Causes of Excess Mortality in Diabetes Patients Without Coronary Artery Disease: A Cohort Study Revealing Endocrinologic Contributions.

IF 3.2 2区 医学 Q1 PUBLIC, ENVIRONMENTAL & OCCUPATIONAL HEALTH
Clinical Epidemiology Pub Date : 2024-09-03 eCollection Date: 2024-01-01 DOI:10.2147/CLEP.S463363
Guilian Birindwa, Michael Maeng, Pernille Gro Thrane, Christine Gyldenkerne, Reimar Wernich Thomsen, Kevin Kris Warnakula Olesen
{"title":"Causes of Excess Mortality in Diabetes Patients Without Coronary Artery Disease: A Cohort Study Revealing Endocrinologic Contributions.","authors":"Guilian Birindwa, Michael Maeng, Pernille Gro Thrane, Christine Gyldenkerne, Reimar Wernich Thomsen, Kevin Kris Warnakula Olesen","doi":"10.2147/CLEP.S463363","DOIUrl":null,"url":null,"abstract":"<p><strong>Background: </strong>Diabetes mellitus (DM) patients without coronary artery disease (CAD) have a higher all-cause mortality rate than patients with neither DM nor CAD. We examined cause-specific death of DM patients with and without CAD.</p><p><strong>Methods: </strong>We conducted a cohort study of all patients who underwent CAG in Western Denmark between 2003 and 2016. Using Danish health registries, patients were followed for a maximum of 10 years and stratified according to their DM and CAD status. Outcomes included all-cause-, cancer-, circulatory-, and endocrinologic death. Ten-year cumulative risks were computed as well as adjusted and unadjusted hazard ratios (aHR and HR).</p><p><strong>Results: </strong>A total of 132,432 patients (28,524 deaths, median follow-up of 6.2 years) were included. Compared to patients with neither DM nor CAD, DM patients without CAD had a higher 10-year risk of all-cause death (27.9% versus 19.7%, aHR 1.43 [95% CI 1.35-1.52]), cancer death (7.2% versus 5.4%, aHR 1.29 [95% CI 1.15-1.46]), circulatory death (9.1% versus 6.9%, aHR 1.35 [95% CI 1.22-1.49]), and endocrinologic death (3.9% versus 0.3%, aHR 14.02 [95% CI 10.95-17.95]). Among endocrinologic deaths, 87% were due to classical complications of DM, such as diabetic nephropathy and ketoacidosis, in DM patients without CAD.</p><p><strong>Conclusion: </strong>Diabetes patients without CAD exhibit a higher risk of all-cause mortality, driven primarily by elevated rates of cancer, circulatory, and endocrinologic deaths, particularly related to diabetic microvascular complications.</p>","PeriodicalId":10362,"journal":{"name":"Clinical Epidemiology","volume":"16 ","pages":"571-585"},"PeriodicalIF":3.2000,"publicationDate":"2024-09-03","publicationTypes":"Journal Article","fieldsOfStudy":null,"isOpenAccess":false,"openAccessPdf":"https://www.ncbi.nlm.nih.gov/pmc/articles/PMC11380490/pdf/","citationCount":"0","resultStr":null,"platform":"Semanticscholar","paperid":null,"PeriodicalName":"Clinical Epidemiology","FirstCategoryId":"3","ListUrlMain":"https://doi.org/10.2147/CLEP.S463363","RegionNum":2,"RegionCategory":"医学","ArticlePicture":[],"TitleCN":null,"AbstractTextCN":null,"PMCID":null,"EPubDate":"2024/1/1 0:00:00","PubModel":"eCollection","JCR":"Q1","JCRName":"PUBLIC, ENVIRONMENTAL & OCCUPATIONAL HEALTH","Score":null,"Total":0}
引用次数: 0

Abstract

Background: Diabetes mellitus (DM) patients without coronary artery disease (CAD) have a higher all-cause mortality rate than patients with neither DM nor CAD. We examined cause-specific death of DM patients with and without CAD.

Methods: We conducted a cohort study of all patients who underwent CAG in Western Denmark between 2003 and 2016. Using Danish health registries, patients were followed for a maximum of 10 years and stratified according to their DM and CAD status. Outcomes included all-cause-, cancer-, circulatory-, and endocrinologic death. Ten-year cumulative risks were computed as well as adjusted and unadjusted hazard ratios (aHR and HR).

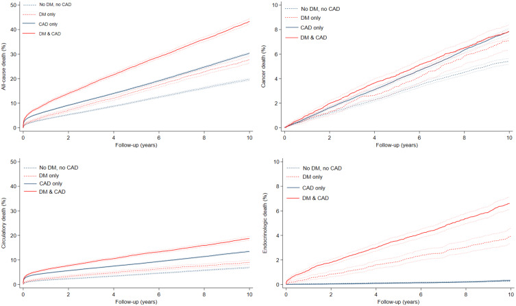
Results: A total of 132,432 patients (28,524 deaths, median follow-up of 6.2 years) were included. Compared to patients with neither DM nor CAD, DM patients without CAD had a higher 10-year risk of all-cause death (27.9% versus 19.7%, aHR 1.43 [95% CI 1.35-1.52]), cancer death (7.2% versus 5.4%, aHR 1.29 [95% CI 1.15-1.46]), circulatory death (9.1% versus 6.9%, aHR 1.35 [95% CI 1.22-1.49]), and endocrinologic death (3.9% versus 0.3%, aHR 14.02 [95% CI 10.95-17.95]). Among endocrinologic deaths, 87% were due to classical complications of DM, such as diabetic nephropathy and ketoacidosis, in DM patients without CAD.

Conclusion: Diabetes patients without CAD exhibit a higher risk of all-cause mortality, driven primarily by elevated rates of cancer, circulatory, and endocrinologic deaths, particularly related to diabetic microvascular complications.

Abstract Image

Abstract Image

Abstract Image

无冠状动脉疾病的糖尿病患者死亡率过高的原因:揭示内分泌因素的队列研究
背景:无冠状动脉疾病(CAD)的糖尿病(DM)患者的全因死亡率高于既无DM也无CAD的患者。我们研究了患有和未患有冠状动脉疾病的糖尿病患者的特定死因:我们对 2003 年至 2016 年期间在丹麦西部接受 CAG 的所有患者进行了一项队列研究。通过丹麦健康登记处,我们对患者进行了最长达 10 年的随访,并根据他们的 DM 和 CAD 状态进行了分层。结果包括全因死亡、癌症死亡、循环系统死亡和内分泌死亡。研究人员计算了十年累积风险以及调整和未调整的危险比(aHR 和 HR):共纳入 132432 例患者(死亡 28524 例,中位随访时间为 6.2 年)。与既没有糖尿病也没有冠状动脉粥样硬化的患者相比,没有冠状动脉粥样硬化的糖尿病患者的全因死亡(27.9% 对 19.7%,aHR 1.43 [95% CI 1.35-1.52])、癌症死亡(7.2% 对 5.4%,aHR 1.29 [95% CI 1.15-1.46])、循环系统死亡(9.1% 对 6.9%,aHR 1.35 [95% CI 1.22-1.49])和内分泌死亡(3.9% 对 0.3%,aHR 14.02 [95% CI 10.95-17.95])。在内分泌死亡病例中,87%是由于糖尿病肾病和酮症酸中毒等传统的糖尿病并发症造成的,而无 CAD 的糖尿病患者则是由于糖尿病肾病和酮症酸中毒造成的:结论:无 CAD 的糖尿病患者全因死亡的风险较高,主要原因是癌症、循环系统和内分泌死亡的比例升高,尤其是与糖尿病微血管并发症有关的死亡。
本文章由计算机程序翻译,如有差异,请以英文原文为准。
求助全文
约1分钟内获得全文 求助全文
来源期刊
Clinical Epidemiology
Clinical Epidemiology Medicine-Epidemiology
CiteScore
6.30
自引率
5.10%
发文量
169
审稿时长
16 weeks
期刊介绍: Clinical Epidemiology is an international, peer reviewed, open access journal. Clinical Epidemiology focuses on the application of epidemiological principles and questions relating to patients and clinical care in terms of prevention, diagnosis, prognosis, and treatment. Clinical Epidemiology welcomes papers covering these topics in form of original research and systematic reviews. Clinical Epidemiology has a special interest in international electronic medical patient records and other routine health care data, especially as applied to safety of medical interventions, clinical utility of diagnostic procedures, understanding short- and long-term clinical course of diseases, clinical epidemiological and biostatistical methods, and systematic reviews. When considering submission of a paper utilizing publicly-available data, authors should ensure that such studies add significantly to the body of knowledge and that they use appropriate validated methods for identifying health outcomes. The journal has launched special series describing existing data sources for clinical epidemiology, international health care systems and validation studies of algorithms based on databases and registries.
×
引用
GB/T 7714-2015
复制
MLA
复制
APA
复制
导出至
BibTeX EndNote RefMan NoteFirst NoteExpress
×
提示
您的信息不完整,为了账户安全,请先补充。
现在去补充
×
提示
您因"违规操作"
具体请查看互助需知
我知道了
×
提示
确定
请完成安全验证×
copy
已复制链接
快去分享给好友吧!
我知道了
右上角分享
点击右上角分享
0
联系我们:info@booksci.cn Book学术提供免费学术资源搜索服务,方便国内外学者检索中英文文献。致力于提供最便捷和优质的服务体验。 Copyright © 2023 布克学术 All rights reserved.
京ICP备2023020795号-1
ghs 京公网安备 11010802042870号
Book学术文献互助
Book学术文献互助群
群 号:604180095
Book学术官方微信