Refractive surgery to correct visual impairments in 267 children with autism spectrum and related neuro-developmental disorders: improvements in vision and behavior.

Q2 Medicine
Margaret Reynolds, Nicholas Faron, James Hoekel, Lawrence Tychsen
{"title":"Refractive surgery to correct visual impairments in 267 children with autism spectrum and related neuro-developmental disorders: improvements in vision and behavior.","authors":"Margaret Reynolds, Nicholas Faron, James Hoekel, Lawrence Tychsen","doi":"10.51329/mehdiophthal1499","DOIUrl":null,"url":null,"abstract":"<p><strong>Background: </strong>Children with autism spectrum disorder (ASD) may have impaired vision owing to high refractive errors and aversion to spectacles or contact lenses. Visual blurring is caused by near-sighted myopia, far-sighted hyperopia, or astigmatism in one or both eyes. Refractive surgery can restore sharp vision and eliminate the need for spectacles and contact lenses. Restoration of sharp vision may improve ASD behavior. We aimed to determine the refractive outcomes in this cohort using ophthalmic measures and behavioral and school performance alterations after refractive surgery by employing parent-proxy reports.</p><p><strong>Methods: </strong>This interventional, retrospective case series included data from 267 children with refractive errors and neurodevelopmental disorders (NDDs) diagnosed as ASD alone or NDD with ASD-like behaviors over a 15-year period. One of three refractive surgery methods was employed, with the choice of method uniquely tailored to the child's eye anatomy. Laser photorefractive keratectomy (PRK) was performed in 131 children, implantation of a phakic intraocular lens (pIOL) in 115 children, and removal of the crystalline lens and implantation of an intraocular lens (refractive lens exchange, RLE) in 21 children. All procedures were performed under brief general anesthesia, with the child returning home on the same day.</p><p><strong>Results: </strong>The median age at surgery was 10.9 years and the median follow-up period was 3.1 years. Pre-operative refractive errors ranged from a mean (standard deviation) +7.5 (0.09) D to -14.3 (4.8) D. Surgery corrected 87% of the children to normal focal length (± 1 D). Visual acuity improved an average of 0.6 logarithm of the minimum angle of resolution, the equivalent of 6 lines on a standard eye chart. Change in visual acuity was significant (all <i>P</i> < 0.01) between baseline and the most recent follow-up examination in each of subgroups. Change in spherical equivalent refractive error at 3, 12, 24, 36, 60, and > 60 months post-operatively were significant (all <i>P</i> < 0.01) between baseline and each follow-up visit in each of subgroups. Social interactions and ASD behaviors improved in 72% (192) of the treated children (<i>P</i> < 0.01). The incidence of sight-threatening complications was low.</p><p><strong>Conclusions: </strong>Refractive surgery improves both visual function and behavior in most children with ASD and major myopia, hyperopia, or astigmatism. The PRK, pIOL, and RLE procedures appear to be effective and reasonably safe methods for improving refractive error, visual acuity, and behavior in many ametropic children with ASD and ASD-like NDDs.</p>","PeriodicalId":36524,"journal":{"name":"Medical Hypothesis, Discovery, and Innovation in Ophthalmology","volume":"13 2","pages":"88-95"},"PeriodicalIF":0.0000,"publicationDate":"2024-08-14","publicationTypes":"Journal Article","fieldsOfStudy":null,"isOpenAccess":false,"openAccessPdf":"https://www.ncbi.nlm.nih.gov/pmc/articles/PMC11347953/pdf/","citationCount":"0","resultStr":null,"platform":"Semanticscholar","paperid":null,"PeriodicalName":"Medical Hypothesis, Discovery, and Innovation in Ophthalmology","FirstCategoryId":"1085","ListUrlMain":"https://doi.org/10.51329/mehdiophthal1499","RegionNum":0,"RegionCategory":null,"ArticlePicture":[],"TitleCN":null,"AbstractTextCN":null,"PMCID":null,"EPubDate":"2024/1/1 0:00:00","PubModel":"eCollection","JCR":"Q2","JCRName":"Medicine","Score":null,"Total":0}
引用次数: 0

Abstract

Background: Children with autism spectrum disorder (ASD) may have impaired vision owing to high refractive errors and aversion to spectacles or contact lenses. Visual blurring is caused by near-sighted myopia, far-sighted hyperopia, or astigmatism in one or both eyes. Refractive surgery can restore sharp vision and eliminate the need for spectacles and contact lenses. Restoration of sharp vision may improve ASD behavior. We aimed to determine the refractive outcomes in this cohort using ophthalmic measures and behavioral and school performance alterations after refractive surgery by employing parent-proxy reports.

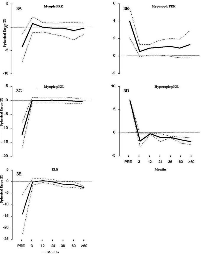
Methods: This interventional, retrospective case series included data from 267 children with refractive errors and neurodevelopmental disorders (NDDs) diagnosed as ASD alone or NDD with ASD-like behaviors over a 15-year period. One of three refractive surgery methods was employed, with the choice of method uniquely tailored to the child's eye anatomy. Laser photorefractive keratectomy (PRK) was performed in 131 children, implantation of a phakic intraocular lens (pIOL) in 115 children, and removal of the crystalline lens and implantation of an intraocular lens (refractive lens exchange, RLE) in 21 children. All procedures were performed under brief general anesthesia, with the child returning home on the same day.

Results: The median age at surgery was 10.9 years and the median follow-up period was 3.1 years. Pre-operative refractive errors ranged from a mean (standard deviation) +7.5 (0.09) D to -14.3 (4.8) D. Surgery corrected 87% of the children to normal focal length (± 1 D). Visual acuity improved an average of 0.6 logarithm of the minimum angle of resolution, the equivalent of 6 lines on a standard eye chart. Change in visual acuity was significant (all P < 0.01) between baseline and the most recent follow-up examination in each of subgroups. Change in spherical equivalent refractive error at 3, 12, 24, 36, 60, and > 60 months post-operatively were significant (all P < 0.01) between baseline and each follow-up visit in each of subgroups. Social interactions and ASD behaviors improved in 72% (192) of the treated children (P < 0.01). The incidence of sight-threatening complications was low.

Conclusions: Refractive surgery improves both visual function and behavior in most children with ASD and major myopia, hyperopia, or astigmatism. The PRK, pIOL, and RLE procedures appear to be effective and reasonably safe methods for improving refractive error, visual acuity, and behavior in many ametropic children with ASD and ASD-like NDDs.

Abstract Image

Abstract Image

Abstract Image

为 267 名患有自闭症谱系障碍和相关神经发育障碍的儿童实施屈光手术矫正视力障碍:改善视力和行为。
背景:患有自闭症谱系障碍(ASD)的儿童可能会因屈光不正和对眼镜或隐形眼镜的厌恶而导致视力受损。视力模糊的原因是单眼或双眼近视、远视或散光。屈光手术可以恢复敏锐的视力,不再需要佩戴眼镜和隐形眼镜。恢复敏锐视力可改善 ASD 行为。我们的目的是通过眼科测量方法确定该组患者的屈光治疗效果,并通过家长代理报告确定屈光手术后行为和学习成绩的改变:该干预性、回顾性病例系列包括267名患有屈光不正和神经发育障碍(NDD)的儿童的数据,这些儿童在15年期间被诊断为单纯ASD或NDD伴有类似ASD的行为。他们采用了三种屈光手术方法中的一种,并根据儿童的眼部解剖结构选择了独特的方法。131 名儿童接受了激光光屈光性角膜切除术(PRK),115 名儿童接受了角膜内人工晶体植入术(pIOL),21 名儿童接受了晶体摘除和人工晶体植入术(屈光性晶状体置换术,RLE)。所有手术均在简短的全身麻醉下进行,患儿当天即可回家:手术年龄中位数为 10.9 岁,随访时间中位数为 3.1 年。术前屈光不正从平均值(标准差)+7.5 (0.09) D到-14.3 (4.8) D不等。手术将87%的儿童矫正到正常焦距(± 1 D)。视力平均提高了最小分辨角的 0.6 对数,相当于标准眼图上的 6 行。在每个亚组中,基线与最近一次随访检查之间的视力变化都很明显(所有 P 均小于 0.01)。术后 3、12、24、36、60 个月和超过 60 个月时,每个亚组的球面等效屈光度数在基线和每次随访之间的变化均有显著性(所有 P 均小于 0.01)。72%(192 名)接受治疗的儿童的社交互动和自闭症行为得到改善(P < 0.01)。威胁视力的并发症发生率很低:结论:对于大多数患有严重近视、远视或散光的 ASD 儿童来说,屈光手术可改善他们的视觉功能和行为。PRK、pIOL和RLE手术似乎是改善屈光不正、视力和行为的有效且相当安全的方法,适用于许多患有ASD和类似ASD的NDD的各向异性儿童。
本文章由计算机程序翻译,如有差异,请以英文原文为准。
求助全文
约1分钟内获得全文 求助全文
来源期刊
CiteScore
2.00
自引率
0.00%
发文量
19
×
引用
GB/T 7714-2015
复制
MLA
复制
APA
复制
导出至
BibTeX EndNote RefMan NoteFirst NoteExpress
×
提示
您的信息不完整,为了账户安全,请先补充。
现在去补充
×
提示
您因"违规操作"
具体请查看互助需知
我知道了
×
提示
确定
请完成安全验证×
copy
已复制链接
快去分享给好友吧!
我知道了
右上角分享
点击右上角分享
0
联系我们:info@booksci.cn Book学术提供免费学术资源搜索服务,方便国内外学者检索中英文文献。致力于提供最便捷和优质的服务体验。 Copyright © 2023 布克学术 All rights reserved.
京ICP备2023020795号-1
ghs 京公网安备 11010802042870号
Book学术文献互助
Book学术文献互助群
群 号:604180095
Book学术官方微信