventeen trials were eligible, reporting on 53 implementation and clinical outcomes and 81 contrasts between implementation conditions. Tables of effect size, ICC, and covariate R2 are provided to guide implementation researchers in power analyses for designing multilevel implementation trials in mental health settings, including two- and three-level cluster randomized designs and unit-randomized repeated-measures designs.

Conclusions: Researchers can use the empirical reference values reported in this study to develop meaningful sample size determinations for multilevel implementation trials in mental health. Discussion focuses on the application of the reference values reported in this study.

Abstract Image

Abstract Image

Abstract Image

计算心理健康多层次实施试验的功率:有意义的效应大小、类内相关系数以及协变量解释的变异比例。
背景:尽管多层次取样、设计和分析在心理健康实施试验中无处不在,但很少有资源能提供准确确定样本大小所需的设计参数参考值(如效应大小、类内相关系数[ICC]、协变量解释的方差比例[协变量R 2])。本研究旨在通过汇总精神卫生领域多层次实施试验(包括分组随机试验和单独随机重复测量试验)的实施和临床结果数据,为这些参数提供经验参考值。这里介绍的设计参数简编代表了实施科学家可以用来指导未来试验样本量计算的合理值:我们在 NIH RePORTER 中搜索了 2010 年至 2020 年间所有由联邦政府资助的、针对心理健康人群和环境的多层次实施试验。对于符合条件的试验中包含的所有连续和二元实施结果及临床结果,我们通过对试验数据进行二次分析,或从已发表的研究报告中的分析结果中提取估计值,得出了各层次的效应大小、ICC 和协变量 R2 值。效应大小以 Cohen d 计算;ICC 通过单向随机效应方差分析生成;协变量 R2 估计值采用方差缩小法计算:符合条件的试验有 17 项,报告了 53 项实施和临床结果以及 81 项实施条件对比。本研究提供了效应大小、ICC 和协变量 R2 表,以指导实施研究人员在心理健康环境中设计多层次实施试验时进行功率分析,包括两层和三层群组随机设计和单位随机重复测量设计:结论:研究人员可以利用本研究中报告的经验参考值,为心理健康领域的多层次实施试验确定有意义的样本量。讨论的重点是本研究中报告的参考值的应用。
本文章由计算机程序翻译,如有差异,请以英文原文为准。
求助全文
约1分钟内获得全文 求助全文
来源期刊
CiteScore
0.50
自引率
0.00%
发文量
0
审稿时长
18 weeks
×
引用
GB/T 7714-2015
复制
MLA
复制
APA
复制
导出至
BibTeX EndNote RefMan NoteFirst NoteExpress
×
提示
您的信息不完整,为了账户安全,请先补充。
现在去补充
×
提示
您因"违规操作"
具体请查看互助需知
我知道了
×
提示
确定
请完成安全验证×
copy
已复制链接
快去分享给好友吧!
我知道了
右上角分享
点击右上角分享
0
联系我们:info@booksci.cn Book学术提供免费学术资源搜索服务,方便国内外学者检索中英文文献。致力于提供最便捷和优质的服务体验。 Copyright © 2023 布克学术 All rights reserved.
京ICP备2023020795号-1
ghs 京公网安备 11010802042870号
Book学术文献互助
Book学术文献互助群
群 号:604180095
Book学术官方微信