Silver Nanoparticles as Catalysts of Foeniculum vulgare L. Callus Formation and Its Content of Vitamins and some Fatty Acids.

IF 1.5 4区 生物学 Q4 BIOTECHNOLOGY & APPLIED MICROBIOLOGY
Anwaar Fakhre Al-Taee, Hikmat Mustafa Masyeb, Safaa M Bilal, Raghad Mohammed Abdullah
{"title":"Silver Nanoparticles as Catalysts of <i>Foeniculum vulgare</i> L. Callus Formation and Its Content of Vitamins and some Fatty Acids.","authors":"Anwaar Fakhre Al-Taee, Hikmat Mustafa Masyeb, Safaa M Bilal, Raghad Mohammed Abdullah","doi":"10.30498/ijb.2024.420812.3814","DOIUrl":null,"url":null,"abstract":"<p><strong>Background: </strong>Plants are a precious resource of a wide range of secondary metabolites, that are benefitted as flavours, pharmaceuticals, colours, colognes, food additives and also biopesticides.</p><p><strong>Objective: </strong>The current study tested the impact of silver nanoparticles (AgNPs) on <i>Foeniculum vulgare</i>.</p><p><strong>Materials and methods: </strong><i>Foeniculum vulgare</i> seeds were surface sterilized, Vital leaf pieces are grown on MS media including diverse mixtures of plant growth regulators, the special effects of AgNPs plus PGRs on callus propagation were evaluated, and separated compounds of fatty acid and vitamins were identified.</p><p><strong>Results: </strong>Outcomes revealed that several intensities of AgNPs expressively influenced the callus propagation and significantly raised the callus biomass with combination including the plant growth regulators. Highest fresh (7.32 g.L<sup>-1</sup>) biomass addition of callus was remarked on the media elevated <i>in vitro</i> at 20 ppm AgNPs combined with (2 mg.L<sup>-1</sup> 2,4-D) and results noted that the callus appeared compact and greenish in colour with 40 ppm AgNPs in combination with (2 mg.L<sup>-1</sup> 2,4-D). The results elucidated the amplification of the value of both fatty acids (stearic acid (47.85 %), oleic acid (189.28 %), Linoleic (6.34 %) and Linolenic (0.83 %)), and vitamins (Vitamin E (8.99 U.mg-1) and vitamin A (27.19 U.mg-1) by using MS + 2,4-D (2 mg.L<sup>-1</sup>) + AgNPs (20ppm).</p><p><strong>Conclusion: </strong>Application of a combination of AgNPs along with PGRs led to callus proliferation in <i>Foeniculum vulgare</i> L. <i>In vitro</i>. But, the unaccompanied use of AgNPs was originate inductive in the biosynthesis of greater quantities of special fatty acids and vitamin metabolites.</p>","PeriodicalId":14492,"journal":{"name":"Iranian Journal of Biotechnology","volume":"22 2","pages":"e3814"},"PeriodicalIF":1.5000,"publicationDate":"2024-04-01","publicationTypes":"Journal Article","fieldsOfStudy":null,"isOpenAccess":false,"openAccessPdf":"https://www.ncbi.nlm.nih.gov/pmc/articles/PMC11364929/pdf/","citationCount":"0","resultStr":null,"platform":"Semanticscholar","paperid":null,"PeriodicalName":"Iranian Journal of Biotechnology","FirstCategoryId":"5","ListUrlMain":"https://doi.org/10.30498/ijb.2024.420812.3814","RegionNum":4,"RegionCategory":"生物学","ArticlePicture":[],"TitleCN":null,"AbstractTextCN":null,"PMCID":null,"EPubDate":"","PubModel":"","JCR":"Q4","JCRName":"BIOTECHNOLOGY & APPLIED MICROBIOLOGY","Score":null,"Total":0}
引用次数: 0

Abstract

Background: Plants are a precious resource of a wide range of secondary metabolites, that are benefitted as flavours, pharmaceuticals, colours, colognes, food additives and also biopesticides.

Objective: The current study tested the impact of silver nanoparticles (AgNPs) on Foeniculum vulgare.

Materials and methods: Foeniculum vulgare seeds were surface sterilized, Vital leaf pieces are grown on MS media including diverse mixtures of plant growth regulators, the special effects of AgNPs plus PGRs on callus propagation were evaluated, and separated compounds of fatty acid and vitamins were identified.

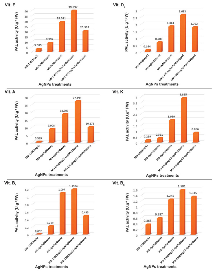
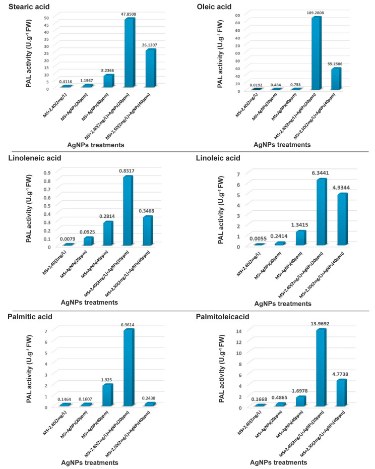
Results: Outcomes revealed that several intensities of AgNPs expressively influenced the callus propagation and significantly raised the callus biomass with combination including the plant growth regulators. Highest fresh (7.32 g.L-1) biomass addition of callus was remarked on the media elevated in vitro at 20 ppm AgNPs combined with (2 mg.L-1 2,4-D) and results noted that the callus appeared compact and greenish in colour with 40 ppm AgNPs in combination with (2 mg.L-1 2,4-D). The results elucidated the amplification of the value of both fatty acids (stearic acid (47.85 %), oleic acid (189.28 %), Linoleic (6.34 %) and Linolenic (0.83 %)), and vitamins (Vitamin E (8.99 U.mg-1) and vitamin A (27.19 U.mg-1) by using MS + 2,4-D (2 mg.L-1) + AgNPs (20ppm).

Conclusion: Application of a combination of AgNPs along with PGRs led to callus proliferation in Foeniculum vulgare L. In vitro. But, the unaccompanied use of AgNPs was originate inductive in the biosynthesis of greater quantities of special fatty acids and vitamin metabolites.

Abstract Image

Abstract Image

Abstract Image

纳米银颗粒作为茴香胼胝体形成的催化剂及其维生素和某些脂肪酸的含量
背景:植物是多种次级代谢产物的宝贵资源,可用作香料、药品、色素、古龙水、食品添加剂和生物农药:本研究测试了银纳米粒子(AgNPs)对茴香的影响:对茴香种子进行表面消毒,在含有多种植物生长调节剂混合物的 MS 培养基上培育活力叶片,评估 AgNPs 加 PGRs 对胼胝体繁殖的特殊效果,并鉴定脂肪酸和维生素的分离化合物:结果表明,几种浓度的 AgNPs 对胼胝体的繁殖有明显影响,与植物生长调节剂的组合能显著提高胼胝体的生物量。在 20 ppm AgNPs 与(2 mg.L-1 2,4-D)结合的离体培养基上,胼胝体的新鲜生物量增加最高(7.32 g.L-1),结果表明,在 40 ppm AgNPs 与(2 mg.L-1 2,4-D)结合的培养基上,胼胝体显得紧凑且呈绿色。结果表明,通过使用 MS + 2,4-D (2 mg.L-1) + AgNPs (20ppm),脂肪酸(硬脂酸 (47.85%)、油酸 (189.28%)、亚油酸 (6.34%) 和亚麻酸 (0.83%))和维生素(维生素 E (8.99 U.mg-1) 和维生素 A (27.19 U.mg-1) 的含量均有所提高:结论:AgNPs 与 PGRs 结合使用可促进茴香体外胼胝体增殖。但是,不同时使用 AgNPs 会诱导更多特殊脂肪酸和维生素代谢物的生物合成。
本文章由计算机程序翻译,如有差异,请以英文原文为准。
求助全文
约1分钟内获得全文 求助全文
来源期刊
Iranian Journal of Biotechnology
Iranian Journal of Biotechnology BIOTECHNOLOGY & APPLIED MICROBIOLOGY-
CiteScore
2.60
自引率
7.70%
发文量
20
期刊介绍: Iranian Journal of Biotechnology (IJB) is published quarterly by the National Institute of Genetic Engineering and Biotechnology. IJB publishes original scientific research papers in the broad area of Biotechnology such as, Agriculture, Animal and Marine Sciences, Basic Sciences, Bioinformatics, Biosafety and Bioethics, Environment, Industry and Mining and Medical Sciences.
×
引用
GB/T 7714-2015
复制
MLA
复制
APA
复制
导出至
BibTeX EndNote RefMan NoteFirst NoteExpress
×
提示
您的信息不完整,为了账户安全,请先补充。
现在去补充
×
提示
您因"违规操作"
具体请查看互助需知
我知道了
×
提示
确定
请完成安全验证×
copy
已复制链接
快去分享给好友吧!
我知道了
右上角分享
点击右上角分享
0
联系我们:info@booksci.cn Book学术提供免费学术资源搜索服务,方便国内外学者检索中英文文献。致力于提供最便捷和优质的服务体验。 Copyright © 2023 布克学术 All rights reserved.
京ICP备2023020795号-1
ghs 京公网安备 11010802042870号
Book学术文献互助
Book学术文献互助群
群 号:604180095
Book学术官方微信