COVID-19 Hospitalization Outcomes for Long-Term Care Facility Residents With Dementia: Mediation by Pre-existing Health Conditions.

IF 1.8 Q3 GERIATRICS & GERONTOLOGY
Gerontology and Geriatric Medicine Pub Date : 2024-09-24 eCollection Date: 2024-01-01 DOI:10.1177/23337214241284035
Cheng Yin, Elias Mpofu, Kaye Brock, Stan Ingman
{"title":"COVID-19 Hospitalization Outcomes for Long-Term Care Facility Residents With Dementia: Mediation by Pre-existing Health Conditions.","authors":"Cheng Yin, Elias Mpofu, Kaye Brock, Stan Ingman","doi":"10.1177/23337214241284035","DOIUrl":null,"url":null,"abstract":"<p><p><b>Background:</b> This study explores COVID-19 emergency admission and length of hospital stay hospitalization outcomes for Long-Term Care Facility (LTCF) residents with dementia. <b>Methods:</b> Utilizing a cross-sectional case control design, we employed logistic regression to analyze Texas Inpatient Public Use Data File (PUDF) for 1,413 dementia patients and 1,674 non-dementia patients (>60 years) to predict emergency admission and length of hospital stay with mediation by pre-existing conditions. <b>Results:</b> LTCF residents with dementia have a higher likelihood of COVID-19 emergency admission and shorter hospital stays. Adjusting for confounders of demographics, health insurance, and lifestyle, dementia diagnosis remained significantly associated with emergency admission and shorter hospital stays with preexisting conditions. <b>Conclusion:</b> Findings underscore the heightened risk for adverse COVID-19 hospitalization care disparities with dementia. Targeted health support programs for LTCF residents with dementia should aim to improve their COVID19 hospitalization outcomes, treating pre-existing health conditions and reducing their risk for excess mortality.</p>","PeriodicalId":52146,"journal":{"name":"Gerontology and Geriatric Medicine","volume":"10 ","pages":"23337214241284035"},"PeriodicalIF":1.8000,"publicationDate":"2024-09-24","publicationTypes":"Journal Article","fieldsOfStudy":null,"isOpenAccess":false,"openAccessPdf":"https://www.ncbi.nlm.nih.gov/pmc/articles/PMC11423368/pdf/","citationCount":"0","resultStr":null,"platform":"Semanticscholar","paperid":null,"PeriodicalName":"Gerontology and Geriatric Medicine","FirstCategoryId":"1085","ListUrlMain":"https://doi.org/10.1177/23337214241284035","RegionNum":0,"RegionCategory":null,"ArticlePicture":[],"TitleCN":null,"AbstractTextCN":null,"PMCID":null,"EPubDate":"2024/1/1 0:00:00","PubModel":"eCollection","JCR":"Q3","JCRName":"GERIATRICS & GERONTOLOGY","Score":null,"Total":0}
引用次数: 0

Abstract

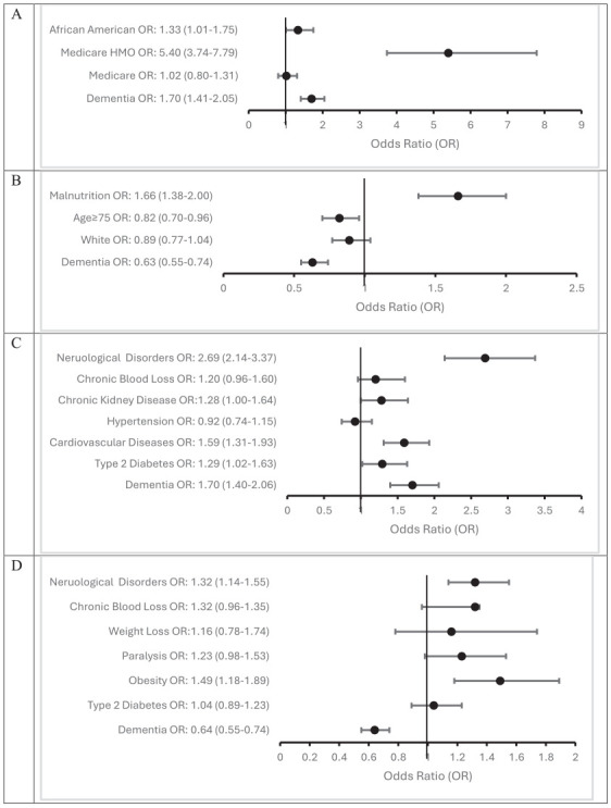
Background: This study explores COVID-19 emergency admission and length of hospital stay hospitalization outcomes for Long-Term Care Facility (LTCF) residents with dementia. Methods: Utilizing a cross-sectional case control design, we employed logistic regression to analyze Texas Inpatient Public Use Data File (PUDF) for 1,413 dementia patients and 1,674 non-dementia patients (>60 years) to predict emergency admission and length of hospital stay with mediation by pre-existing conditions. Results: LTCF residents with dementia have a higher likelihood of COVID-19 emergency admission and shorter hospital stays. Adjusting for confounders of demographics, health insurance, and lifestyle, dementia diagnosis remained significantly associated with emergency admission and shorter hospital stays with preexisting conditions. Conclusion: Findings underscore the heightened risk for adverse COVID-19 hospitalization care disparities with dementia. Targeted health support programs for LTCF residents with dementia should aim to improve their COVID19 hospitalization outcomes, treating pre-existing health conditions and reducing their risk for excess mortality.

Abstract Image

Abstract Image

Abstract Image

COVID-19 痴呆症长期护理机构住院患者的住院治疗结果:既往健康状况的中介作用。
背景:本研究探讨了患有痴呆症的长期护理机构(LTCF)居民的 COVID-19 紧急入院和住院时间。研究方法利用横断面病例对照设计,我们采用逻辑回归法分析了德克萨斯州 1413 名痴呆症患者和 1674 名非痴呆症患者(年龄大于 60 岁)的住院患者公共使用数据文件 (PUDF),以预测急诊入院和住院时间,并通过原有病症进行调解。研究结果患有痴呆症的 LTCF 居民更有可能出现 COVID-19 紧急入院情况,住院时间也更短。在对人口统计学、医疗保险和生活方式等混杂因素进行调整后,痴呆症诊断仍与急诊入院和住院时间缩短显著相关。结论研究结果表明,痴呆症患者住院护理方面的 COVID-19 差异风险更高。针对患有痴呆症的 LTCF 居民的有针对性的健康支持计划应旨在改善他们的 COVID19 住院治疗结果,治疗原有的健康状况并降低他们的超额死亡率风险。
本文章由计算机程序翻译,如有差异,请以英文原文为准。
求助全文
约1分钟内获得全文 求助全文
来源期刊
Gerontology and Geriatric Medicine
Gerontology and Geriatric Medicine Medicine-Geriatrics and Gerontology
CiteScore
2.90
自引率
3.70%
发文量
119
审稿时长
12 weeks
期刊介绍: Gerontology and Geriatric Medicine (GGM) is an interdisciplinary, peer-reviewed open access journal where scholars from a variety of disciplines present their work focusing on the psychological, behavioral, social, and biological aspects of aging, and public health services and research related to aging. The journal addresses a wide variety of topics related to health services research in gerontology and geriatrics. GGM seeks to be one of the world’s premier Open Access outlets for gerontological academic research. As such, GGM does not limit content due to page budgets or thematic significance. Papers will be subjected to rigorous peer review but will be selected solely on the basis of whether the research is sound and deserves publication. By virtue of not restricting papers to a narrow discipline, GGM facilitates the discovery of the connections between papers.
×
引用
GB/T 7714-2015
复制
MLA
复制
APA
复制
导出至
BibTeX EndNote RefMan NoteFirst NoteExpress
×
提示
您的信息不完整,为了账户安全,请先补充。
现在去补充
×
提示
您因"违规操作"
具体请查看互助需知
我知道了
×
提示
确定
请完成安全验证×
copy
已复制链接
快去分享给好友吧!
我知道了
右上角分享
点击右上角分享
0
联系我们:info@booksci.cn Book学术提供免费学术资源搜索服务,方便国内外学者检索中英文文献。致力于提供最便捷和优质的服务体验。 Copyright © 2023 布克学术 All rights reserved.
京ICP备2023020795号-1
ghs 京公网安备 11010802042870号
Book学术文献互助
Book学术文献互助群
群 号:604180095
Book学术官方微信