Performance of the New CKD-EPI Creatinine-and Cystatin C-based Glomerular Filtration Rate Estimation Equation in Living Kidney Donor Candidate.

IF 1.9 Q3 TRANSPLANTATION
Transplantation Direct Pub Date : 2024-09-19 eCollection Date: 2024-10-01 DOI:10.1097/TXD.0000000000001712
Yoichi Kakuta, Yoko Maegawa-Higa, Soichi Matsumura, Shota Fukae, Ryo Tanaka, Hiroaki Yonishi, Shigeaki Nakazawa, Kazuaki Yamanaka, Yoshitaka Isaka, Norio Nonomura
{"title":"Performance of the New CKD-EPI Creatinine-and Cystatin C-based Glomerular Filtration Rate Estimation Equation in Living Kidney Donor Candidate.","authors":"Yoichi Kakuta, Yoko Maegawa-Higa, Soichi Matsumura, Shota Fukae, Ryo Tanaka, Hiroaki Yonishi, Shigeaki Nakazawa, Kazuaki Yamanaka, Yoshitaka Isaka, Norio Nonomura","doi":"10.1097/TXD.0000000000001712","DOIUrl":null,"url":null,"abstract":"<p><strong>Background: </strong>Accurate preoperative evaluation of renal function in living kidney donor candidates (LKDCs) is crucial to prevent kidney failure after nephrectomy. We examined the performance of various estimated glomerular filtration rate (eGFR) equations, including the new chronic kidney disease epidemiology collaboration (CKD-EPI) equation in LKDCs.</p><p><strong>Methods: </strong>We analyzed 752 LKDCs who were assessed for measured GFR by inulin clearance as part of routine pretransplant examination from 2006 to 2020. CKD-EPI2012 from cystatin C (CKD-EPI12cys), CKD-EPI2021 from creatinine (CKD-EPI21cr), CKD-EPI21cr-cys, Japanese modified (JPN) eGFRcr, and JPN eGFRcys were compared in determining the suitability for LKDCs.</p><p><strong>Results: </strong>CKD-EPI12cys had the lowest absolute and relative biases, with higher P<sub>30</sub> and P<sub>10</sub>, followed by JPN eGFRcys, CKD-EPI21cr, and CKD-EPI21cr-cys. The root mean square error was least for CKD-EPI12cys, then JPN eGFRcys, CKD-EPI21cr-cys, CKD-EPI21cr, and JPN eGFRcr. CKD-EPI21cr, CKD-EPI12cys, and CKD-EPI21cr-cys estimated GFR higher, whereas JPN eGFRcr estimated GFR lower. At the threshold of 90 mL/min/1.73 m<sup>2</sup>, CKD-EPI21cr had the highest percentage of misclassification at 37.37%, whereas JPN eGFRcr had the lowest percentage of misclassification at 6.91%. Using the age-adapted approach, JPN eGFRcr had the lowest percentage of misclassification into overestimation at 7.31%. All eGFR had >5.0%, and CKD-EPI21cr had the highest percentage of misclassification at 21.94%. Conversely, CKD-EPI21cr-cys had the lowest percentage of misclassification into underestimation at 3.19%, both at the threshold of 90 mL/min/1.73 m<sup>2</sup> and the age-adapted approach. JPN eGFRcr had the highest percentage at 33.38% and 40.69%, respectively.</p><p><strong>Conclusions: </strong>In evaluating the renal function of Japanese LKDCs, the new CKD-EPI equation had a lower rate of underestimation but a relatively high rate of overestimation. New GFR estimation formulas are needed to be tailored to each ethnic group to enhance the accuracy and reliability of donor selection processes.</p>","PeriodicalId":23225,"journal":{"name":"Transplantation Direct","volume":"10 10","pages":"e1712"},"PeriodicalIF":1.9000,"publicationDate":"2024-09-19","publicationTypes":"Journal Article","fieldsOfStudy":null,"isOpenAccess":false,"openAccessPdf":"https://www.ncbi.nlm.nih.gov/pmc/articles/PMC11415128/pdf/","citationCount":"0","resultStr":null,"platform":"Semanticscholar","paperid":null,"PeriodicalName":"Transplantation Direct","FirstCategoryId":"1085","ListUrlMain":"https://doi.org/10.1097/TXD.0000000000001712","RegionNum":0,"RegionCategory":null,"ArticlePicture":[],"TitleCN":null,"AbstractTextCN":null,"PMCID":null,"EPubDate":"2024/10/1 0:00:00","PubModel":"eCollection","JCR":"Q3","JCRName":"TRANSPLANTATION","Score":null,"Total":0}
引用次数: 0

Abstract

Background: Accurate preoperative evaluation of renal function in living kidney donor candidates (LKDCs) is crucial to prevent kidney failure after nephrectomy. We examined the performance of various estimated glomerular filtration rate (eGFR) equations, including the new chronic kidney disease epidemiology collaboration (CKD-EPI) equation in LKDCs.

Methods: We analyzed 752 LKDCs who were assessed for measured GFR by inulin clearance as part of routine pretransplant examination from 2006 to 2020. CKD-EPI2012 from cystatin C (CKD-EPI12cys), CKD-EPI2021 from creatinine (CKD-EPI21cr), CKD-EPI21cr-cys, Japanese modified (JPN) eGFRcr, and JPN eGFRcys were compared in determining the suitability for LKDCs.

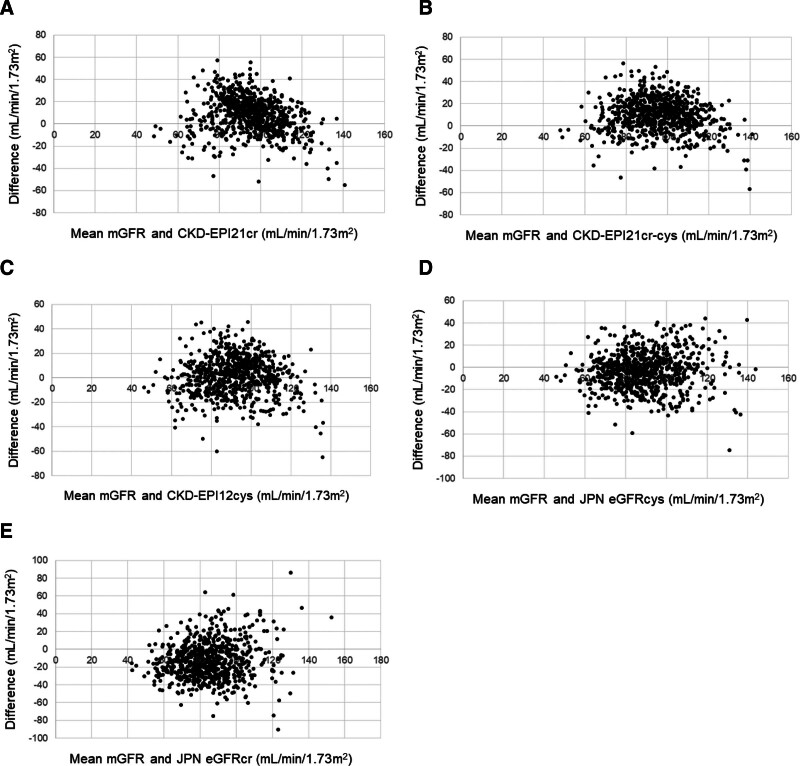
Results: CKD-EPI12cys had the lowest absolute and relative biases, with higher P30 and P10, followed by JPN eGFRcys, CKD-EPI21cr, and CKD-EPI21cr-cys. The root mean square error was least for CKD-EPI12cys, then JPN eGFRcys, CKD-EPI21cr-cys, CKD-EPI21cr, and JPN eGFRcr. CKD-EPI21cr, CKD-EPI12cys, and CKD-EPI21cr-cys estimated GFR higher, whereas JPN eGFRcr estimated GFR lower. At the threshold of 90 mL/min/1.73 m2, CKD-EPI21cr had the highest percentage of misclassification at 37.37%, whereas JPN eGFRcr had the lowest percentage of misclassification at 6.91%. Using the age-adapted approach, JPN eGFRcr had the lowest percentage of misclassification into overestimation at 7.31%. All eGFR had >5.0%, and CKD-EPI21cr had the highest percentage of misclassification at 21.94%. Conversely, CKD-EPI21cr-cys had the lowest percentage of misclassification into underestimation at 3.19%, both at the threshold of 90 mL/min/1.73 m2 and the age-adapted approach. JPN eGFRcr had the highest percentage at 33.38% and 40.69%, respectively.

Conclusions: In evaluating the renal function of Japanese LKDCs, the new CKD-EPI equation had a lower rate of underestimation but a relatively high rate of overestimation. New GFR estimation formulas are needed to be tailored to each ethnic group to enhance the accuracy and reliability of donor selection processes.

Abstract Image

基于肌酸酐和胱抑素 C 的新 CKD-EPI 肾小球滤过率估算公式在活体肾脏捐献者候选者中的性能。
背景:对活体肾脏捐献者候选人(LKDCs)的肾功能进行准确的术前评估对于防止肾切除术后出现肾衰竭至关重要。我们研究了各种估计肾小球滤过率(eGFR)方程的性能,包括新的慢性肾脏病流行病学协作(CKD-EPI)方程在活体肾脏捐献者中的性能:我们对 752 名 LKDC 进行了分析,这些 LKDC 在 2006 年至 2020 年期间接受了移植前常规检查,并通过菊粉清除率评估了 GFR 测量值。在确定 LKDCs 的适用性时,我们对来自胱抑素 C 的 CKD-EPI2012 (CKD-EPI12cys)、来自肌酐的 CKD-EPI2021 (CKD-EPI21cr)、CKD-EPI21cr-cys、日本改良 (JPN) eGFRcr 和 JPN eGFRcys 进行了比较:结果:CKD-EPI12cys的绝对偏差和相对偏差最小,P30和P10较高,其次是JPN eGFRcys、CKD-EPI21cr和CKD-EPI21cr-cys。均方根误差最小的是 CKD-EPI12cys,然后是 JPN eGFRcys、CKD-EPI21cr-cys、CKD-EPI21cr 和 JPN eGFRcr。CKD-EPI21cr、CKD-EPI12cys 和 CKD-EPI21cr-cys 估计的 GFR 较高,而 JPN eGFRcr 估计的 GFR 较低。在 90 mL/min/1.73 m2 临界值时,CKD-EPI21cr 的误诊率最高,为 37.37%,而 JPN eGFRcr 的误诊率最低,为 6.91%。使用年龄适应方法,日本太平洋网络的eGFRcr被误判为高估的比例最低,为7.31%。所有 eGFR 的误诊率都大于 5.0%,而 CKD-EPI21cr 的误诊率最高,为 21.94%。相反,CKD-EPI21cr-cys 在 90 mL/min/1.73 m2 临界值和年龄适应方法下,误诊为低估的比例最低,仅为 3.19%。日本的 eGFRcr 百分比最高,分别为 33.38% 和 40.69%:结论:在评估日本 LKDC 的肾功能时,新的 CKD-EPI 公式的低估率较低,但高估率相对较高。为了提高供体选择过程的准确性和可靠性,需要针对不同种族群体量身定制新的 GFR 估算公式。
本文章由计算机程序翻译,如有差异,请以英文原文为准。
求助全文
约1分钟内获得全文 求助全文
来源期刊
Transplantation Direct
Transplantation Direct TRANSPLANTATION-
CiteScore
3.40
自引率
4.30%
发文量
193
审稿时长
8 weeks
×
引用
GB/T 7714-2015
复制
MLA
复制
APA
复制
导出至
BibTeX EndNote RefMan NoteFirst NoteExpress
×
提示
您的信息不完整,为了账户安全,请先补充。
现在去补充
×
提示
您因"违规操作"
具体请查看互助需知
我知道了
×
提示
确定
请完成安全验证×
copy
已复制链接
快去分享给好友吧!
我知道了
右上角分享
点击右上角分享
0
联系我们:info@booksci.cn Book学术提供免费学术资源搜索服务,方便国内外学者检索中英文文献。致力于提供最便捷和优质的服务体验。 Copyright © 2023 布克学术 All rights reserved.
京ICP备2023020795号-1
ghs 京公网安备 11010802042870号
Book学术文献互助
Book学术文献互助群
群 号:604180095
Book学术官方微信