Investigation of Common Pathways and Putative Biomarker Candidates of Colorectal Cancer and Insomnia by Using Integrative In-Silico Approaches.

IF 1.5 4区 生物学 Q4 BIOTECHNOLOGY & APPLIED MICROBIOLOGY
Metehan Yaman, Dilek Pirim
{"title":"Investigation of Common Pathways and Putative Biomarker Candidates of Colorectal Cancer and Insomnia by Using Integrative <i>In-Silico</i> Approaches.","authors":"Metehan Yaman, Dilek Pirim","doi":"10.30498/ijb.2024.422185.3827","DOIUrl":null,"url":null,"abstract":"<p><strong>Background: </strong>Colorectal cancer (CRC) is one of the leading causes of cancer-related mortalities across the globe. Accumulating evidence shows that individuals having sleep disorders such as insomnia are at high risk of developing CRC, yet the association of sleep disorders with CRC risk is still unclear. Here, we investigated the potential molecular connections between CRC and insomnia using integrative <i>in silico</i> approaches.</p><p><strong>Objective: </strong>This study aims to explore the potential molecular connections between CRC and insomnia utilizing integrative <i>in-silico</i> methodologies.</p><p><strong>Methods and methods: </strong>Gene expression microarray datasets for CRC and insomnia samples were retrieved from the NCBI-GEO database and analyzed using R. Functional enrichment analysis of common differentially expressed genes (DEGs) was performed by the g: Profiler tool. Cytoscape software was used to construct a protein-protein interaction network and hub gene identification. Expression profiles of hub genes in TCGA datasets were also determined, and predicted miRNAs targeting hub genes were analyzed by miRNA target prediction tools.</p><p><strong>Results: </strong>Our results revealed a total of 113 shared DEGs between the CRC and insomnia datasets. Six genes (<i>HSP8A</i>, <i>GAPDH</i>, <i>HSP90AA1</i>, <i>EEF1G</i>, <i>RPS6</i>, and <i>RPLP0</i>), which were also differently expressed in TCGA datasets, were prioritized as hub genes and were found to be enriched in pathways related to protein synthesis. hsa-miR-324-3p, hsa-miR-769-3p, and hsa-miR-16-5p were identified as promising miRNA biomarkers for two diseases.</p><p><strong>Conclusions: </strong>Our <i>in-silico</i> analysis provides promising evidence of the molecular link between CRC and insomnia and highlights multiple potential molecular biomarkers and pathways. Validation of the results by wet lab work can be utilized for novel translational and precision medicine applications to alleviate the public health burden of CRC.</p>","PeriodicalId":14492,"journal":{"name":"Iranian Journal of Biotechnology","volume":"22 2","pages":"e3827"},"PeriodicalIF":1.5000,"publicationDate":"2024-04-01","publicationTypes":"Journal Article","fieldsOfStudy":null,"isOpenAccess":false,"openAccessPdf":"https://www.ncbi.nlm.nih.gov/pmc/articles/PMC11364928/pdf/","citationCount":"0","resultStr":null,"platform":"Semanticscholar","paperid":null,"PeriodicalName":"Iranian Journal of Biotechnology","FirstCategoryId":"5","ListUrlMain":"https://doi.org/10.30498/ijb.2024.422185.3827","RegionNum":4,"RegionCategory":"生物学","ArticlePicture":[],"TitleCN":null,"AbstractTextCN":null,"PMCID":null,"EPubDate":"","PubModel":"","JCR":"Q4","JCRName":"BIOTECHNOLOGY & APPLIED MICROBIOLOGY","Score":null,"Total":0}
引用次数: 0

Abstract

Background: Colorectal cancer (CRC) is one of the leading causes of cancer-related mortalities across the globe. Accumulating evidence shows that individuals having sleep disorders such as insomnia are at high risk of developing CRC, yet the association of sleep disorders with CRC risk is still unclear. Here, we investigated the potential molecular connections between CRC and insomnia using integrative in silico approaches.

Objective: This study aims to explore the potential molecular connections between CRC and insomnia utilizing integrative in-silico methodologies.

Methods and methods: Gene expression microarray datasets for CRC and insomnia samples were retrieved from the NCBI-GEO database and analyzed using R. Functional enrichment analysis of common differentially expressed genes (DEGs) was performed by the g: Profiler tool. Cytoscape software was used to construct a protein-protein interaction network and hub gene identification. Expression profiles of hub genes in TCGA datasets were also determined, and predicted miRNAs targeting hub genes were analyzed by miRNA target prediction tools.

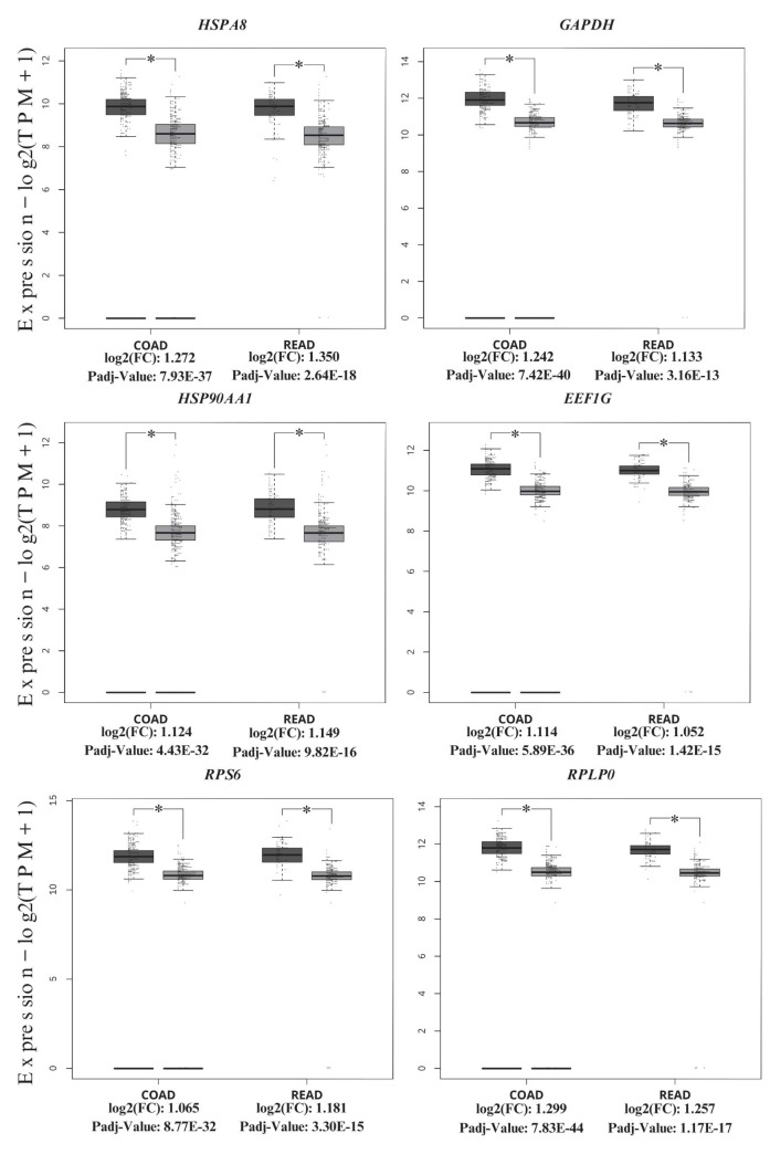
Results: Our results revealed a total of 113 shared DEGs between the CRC and insomnia datasets. Six genes (HSP8A, GAPDH, HSP90AA1, EEF1G, RPS6, and RPLP0), which were also differently expressed in TCGA datasets, were prioritized as hub genes and were found to be enriched in pathways related to protein synthesis. hsa-miR-324-3p, hsa-miR-769-3p, and hsa-miR-16-5p were identified as promising miRNA biomarkers for two diseases.

Conclusions: Our in-silico analysis provides promising evidence of the molecular link between CRC and insomnia and highlights multiple potential molecular biomarkers and pathways. Validation of the results by wet lab work can be utilized for novel translational and precision medicine applications to alleviate the public health burden of CRC.

Abstract Image

Abstract Image

Abstract Image

利用综合硅学方法研究结肠直肠癌和失眠症的共同途径和候选生物标记物
背景:结肠直肠癌(CRC)是全球癌症相关死亡的主要原因之一。越来越多的证据表明,患有失眠等睡眠障碍的人罹患 CRC 的风险很高,但睡眠障碍与 CRC 风险之间的关联仍不清楚。在此,我们采用综合的硅学方法研究了 CRC 与失眠之间的潜在分子联系:本研究旨在利用综合的硅学方法探讨 CRC 与失眠之间的潜在分子联系:从 NCBI-GEO 数据库中检索 CRC 和失眠样本的基因表达微阵列数据集,并使用 R 进行分析。Cytoscape软件用于构建蛋白质-蛋白质相互作用网络和识别中心基因。我们还确定了TCGA数据集中枢纽基因的表达谱,并利用miRNA靶点预测工具分析了靶向枢纽基因的miRNA:结果:我们的研究结果表明,在 CRC 和失眠数据集之间共有 113 个 DEGs。6个基因(HSP8A、GAPDH、HSP90AA1、EEF1G、RPS6和RPLP0)在TCGA数据集中也有不同的表达,它们被优先列为枢纽基因,并被发现富集在与蛋白质合成相关的通路中,hsa-miR-324-3p、hsa-miR-769-3p和hsa-miR-16-5p被鉴定为这两种疾病的有希望的miRNA生物标记物:结论:我们的室内分析为 CRC 与失眠之间的分子联系提供了有希望的证据,并突出了多种潜在的分子生物标记物和途径。通过湿实验室工作对结果进行验证,可用于新型转化和精准医学应用,以减轻 CRC 给公众健康带来的负担。
本文章由计算机程序翻译,如有差异,请以英文原文为准。
求助全文
约1分钟内获得全文 求助全文
来源期刊
Iranian Journal of Biotechnology
Iranian Journal of Biotechnology BIOTECHNOLOGY & APPLIED MICROBIOLOGY-
CiteScore
2.60
自引率
7.70%
发文量
20
期刊介绍: Iranian Journal of Biotechnology (IJB) is published quarterly by the National Institute of Genetic Engineering and Biotechnology. IJB publishes original scientific research papers in the broad area of Biotechnology such as, Agriculture, Animal and Marine Sciences, Basic Sciences, Bioinformatics, Biosafety and Bioethics, Environment, Industry and Mining and Medical Sciences.
×
引用
GB/T 7714-2015
复制
MLA
复制
APA
复制
导出至
BibTeX EndNote RefMan NoteFirst NoteExpress
×
提示
您的信息不完整,为了账户安全,请先补充。
现在去补充
×
提示
您因"违规操作"
具体请查看互助需知
我知道了
×
提示
确定
请完成安全验证×
copy
已复制链接
快去分享给好友吧!
我知道了
右上角分享
点击右上角分享
0
联系我们:info@booksci.cn Book学术提供免费学术资源搜索服务,方便国内外学者检索中英文文献。致力于提供最便捷和优质的服务体验。 Copyright © 2023 布克学术 All rights reserved.
京ICP备2023020795号-1
ghs 京公网安备 11010802042870号
Book学术文献互助
Book学术文献互助群
群 号:604180095
Book学术官方微信