Real-World Clinical Outcomes and Treatment Patterns Among Black and Non-Black Patients With Prostate Cancer Initiated on Apalutamide in a Urology Setting.

IF 2.3 Q2 ECONOMICS
Journal of Health Economics and Outcomes Research Pub Date : 2024-08-19 eCollection Date: 2024-01-01 DOI:10.36469/001c.121233
Benjamin H Lowentritt, Carmine Rossi, Erik Muser, Frederic Kinkead, Bronwyn Moore, Patrick Lefebvre, Dominic Pilon, Shawn Du
{"title":"Real-World Clinical Outcomes and Treatment Patterns Among Black and Non-Black Patients With Prostate Cancer Initiated on Apalutamide in a Urology Setting.","authors":"Benjamin H Lowentritt, Carmine Rossi, Erik Muser, Frederic Kinkead, Bronwyn Moore, Patrick Lefebvre, Dominic Pilon, Shawn Du","doi":"10.36469/001c.121233","DOIUrl":null,"url":null,"abstract":"<p><p><b>Background:</b> The use of androgen receptor signaling inhibitors, including apalutamide, in combination with androgen deprivation therapy is recommended for the treatment of metastatic castration-sensitive prostate cancer (mCSPC) and non-metastatic castration-resistant prostate cancer (nmCRPC). <b>Objective:</b> To describe real-world treatment patterns and clinical outcomes among patients with mCSPC or nmCRPC who initiated apalutamide in the United States. <b>Methods:</b> A retrospective cohort study of patients with mCSPC or nmCRPC who initiated apalutamide was conducted using electronic medical record data from US community-based urology practices (Feb. 1, 2017-April 1, 2022). Persistence with apalutamide was reported at 6-, 12-, and 18-months post treatment initiation. Clinical outcomes described up to 24 months after apalutamide initiation using Kaplan-Meier analyses included progression to castration resistance, castration resistance-free survival (CRFS), and metastasis-free survival (MFS). Outcomes were reported separately based on mCSPC or nmCRPC status and race (ie, Black or non-Black). <b>Results:</b> This study included 589 patients with mCSPC (mean age, 75.9 years) and 406 patients with nmCRPC (mean age, 78.8 years). Using a treatment gap of >90 days, persistence with apalutamide at 12 months remained high for both the mCSPC (94.9%) and nmCRPC (92.7%) cohorts, and results were descriptively similar among Black and non-Black patients, and when a treatment gap of >60 days was considered. In patients with mCSPC, overall progression to castration resistance rates at 12 and 24 months were 20.9% and 33.5%, and overall CRFS rates were 76.2% and 62.0%, respectively. In patients with nmCRPC, overall MFS rates at 12 and 24 months were 89.7% and 75.4%, respectively. Rates of these clinical outcomes were descriptively similar between Black and non-Black patients. <b>Discussion:</b> While clinical trials have demonstrated the efficacy and safety of apalutamide, there is limited real-world data describing treatment persistence and clinical outcomes among patients with mCSPC and nmCRPC who initiated apalutamide. <b>Conclusions:</b> In this real-world study of patients with mCSPC or nmCRPC initiated on apalutamide, treatment persistence was high and apalutamide demonstrated robust real-world effectiveness with respect to progression to castration resistance, CRFS, and MFS, overall and among Black and non-Black patients.</p>","PeriodicalId":16012,"journal":{"name":"Journal of Health Economics and Outcomes Research","volume":"11 2","pages":"41-48"},"PeriodicalIF":2.3000,"publicationDate":"2024-08-19","publicationTypes":"Journal Article","fieldsOfStudy":null,"isOpenAccess":false,"openAccessPdf":"https://www.ncbi.nlm.nih.gov/pmc/articles/PMC11392484/pdf/","citationCount":"0","resultStr":null,"platform":"Semanticscholar","paperid":null,"PeriodicalName":"Journal of Health Economics and Outcomes Research","FirstCategoryId":"1085","ListUrlMain":"https://doi.org/10.36469/001c.121233","RegionNum":0,"RegionCategory":null,"ArticlePicture":[],"TitleCN":null,"AbstractTextCN":null,"PMCID":null,"EPubDate":"2024/1/1 0:00:00","PubModel":"eCollection","JCR":"Q2","JCRName":"ECONOMICS","Score":null,"Total":0}
引用次数: 0

Abstract

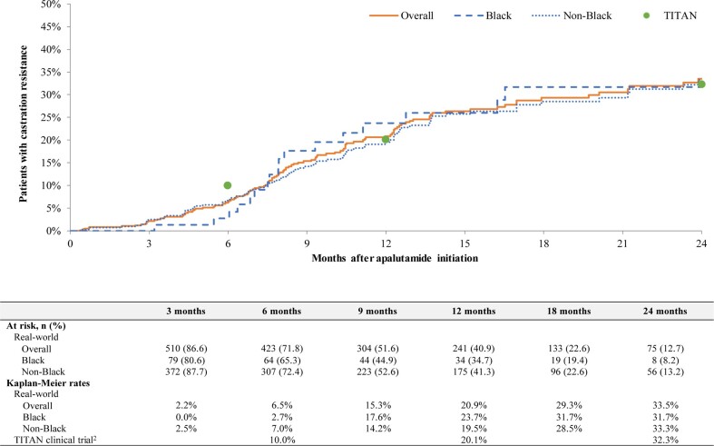
Background: The use of androgen receptor signaling inhibitors, including apalutamide, in combination with androgen deprivation therapy is recommended for the treatment of metastatic castration-sensitive prostate cancer (mCSPC) and non-metastatic castration-resistant prostate cancer (nmCRPC). Objective: To describe real-world treatment patterns and clinical outcomes among patients with mCSPC or nmCRPC who initiated apalutamide in the United States. Methods: A retrospective cohort study of patients with mCSPC or nmCRPC who initiated apalutamide was conducted using electronic medical record data from US community-based urology practices (Feb. 1, 2017-April 1, 2022). Persistence with apalutamide was reported at 6-, 12-, and 18-months post treatment initiation. Clinical outcomes described up to 24 months after apalutamide initiation using Kaplan-Meier analyses included progression to castration resistance, castration resistance-free survival (CRFS), and metastasis-free survival (MFS). Outcomes were reported separately based on mCSPC or nmCRPC status and race (ie, Black or non-Black). Results: This study included 589 patients with mCSPC (mean age, 75.9 years) and 406 patients with nmCRPC (mean age, 78.8 years). Using a treatment gap of >90 days, persistence with apalutamide at 12 months remained high for both the mCSPC (94.9%) and nmCRPC (92.7%) cohorts, and results were descriptively similar among Black and non-Black patients, and when a treatment gap of >60 days was considered. In patients with mCSPC, overall progression to castration resistance rates at 12 and 24 months were 20.9% and 33.5%, and overall CRFS rates were 76.2% and 62.0%, respectively. In patients with nmCRPC, overall MFS rates at 12 and 24 months were 89.7% and 75.4%, respectively. Rates of these clinical outcomes were descriptively similar between Black and non-Black patients. Discussion: While clinical trials have demonstrated the efficacy and safety of apalutamide, there is limited real-world data describing treatment persistence and clinical outcomes among patients with mCSPC and nmCRPC who initiated apalutamide. Conclusions: In this real-world study of patients with mCSPC or nmCRPC initiated on apalutamide, treatment persistence was high and apalutamide demonstrated robust real-world effectiveness with respect to progression to castration resistance, CRFS, and MFS, overall and among Black and non-Black patients.

Abstract Image

Abstract Image

Abstract Image

在泌尿外科环境中,黑人和非黑人前列腺癌患者开始使用阿帕鲁胺的实际临床结果和治疗模式。
背景:建议使用雄激素受体信号转导抑制剂(包括阿帕鲁胺)联合雄激素剥夺疗法治疗转移性阉割敏感性前列腺癌(mCSPC)和非转移性阉割耐药前列腺癌(nmCRPC)。目的描述美国接受阿帕鲁胺治疗的mCSPC或nmCRPC患者的实际治疗模式和临床结果。方法:进行一项回顾性队列研究:利用美国社区泌尿科诊所的电子病历数据(2017年2月1日至2022年4月1日),对开始使用阿帕鲁胺的mCSPC或nmCRPC患者进行了一项回顾性队列研究。在开始治疗后的6个月、12个月和18个月报告了阿帕鲁胺的持续治疗情况。采用卡普兰-梅厄分析法对阿帕鲁胺开始治疗后24个月内的临床结果进行了描述,包括进展为阉割抵抗、无阉割抵抗生存期(CRFS)和无转移生存期(MFS)。根据 mCSPC 或 nmCRPC 状态和种族(即黑人或非黑人)分别报告结果。结果:本研究纳入了 589 名 mCSPC 患者(平均年龄 75.9 岁)和 406 名 nmCRPC 患者(平均年龄 78.8 岁)。在治疗间隔大于90天的情况下,mCSPC(94.9%)和nmCRPC(92.7%)患者在12个月内持续服用阿帕鲁胺的比例仍然很高,黑人和非黑人患者的描述性结果相似,在治疗间隔大于60天的情况下也是如此。在mCSPC患者中,12个月和24个月后出现阉割抵抗的总体进展率分别为20.9%和33.5%,总体CRFS率分别为76.2%和62.0%。在nmCRPC患者中,12个月和24个月的总体MFS率分别为89.7%和75.4%。黑人和非黑人患者的这些临床结果的比率在描述上相似。讨论:虽然临床试验证明了阿帕鲁胺的疗效和安全性,但描述开始使用阿帕鲁胺的mCSPC和nmCRPC患者的治疗持续性和临床结果的实际数据却很有限。结论:在这项针对开始接受阿帕鲁胺治疗的mCSPC或nmCRPC患者的真实世界研究中,阿帕鲁胺的治疗持续率很高,而且在进展为阉割抵抗、CRFS和MFS方面,阿帕鲁胺在总体上以及黑人和非黑人患者中都表现出了很强的真实世界有效性。
本文章由计算机程序翻译,如有差异,请以英文原文为准。
求助全文
约1分钟内获得全文 求助全文
来源期刊
CiteScore
3.00
自引率
0.00%
发文量
55
审稿时长
10 weeks
×
引用
GB/T 7714-2015
复制
MLA
复制
APA
复制
导出至
BibTeX EndNote RefMan NoteFirst NoteExpress
×
提示
您的信息不完整,为了账户安全,请先补充。
现在去补充
×
提示
您因"违规操作"
具体请查看互助需知
我知道了
×
提示
确定
请完成安全验证×
copy
已复制链接
快去分享给好友吧!
我知道了
右上角分享
点击右上角分享
0
联系我们:info@booksci.cn Book学术提供免费学术资源搜索服务,方便国内外学者检索中英文文献。致力于提供最便捷和优质的服务体验。 Copyright © 2023 布克学术 All rights reserved.
京ICP备2023020795号-1
ghs 京公网安备 11010802042870号
Book学术文献互助
Book学术文献互助群
群 号:604180095
Book学术官方微信