Correlation of anogenital distance from childhood to age 9 years-a prospective population-based birth cohort-the Odense Child Cohort.

IF 11.1 Q1 OBSTETRICS & GYNECOLOGY
Human reproduction open Pub Date : 2024-09-09 eCollection Date: 2024-01-01 DOI:10.1093/hropen/hoae050
Sarah Munk Andreasen, Lise Gehrt, Casper P Hagen, Anders Juul, Gylli Mola, Margit Bistrup Fischer, Marianne Skovsager Andersen, David Møbjerg Kristensen, Tina Kold Jensen
{"title":"Correlation of anogenital distance from childhood to age 9 years-a prospective population-based birth cohort-the Odense Child Cohort.","authors":"Sarah Munk Andreasen, Lise Gehrt, Casper P Hagen, Anders Juul, Gylli Mola, Margit Bistrup Fischer, Marianne Skovsager Andersen, David Møbjerg Kristensen, Tina Kold Jensen","doi":"10.1093/hropen/hoae050","DOIUrl":null,"url":null,"abstract":"<p><strong>Study question: </strong>Does anogenital distance (AGD) - distance from the anus to the genitals - correlate from infancy (3 months) to the age of 9 years in boys and girls?</p><p><strong>Summary answer: </strong>In boys, AGD correlated from infancy to 9 years of age, whereas in girls, correlations were weaker, especially between infancy and later childhood.</p><p><strong>What is known already: </strong>AGD is considered a marker for prenatal androgen action. In males, reduced AGD is associated with testicular cancer, infertility, and lower sperm count. In females, AGD is associated with endometriosis and polycystic ovary syndrome.</p><p><strong>Study design size duration: </strong>In the Odense Child Cohort, a prospective population-based birth cohort, pregnant women were enrolled in early pregnancy. AGD and BMI were measured repeatedly in children at ages 3 and 18 months, as well as at 3, 5, 7, and 9 years.</p><p><strong>Participants/materials setting methods: </strong>AGD was measured from the anus to the scrotum (AGDas) and to the penis (AGDap) in 1022 boys, and to the posterior fourchette and the clitoris in 887 girls repeatedly between the age of 3 months to 9 years. In total, 7706 assessments were made. AGD was adjusted for body weight, and <i>SD scores</i> (the difference between individual AGD and the mean of AGD in the population divided by SD of AGD) were calculated for each child. Pearson correlation coefficient (<i>r</i>) of each measurement was performed to investigate whether individual AGD was stable during childhood. Short predictive values at 3 months (20th percentile) to 9 years were investigated using the AUC produced by the receiver operating characteristic curve.</p><p><strong>Main results and the role of chance: </strong>In boys, AGD/body size-index <i>SD score</i> correlated significantly between infancy and 9 years, strongest for AGDas (<i>r</i> = 0.540 <i>P</i> > 0.001). In girls, weaker significant correlation coefficients were found between AGD at infancy and 9 years; higher correlation coefficients were found between AGD from 3 to 9 years (<i>P</i> > 0.001). Short AGDas in infancy predicted short AGDas in boys aged 9 years (AUC: 0.767, sensitivity 0.71, specificity 0.71). The predictive values of short infant AGDap, penile width (in boys), and AGD (in girls) concerning short outcomes at 9 years were low.</p><p><strong>Limitations reasons for caution: </strong>The AGD measurements are less precisely measurable in girls compared to boys, especially in infancy, resulting in less reproducible measurements. Additionally, because AGD is shorter in girls, the same absolute measurement error is relatively more significant, potentially contributing to greater variability and lower reproducibility in girls. This may contribute to the weaker correlations in girls compared to boys.</p><p><strong>Wider implications of the findings: </strong>In boys, AGDas, relative to body size, correlated from infancy to 9 years, suggesting that AGD in infancy can be considered a non-invasive marker of later reproductive health. Further follow-up studies are needed to evaluate long-term individual tracking of AGD as well as assessment of childhood AGD as early marker of adult reproductive health.</p><p><strong>Study funding/competing interests: </strong>This study was supported by Odense University Hospital, Denmark, the Region of Southern Denmark, the Municipality of Odense, Denmark, the University of Southern Denmark, Odense Patient data Exploratory Network (OPEN), Denmark, the Danish Research Council (4004-00352B_FSS), Novo Nordisk Foundation, Denmark (grant no. NNF19OC0058266 and NNF17OC0029404), Sygeforsikring Danmark (journalnr. 2021-0173), the Collaborative Foundation between Odense University Hospital and Rigshospitalet, and Helsefonden. There is no conflict of interest of any author that could be perceived as prejudicing the impartiality of the research reported.</p><p><strong>Trial registration number: </strong>N/A.</p>","PeriodicalId":73264,"journal":{"name":"Human reproduction open","volume":"2024 3","pages":"hoae050"},"PeriodicalIF":11.1000,"publicationDate":"2024-09-09","publicationTypes":"Journal Article","fieldsOfStudy":null,"isOpenAccess":false,"openAccessPdf":"https://www.ncbi.nlm.nih.gov/pmc/articles/PMC11415829/pdf/","citationCount":"0","resultStr":null,"platform":"Semanticscholar","paperid":null,"PeriodicalName":"Human reproduction open","FirstCategoryId":"1085","ListUrlMain":"https://doi.org/10.1093/hropen/hoae050","RegionNum":0,"RegionCategory":null,"ArticlePicture":[],"TitleCN":null,"AbstractTextCN":null,"PMCID":null,"EPubDate":"2024/1/1 0:00:00","PubModel":"eCollection","JCR":"Q1","JCRName":"OBSTETRICS & GYNECOLOGY","Score":null,"Total":0}
引用次数: 0

Abstract

Study question: Does anogenital distance (AGD) - distance from the anus to the genitals - correlate from infancy (3 months) to the age of 9 years in boys and girls?

Summary answer: In boys, AGD correlated from infancy to 9 years of age, whereas in girls, correlations were weaker, especially between infancy and later childhood.

What is known already: AGD is considered a marker for prenatal androgen action. In males, reduced AGD is associated with testicular cancer, infertility, and lower sperm count. In females, AGD is associated with endometriosis and polycystic ovary syndrome.

Study design size duration: In the Odense Child Cohort, a prospective population-based birth cohort, pregnant women were enrolled in early pregnancy. AGD and BMI were measured repeatedly in children at ages 3 and 18 months, as well as at 3, 5, 7, and 9 years.

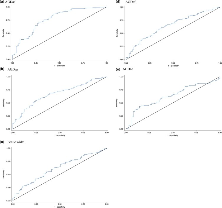
Participants/materials setting methods: AGD was measured from the anus to the scrotum (AGDas) and to the penis (AGDap) in 1022 boys, and to the posterior fourchette and the clitoris in 887 girls repeatedly between the age of 3 months to 9 years. In total, 7706 assessments were made. AGD was adjusted for body weight, and SD scores (the difference between individual AGD and the mean of AGD in the population divided by SD of AGD) were calculated for each child. Pearson correlation coefficient (r) of each measurement was performed to investigate whether individual AGD was stable during childhood. Short predictive values at 3 months (20th percentile) to 9 years were investigated using the AUC produced by the receiver operating characteristic curve.

Main results and the role of chance: In boys, AGD/body size-index SD score correlated significantly between infancy and 9 years, strongest for AGDas (r = 0.540 P > 0.001). In girls, weaker significant correlation coefficients were found between AGD at infancy and 9 years; higher correlation coefficients were found between AGD from 3 to 9 years (P > 0.001). Short AGDas in infancy predicted short AGDas in boys aged 9 years (AUC: 0.767, sensitivity 0.71, specificity 0.71). The predictive values of short infant AGDap, penile width (in boys), and AGD (in girls) concerning short outcomes at 9 years were low.

Limitations reasons for caution: The AGD measurements are less precisely measurable in girls compared to boys, especially in infancy, resulting in less reproducible measurements. Additionally, because AGD is shorter in girls, the same absolute measurement error is relatively more significant, potentially contributing to greater variability and lower reproducibility in girls. This may contribute to the weaker correlations in girls compared to boys.

Wider implications of the findings: In boys, AGDas, relative to body size, correlated from infancy to 9 years, suggesting that AGD in infancy can be considered a non-invasive marker of later reproductive health. Further follow-up studies are needed to evaluate long-term individual tracking of AGD as well as assessment of childhood AGD as early marker of adult reproductive health.

Study funding/competing interests: This study was supported by Odense University Hospital, Denmark, the Region of Southern Denmark, the Municipality of Odense, Denmark, the University of Southern Denmark, Odense Patient data Exploratory Network (OPEN), Denmark, the Danish Research Council (4004-00352B_FSS), Novo Nordisk Foundation, Denmark (grant no. NNF19OC0058266 and NNF17OC0029404), Sygeforsikring Danmark (journalnr. 2021-0173), the Collaborative Foundation between Odense University Hospital and Rigshospitalet, and Helsefonden. There is no conflict of interest of any author that could be perceived as prejudicing the impartiality of the research reported.

Trial registration number: N/A.

Abstract Image

Abstract Image

Abstract Image

童年至 9 岁期间肛门距离的相关性--基于人口的前瞻性出生队列--欧登塞儿童队列。
研究问题:肛门距离(AGD)--从肛门到生殖器的距离--与男孩和女孩从婴儿期(3 个月)到 9 岁是否相关?在男孩中,AGD 从婴儿期到 9 岁都有相关性,而在女孩中,相关性较弱,尤其是在婴儿期和儿童后期:AGD被认为是产前雄激素作用的标志物。在男性中,AGD 的降低与睾丸癌、不育症和精子数量减少有关。在女性中,AGD 与子宫内膜异位症和多囊卵巢综合征有关:欧登塞儿童队列是一项以人口为基础的前瞻性出生队列研究,在怀孕早期对孕妇进行登记。在儿童 3 岁和 18 个月时,以及 3 岁、5 岁、7 岁和 9 岁时,反复测量 AGD 和 BMI:在 1022 名男童的 3 个月至 9 岁期间,反复测量了他们从肛门到阴囊(AGDas)和阴茎(AGDap)的 AGD,并对 887 名女童的后四指和阴蒂进行了测量。总共进行了 7706 次评估。AGD根据体重进行了调整,并计算出每个儿童的SD分数(个人AGD与人群AGD平均值的差值除以AGD的SD)。对每个测量值进行皮尔逊相关系数(r)分析,以确定个体 AGD 在儿童期是否稳定。利用接收者操作特征曲线产生的 AUC 值,对 3 个月(20 百分位数)至 9 岁的短期预测值进行了研究:在男孩中,AGD/体型指数 SD 评分在婴儿期和 9 岁之间有显著相关性,其中 AGDas 的相关性最强(r = 0.540 P > 0.001)。在女孩中,婴儿期和 9 岁时 AGD 之间的相关系数较弱;3 至 9 岁时 AGD 之间的相关系数较高(P > 0.001)。婴儿期的短AGDas可预测9岁男孩的短AGDas(AUC:0.767,灵敏度0.71,特异性0.71)。婴儿期短小的 AGDap、阴茎宽度(男孩)和 AGD(女孩)对 9 岁时短小结果的预测值较低:与男孩相比,女孩的 AGD 测量精度较低,尤其是在婴儿期,因此测量结果的可重复性较差。此外,由于女孩的 AGD 较短,同样的绝对测量误差相对更大,可能导致女孩的变异性更大、可重复性更低。这可能是导致女孩的相关性弱于男孩的原因之一:在男孩中,相对于体型的 AGDas 与婴儿期至 9 岁期间的相关性,这表明婴儿期的 AGD 可被视为日后生殖健康的非侵入性标志物。需要进行进一步的跟踪研究,以评估对 AGD 的长期个体跟踪,以及将儿童 AGD 作为成人生殖健康早期标志物的评估:本研究得到了丹麦欧登塞大学医院、丹麦南部大区、丹麦欧登塞市政府、丹麦南部大学、丹麦欧登塞患者数据探索网络(OPEN)、丹麦研究理事会(4004-00352B_FSS)、丹麦诺和诺德基金会(资助号:NNF19OC00582)的支持。NNF19OC0058266和NNF17OC0029404)、Sygeforsikring Danmark(期刊号:2021-0173)、欧登塞大学医院与Rigshospitalet合作基金会以及Helsefonden。任何作者均无利益冲突,不会影响报告研究的公正性:不适用。
本文章由计算机程序翻译,如有差异,请以英文原文为准。
求助全文
约1分钟内获得全文 求助全文
来源期刊
CiteScore
15.50
自引率
0.00%
发文量
0
审稿时长
12 weeks
×
引用
GB/T 7714-2015
复制
MLA
复制
APA
复制
导出至
BibTeX EndNote RefMan NoteFirst NoteExpress
×
提示
您的信息不完整,为了账户安全,请先补充。
现在去补充
×
提示
您因"违规操作"
具体请查看互助需知
我知道了
×
提示
确定
请完成安全验证×
copy
已复制链接
快去分享给好友吧!
我知道了
右上角分享
点击右上角分享
0
联系我们:info@booksci.cn Book学术提供免费学术资源搜索服务,方便国内外学者检索中英文文献。致力于提供最便捷和优质的服务体验。 Copyright © 2023 布克学术 All rights reserved.
京ICP备2023020795号-1
ghs 京公网安备 11010802042870号
Book学术文献互助
Book学术文献互助群
群 号:604180095
Book学术官方微信