LONG-TERM REPEATED BOTULINUM TOXIN A TREATMENT OVER 12 YEARS GRADUALLY CHANGES GAIT CHARACTERISTICS: SINGLE-CASE STUDY.

Hiroki Tanikawa, Hitoshi Kagaya, Shota Itoh, Kento Katagiri, Hikaru Kondoh, Kenta Fujimura, Satoshi Hirano, Toshio Teranishi
{"title":"LONG-TERM REPEATED BOTULINUM TOXIN A TREATMENT OVER 12 YEARS GRADUALLY CHANGES GAIT CHARACTERISTICS: SINGLE-CASE STUDY.","authors":"Hiroki Tanikawa, Hitoshi Kagaya, Shota Itoh, Kento Katagiri, Hikaru Kondoh, Kenta Fujimura, Satoshi Hirano, Toshio Teranishi","doi":"10.2340/jrmcc.v7.40827","DOIUrl":null,"url":null,"abstract":"<p><strong>Objective: </strong>To demonstrate the long-term efficacy of repeated botulinum toxin A injections into the same muscles for ameliorating lower limb spasticity and gait function.</p><p><strong>Design: </strong>Single-case study.</p><p><strong>Patient: </strong>A 36-year-old woman with right cerebral haemorrhage received her first botulinum toxin A injection 1,296 days after onset. The patient underwent 30 treatments over 12 years after the first injection to improve upper and lower limb spasticity and abnormal gait patterns. The mean duration between injections was 147 days.</p><p><strong>Methods: </strong>The Modified Ashworth Scale, passive range of motion, gait velocity, and degree of abnormal gait patterns during treadmill gait were evaluated pre-injection and at 2, 6, and 12 weeks after every injection.</p><p><strong>Results: </strong>The follow-up period showed no injection-related adverse events. Comfortable overground gait velocity gradually improved over 30 injections. The Modified Ashworth Scale and passive range of motion improved after each injection. Pre-injection values of the degree of pes varus, circumduction, hip hiking, and knee extensor thrust improved gradually. However, the degree of contralateral vaulting, excessive lateral shift of the trunk, and insufficient knee flexion did not improve after 30 injections.</p><p><strong>Conclusion: </strong>Repeated botulinum toxin A injections effectively improve abnormal gait patterns, even when a single injection cannot change these values.</p>","PeriodicalId":73929,"journal":{"name":"Journal of rehabilitation medicine. Clinical communications","volume":"7 ","pages":"40827"},"PeriodicalIF":0.0000,"publicationDate":"2024-09-03","publicationTypes":"Journal Article","fieldsOfStudy":null,"isOpenAccess":false,"openAccessPdf":"https://www.ncbi.nlm.nih.gov/pmc/articles/PMC11381687/pdf/","citationCount":"0","resultStr":null,"platform":"Semanticscholar","paperid":null,"PeriodicalName":"Journal of rehabilitation medicine. Clinical communications","FirstCategoryId":"1085","ListUrlMain":"https://doi.org/10.2340/jrmcc.v7.40827","RegionNum":0,"RegionCategory":null,"ArticlePicture":[],"TitleCN":null,"AbstractTextCN":null,"PMCID":null,"EPubDate":"2024/1/1 0:00:00","PubModel":"eCollection","JCR":"","JCRName":"","Score":null,"Total":0}
引用次数: 0

Abstract

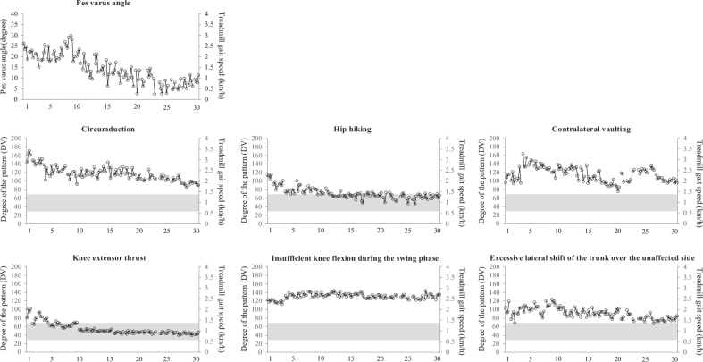
Objective: To demonstrate the long-term efficacy of repeated botulinum toxin A injections into the same muscles for ameliorating lower limb spasticity and gait function.

Design: Single-case study.

Patient: A 36-year-old woman with right cerebral haemorrhage received her first botulinum toxin A injection 1,296 days after onset. The patient underwent 30 treatments over 12 years after the first injection to improve upper and lower limb spasticity and abnormal gait patterns. The mean duration between injections was 147 days.

Methods: The Modified Ashworth Scale, passive range of motion, gait velocity, and degree of abnormal gait patterns during treadmill gait were evaluated pre-injection and at 2, 6, and 12 weeks after every injection.

Results: The follow-up period showed no injection-related adverse events. Comfortable overground gait velocity gradually improved over 30 injections. The Modified Ashworth Scale and passive range of motion improved after each injection. Pre-injection values of the degree of pes varus, circumduction, hip hiking, and knee extensor thrust improved gradually. However, the degree of contralateral vaulting, excessive lateral shift of the trunk, and insufficient knee flexion did not improve after 30 injections.

Conclusion: Repeated botulinum toxin A injections effectively improve abnormal gait patterns, even when a single injection cannot change these values.

Abstract Image

Abstract Image

长期反复注射肉毒杆菌毒素 12 年,步态特征逐渐改变:单例研究。
目的证明在同一肌肉反复注射A型肉毒毒素对改善下肢痉挛和步态功能的长期疗效:单例研究:一名患有右脑出血的 36 岁女性,在发病 1296 天后接受了首次 A 型肉毒毒素注射。在首次注射后的 12 年中,患者接受了 30 次治疗,以改善上下肢痉挛和异常步态。两次注射之间的平均间隔时间为 147 天:方法:在注射前以及每次注射后的 2、6 和 12 周,对改良阿什沃斯量表、被动运动范围、步速以及跑步机步态异常程度进行评估:结果:随访期间未发现与注射相关的不良事件。注射 30 次后,舒适的地面步速逐渐提高。每次注射后,改良阿什沃斯量表和被动活动范围均有所改善。注射前的趾外翻、圆周运动、髋关节远足和膝关节伸肌推力值逐渐改善。然而,对侧拱起、躯干过度侧移和膝关节屈曲不足的程度在注射 30 次后没有改善:结论:重复注射 A 型肉毒毒素可有效改善异常步态,即使单次注射无法改变这些值。
本文章由计算机程序翻译,如有差异,请以英文原文为准。
求助全文
约1分钟内获得全文 求助全文
来源期刊
自引率
0.00%
发文量
0
×
引用
GB/T 7714-2015
复制
MLA
复制
APA
复制
导出至
BibTeX EndNote RefMan NoteFirst NoteExpress
×
提示
您的信息不完整,为了账户安全,请先补充。
现在去补充
×
提示
您因"违规操作"
具体请查看互助需知
我知道了
×
提示
确定
请完成安全验证×
copy
已复制链接
快去分享给好友吧!
我知道了
右上角分享
点击右上角分享
0
联系我们:info@booksci.cn Book学术提供免费学术资源搜索服务,方便国内外学者检索中英文文献。致力于提供最便捷和优质的服务体验。 Copyright © 2023 布克学术 All rights reserved.
京ICP备2023020795号-1
ghs 京公网安备 11010802042870号
Book学术文献互助
Book学术文献互助群
群 号:604180095
Book学术官方微信