Artificial Intelligence- and Physician-Interpreted Stool Image Characteristics Correlate With C-Reactive Protein Among Inpatients With Acute Severe Ulcerative Colitis: A Pilot Study.

IF 1.8 Q3 GASTROENTEROLOGY & HEPATOLOGY
Crohn's & Colitis 360 Pub Date : 2024-08-26 eCollection Date: 2024-07-01 DOI:10.1093/crocol/otae043
Sarah Rotondo-Trivette, Viankail Cedillo Castelan, Kushagra Mathur, Pauline Yasmeh, Asaf Kraus, Addison Lynch, Dermot P B McGovern, Gil Y Melmed
{"title":"Artificial Intelligence- and Physician-Interpreted Stool Image Characteristics Correlate With C-Reactive Protein Among Inpatients With Acute Severe Ulcerative Colitis: A Pilot Study.","authors":"Sarah Rotondo-Trivette, Viankail Cedillo Castelan, Kushagra Mathur, Pauline Yasmeh, Asaf Kraus, Addison Lynch, Dermot P B McGovern, Gil Y Melmed","doi":"10.1093/crocol/otae043","DOIUrl":null,"url":null,"abstract":"<p><strong>Background: </strong>Stool characteristics are used as a measure of ulcerative colitis (UC) disease activity, but they have not been validated against objective inflammation. We aimed to determine whether stool characteristics measured by trained artificial intelligence (AI) and physicians correlate with inflammation in UC.</p><p><strong>Methods: </strong>Patients hospitalized with acute severe UC (ASUC) were asked to capture images of all bowel movements using a smartphone application (Dieta®). Validated AI was used to measure five stool characteristics including the Bristol stool scale. Additionally, four physicians scored each image for blood amount, mucus amount, and whether stool was in a toilet or commode. AI measurements and mean physician scores were rank-normalized and correlated with rank-normalized CRP values using mixed linear regression models. Mann-Whitney tests were used to compare median CRP values of images with and without mucus and with and without blood.</p><p><strong>Results: </strong>We analyzed 151 stool images collected from 5 patients admitted with ASUC (mean age 42 years, 40% male). Overall, Bristol stool scale and fragmentation positively correlated with CRP, while stool consistency negatively correlated with CRP. The median CRP of images with mucus was higher than that of images without mucus.</p><p><strong>Conclusions: </strong>Smartphone application AI measurements of Bristol stool scale, stool consistency, and stool fragmentation significantly correlate with CRP values in hospitalized patients with ASUC. Additionally, median CRPs are higher when mucus is seen. Further training of smartphone-based AI algorithms to validate the association of stool characteristics with objective inflammation may yield a novel, noninvasive tool for UC disease monitoring.</p>","PeriodicalId":10847,"journal":{"name":"Crohn's & Colitis 360","volume":"6 3","pages":"otae043"},"PeriodicalIF":1.8000,"publicationDate":"2024-08-26","publicationTypes":"Journal Article","fieldsOfStudy":null,"isOpenAccess":false,"openAccessPdf":"https://www.ncbi.nlm.nih.gov/pmc/articles/PMC11350077/pdf/","citationCount":"0","resultStr":null,"platform":"Semanticscholar","paperid":null,"PeriodicalName":"Crohn's & Colitis 360","FirstCategoryId":"1085","ListUrlMain":"https://doi.org/10.1093/crocol/otae043","RegionNum":0,"RegionCategory":null,"ArticlePicture":[],"TitleCN":null,"AbstractTextCN":null,"PMCID":null,"EPubDate":"2024/7/1 0:00:00","PubModel":"eCollection","JCR":"Q3","JCRName":"GASTROENTEROLOGY & HEPATOLOGY","Score":null,"Total":0}
引用次数: 0

Abstract

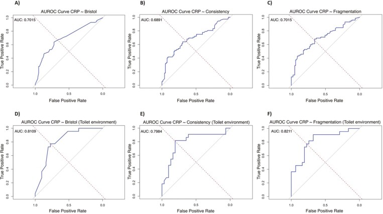
Background: Stool characteristics are used as a measure of ulcerative colitis (UC) disease activity, but they have not been validated against objective inflammation. We aimed to determine whether stool characteristics measured by trained artificial intelligence (AI) and physicians correlate with inflammation in UC.

Methods: Patients hospitalized with acute severe UC (ASUC) were asked to capture images of all bowel movements using a smartphone application (Dieta®). Validated AI was used to measure five stool characteristics including the Bristol stool scale. Additionally, four physicians scored each image for blood amount, mucus amount, and whether stool was in a toilet or commode. AI measurements and mean physician scores were rank-normalized and correlated with rank-normalized CRP values using mixed linear regression models. Mann-Whitney tests were used to compare median CRP values of images with and without mucus and with and without blood.

Results: We analyzed 151 stool images collected from 5 patients admitted with ASUC (mean age 42 years, 40% male). Overall, Bristol stool scale and fragmentation positively correlated with CRP, while stool consistency negatively correlated with CRP. The median CRP of images with mucus was higher than that of images without mucus.

Conclusions: Smartphone application AI measurements of Bristol stool scale, stool consistency, and stool fragmentation significantly correlate with CRP values in hospitalized patients with ASUC. Additionally, median CRPs are higher when mucus is seen. Further training of smartphone-based AI algorithms to validate the association of stool characteristics with objective inflammation may yield a novel, noninvasive tool for UC disease monitoring.

Abstract Image

Abstract Image

Abstract Image

人工智能和医生解读的粪便图像特征与急性重度溃疡性结肠炎住院患者的 C 反应蛋白相关:一项试点研究。
背景:粪便特征被用来衡量溃疡性结肠炎(UC)的疾病活动性,但它们尚未与客观炎症进行验证。我们旨在确定由训练有素的人工智能(AI)和医生测量的粪便特征是否与 UC 的炎症相关:方法:要求急性重症 UC(ASUC)住院患者使用智能手机应用程序(Dieta®)捕捉所有排便图像。经过验证的人工智能用于测量五种粪便特征,包括布里斯托尔粪便量表。此外,四名医生对每张图片的血量、粘液量以及粪便是否在马桶或坐便器中进行评分。采用混合线性回归模型对 AI 测量值和医生平均评分进行秩归一化处理,并将其与秩归一化 CRP 值相关联。使用 Mann-Whitney 检验比较有粘液和无粘液、有血和无血图像的 CRP 中位值:我们分析了从 5 名 ASUC 患者(平均年龄 42 岁,40% 为男性)处收集的 151 张粪便图像。总体而言,布里斯托粪便尺度和破碎度与 CRP 呈正相关,而粪便一致性与 CRP 呈负相关。有粘液图像的 CRP 中位数高于无粘液图像:结论:智能手机应用人工智能测量布里斯托粪便尺度、粪便稠度和粪便破碎度与ASUC住院患者的CRP值显著相关。此外,当看到粘液时,CRP 中位数更高。进一步训练基于智能手机的人工智能算法以验证粪便特征与客观炎症的关联性,可能会产生一种新型、无创的 UC 疾病监测工具。
本文章由计算机程序翻译,如有差异,请以英文原文为准。
求助全文
约1分钟内获得全文 求助全文
来源期刊
Crohn's & Colitis 360
Crohn's & Colitis 360 Medicine-Gastroenterology
CiteScore
2.50
自引率
0.00%
发文量
41
审稿时长
12 weeks
×
引用
GB/T 7714-2015
复制
MLA
复制
APA
复制
导出至
BibTeX EndNote RefMan NoteFirst NoteExpress
×
提示
您的信息不完整,为了账户安全,请先补充。
现在去补充
×
提示
您因"违规操作"
具体请查看互助需知
我知道了
×
提示
确定
请完成安全验证×
copy
已复制链接
快去分享给好友吧!
我知道了
右上角分享
点击右上角分享
0
联系我们:info@booksci.cn Book学术提供免费学术资源搜索服务,方便国内外学者检索中英文文献。致力于提供最便捷和优质的服务体验。 Copyright © 2023 布克学术 All rights reserved.
京ICP备2023020795号-1
ghs 京公网安备 11010802042870号
Book学术文献互助
Book学术文献互助群
群 号:604180095
Book学术官方微信