Incidence of hypothermia in critically ill patients receiving continuous renal replacement therapy in Siriraj Hospital, Thailand.

IF 2 Q3 CRITICAL CARE MEDICINE
Acute and Critical Care Pub Date : 2024-08-01 Epub Date: 2024-08-12 DOI:10.4266/acc.2024.00038
Thonnarat Pornsirirat, Nualnapa Kasemvilawan, Patcharavalia Pattanacharoenwong, Saisunee Arpibanwana, Hatairat Kondon, Thummaporn Naorungroj
{"title":"Incidence of hypothermia in critically ill patients receiving continuous renal replacement therapy in Siriraj Hospital, Thailand.","authors":"Thonnarat Pornsirirat, Nualnapa Kasemvilawan, Patcharavalia Pattanacharoenwong, Saisunee Arpibanwana, Hatairat Kondon, Thummaporn Naorungroj","doi":"10.4266/acc.2024.00038","DOIUrl":null,"url":null,"abstract":"<p><strong>Background: </strong>Hypothermia is a relatively common complication in patients receiving continuous renal replacement therapy (CRRT). However, few studies have reported the factors associated with hypothermia.</p><p><strong>Methods: </strong>A retrospective cohort study was performed in five intensive care units (ICUs) to evaluate the incidence of hypothermia and the predictive factors for developing hypothermia during CRRT, with hypothermia defined as a time-weighted average temperature <36 °C.</p><p><strong>Results: </strong>From January 2020 to December 2021, 300 patients were enrolled. Hypothermia developed in 23.7% of them within the first 24 hours after CRRT initiation. Compared to non-hypothermic patients, hypothermic patients were older and had lower body weight, more frequent acidemia, and higher ICU and 30-day mortality rates. In the multivariate analysis, age >70 years (odds ratio [OR], 2.59; 95% CI, 1.38-4.98; P=0.004), higher positive fluid balance on the day before CRRT (OR, 1.11; 95% CI, 1.02-1.22; P=0.02), and CRRT dose (OR, 1.003; 95% CI, 1.00-1.01; P=0.04) were significantly associated with hypothermia. Conversely, a higher body weight was independently associated with mitigated risk of hypothermia (OR, 0.89; 95% CI, 0.81-0.97; P=0.01). Moreover, a higher coefficient of variance of temperature was associated with greater ICU mortality (OR, 1.41; 95% CI, 1.13-1.78; P=0.003).</p><p><strong>Conclusions: </strong>Hypothermia during CRRT is a relatively common occurrence, and factors associated with hypothermia onset in the first 24 hours include older age, lower body weight, higher positive fluid balance on the day before CRRT, and higher CRRT dose. Greater temperature variability was associated with increased ICU mortality.</p>","PeriodicalId":44118,"journal":{"name":"Acute and Critical Care","volume":"39 3","pages":"379-389"},"PeriodicalIF":2.0000,"publicationDate":"2024-08-01","publicationTypes":"Journal Article","fieldsOfStudy":null,"isOpenAccess":false,"openAccessPdf":"https://www.ncbi.nlm.nih.gov/pmc/articles/PMC11392699/pdf/","citationCount":"0","resultStr":null,"platform":"Semanticscholar","paperid":null,"PeriodicalName":"Acute and Critical Care","FirstCategoryId":"1085","ListUrlMain":"https://doi.org/10.4266/acc.2024.00038","RegionNum":0,"RegionCategory":null,"ArticlePicture":[],"TitleCN":null,"AbstractTextCN":null,"PMCID":null,"EPubDate":"2024/8/12 0:00:00","PubModel":"Epub","JCR":"Q3","JCRName":"CRITICAL CARE MEDICINE","Score":null,"Total":0}
引用次数: 0

Abstract

Background: Hypothermia is a relatively common complication in patients receiving continuous renal replacement therapy (CRRT). However, few studies have reported the factors associated with hypothermia.

Methods: A retrospective cohort study was performed in five intensive care units (ICUs) to evaluate the incidence of hypothermia and the predictive factors for developing hypothermia during CRRT, with hypothermia defined as a time-weighted average temperature <36 °C.

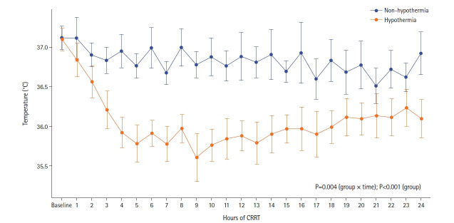
Results: From January 2020 to December 2021, 300 patients were enrolled. Hypothermia developed in 23.7% of them within the first 24 hours after CRRT initiation. Compared to non-hypothermic patients, hypothermic patients were older and had lower body weight, more frequent acidemia, and higher ICU and 30-day mortality rates. In the multivariate analysis, age >70 years (odds ratio [OR], 2.59; 95% CI, 1.38-4.98; P=0.004), higher positive fluid balance on the day before CRRT (OR, 1.11; 95% CI, 1.02-1.22; P=0.02), and CRRT dose (OR, 1.003; 95% CI, 1.00-1.01; P=0.04) were significantly associated with hypothermia. Conversely, a higher body weight was independently associated with mitigated risk of hypothermia (OR, 0.89; 95% CI, 0.81-0.97; P=0.01). Moreover, a higher coefficient of variance of temperature was associated with greater ICU mortality (OR, 1.41; 95% CI, 1.13-1.78; P=0.003).

Conclusions: Hypothermia during CRRT is a relatively common occurrence, and factors associated with hypothermia onset in the first 24 hours include older age, lower body weight, higher positive fluid balance on the day before CRRT, and higher CRRT dose. Greater temperature variability was associated with increased ICU mortality.

Abstract Image

Abstract Image

Abstract Image

泰国 Siriraj 医院接受持续肾脏替代疗法的重症患者体温过低的发生率。
背景:低体温是接受持续肾脏替代治疗(CRRT)的患者中比较常见的并发症。然而,很少有研究报告了与低体温相关的因素:在五个重症监护病房(ICU)开展了一项回顾性队列研究,评估低体温症的发生率以及在 CRRT 期间发生低体温症的预测因素,低体温症定义为时间加权平均温度:从 2020 年 1 月到 2021 年 12 月,共招募了 300 名患者。其中 23.7% 的患者在 CRRT 开始后的 24 小时内出现低体温。与非低体温患者相比,低体温患者年龄更大、体重更轻、酸血症更频繁、重症监护室死亡率和 30 天死亡率更高。在多变量分析中,年龄大于 70 岁(比值比 [OR],2.59;95% CI,1.38-4.98;P=0.004)、CRRT 前一天较高的正液体平衡(OR,1.11;95% CI,1.02-1.22;P=0.02)和 CRRT 剂量(OR,1.003;95% CI,1.00-1.01;P=0.04)与低体温显著相关。相反,体重越重,体温过低的风险越低(OR,0.89;95% CI,0.81-0.97;P=0.01)。此外,体温变异系数越高,ICU死亡率越高(OR,1.41;95% CI,1.13-1.78;P=0.003):CRRT期间低体温是一种相对常见的现象,与最初24小时内发生低体温相关的因素包括年龄较大、体重较轻、CRRT前一天体液正平衡较高以及CRRT剂量较高。体温变化较大与重症监护室死亡率增加有关。
本文章由计算机程序翻译,如有差异,请以英文原文为准。
求助全文
约1分钟内获得全文 求助全文
来源期刊
Acute and Critical Care
Acute and Critical Care CRITICAL CARE MEDICINE-
CiteScore
2.80
自引率
11.10%
发文量
87
审稿时长
12 weeks
×
引用
GB/T 7714-2015
复制
MLA
复制
APA
复制
导出至
BibTeX EndNote RefMan NoteFirst NoteExpress
×
提示
您的信息不完整,为了账户安全,请先补充。
现在去补充
×
提示
您因"违规操作"
具体请查看互助需知
我知道了
×
提示
确定
请完成安全验证×
copy
已复制链接
快去分享给好友吧!
我知道了
右上角分享
点击右上角分享
0
联系我们:info@booksci.cn Book学术提供免费学术资源搜索服务,方便国内外学者检索中英文文献。致力于提供最便捷和优质的服务体验。 Copyright © 2023 布克学术 All rights reserved.
京ICP备2023020795号-1
ghs 京公网安备 11010802042870号
Book学术文献互助
Book学术文献互助群
群 号:604180095
Book学术官方微信