Usefulness of Serum Testosterone Concentration and Skin Autofluorescence as Coronary Risk Markers in Male Patients With Type 2 Diabetes Mellitus.

IF 1.4 Q3 CARDIAC & CARDIOVASCULAR SYSTEMS
Cardiology Research Pub Date : 2024-08-01 Epub Date: 2024-07-30 DOI:10.14740/cr1686
Takashi Hitsumoto
{"title":"Usefulness of Serum Testosterone Concentration and Skin Autofluorescence as Coronary Risk Markers in Male Patients With Type 2 Diabetes Mellitus.","authors":"Takashi Hitsumoto","doi":"10.14740/cr1686","DOIUrl":null,"url":null,"abstract":"<p><strong>Background: </strong>No studies have reported simultaneous evaluation of the two coronary risk markers of testosterone and skin autofluorescence (SAF) as a marker of advanced glycation end products in patients with type 2 diabetes mellitus (T2DM) at present. This study aimed to clarify the clinical significance of both indicators as risk markers of coronary artery disease (CAD), including the association and background factors between testosterone and SAF in male patients with T2DM.</p><p><strong>Methods: </strong>This study enrolled 162 male patients with T2DM (CAD: n = 35). Testosterone was evaluated by serum total testosterone concentration (T-T). Various analyses related to T-T and SAF as coronary risk markers were performed.</p><p><strong>Results: </strong>T-T was significantly lower, and SAF was significantly higher in patients with CAD than in patients with non-CAD. A significant negative correlation was found between T-T and SAF (r = -0.45, P < 0.001), and the correlation was stronger in patients with CAD than in patients with non-CAD (non-CAD, r = -0.27, P = 0.003; CAD, r = -0.51, P < 0.001). However, both T-T and SAF had significant associations with triglyceride-glucose index as an insulin resistance marker and cardio-ankle vascular index as an arterial function marker. Multiple regression analysis revealed that both T-T and SAF were selected as independent variables to the presence of CAD as a dependent variable. However, the odds ratio increased due to the merger of two coronary risk markers, low T-T and high SAF (odds ratio: one risk marker: 3.24, 95% confidence interval: 1.01 - 10.50, P = 0.045; two risk markers: 13.22, 95% confidence interval: 3.41 - 39.92, P < 0.001).</p><p><strong>Conclusions: </strong>The results of this cross-sectional study indicate that T-T and SAF are closely related in CAD patients with T2DM. It also shows that insulin resistance and arterial dysfunction are in the background of both indicators. Additionally, not only are both indicators independent coronary risk markers, but the overlap of both indicators increases their weight as coronary risk markers.</p>","PeriodicalId":9424,"journal":{"name":"Cardiology Research","volume":"15 4","pages":"253-261"},"PeriodicalIF":1.4000,"publicationDate":"2024-08-01","publicationTypes":"Journal Article","fieldsOfStudy":null,"isOpenAccess":false,"openAccessPdf":"https://www.ncbi.nlm.nih.gov/pmc/articles/PMC11349139/pdf/","citationCount":"0","resultStr":null,"platform":"Semanticscholar","paperid":null,"PeriodicalName":"Cardiology Research","FirstCategoryId":"1085","ListUrlMain":"https://doi.org/10.14740/cr1686","RegionNum":0,"RegionCategory":null,"ArticlePicture":[],"TitleCN":null,"AbstractTextCN":null,"PMCID":null,"EPubDate":"2024/7/30 0:00:00","PubModel":"Epub","JCR":"Q3","JCRName":"CARDIAC & CARDIOVASCULAR SYSTEMS","Score":null,"Total":0}
引用次数: 0

Abstract

Background: No studies have reported simultaneous evaluation of the two coronary risk markers of testosterone and skin autofluorescence (SAF) as a marker of advanced glycation end products in patients with type 2 diabetes mellitus (T2DM) at present. This study aimed to clarify the clinical significance of both indicators as risk markers of coronary artery disease (CAD), including the association and background factors between testosterone and SAF in male patients with T2DM.

Methods: This study enrolled 162 male patients with T2DM (CAD: n = 35). Testosterone was evaluated by serum total testosterone concentration (T-T). Various analyses related to T-T and SAF as coronary risk markers were performed.

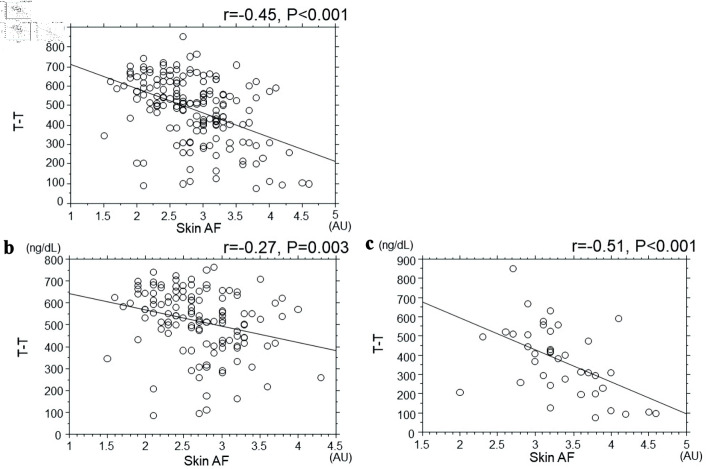
Results: T-T was significantly lower, and SAF was significantly higher in patients with CAD than in patients with non-CAD. A significant negative correlation was found between T-T and SAF (r = -0.45, P < 0.001), and the correlation was stronger in patients with CAD than in patients with non-CAD (non-CAD, r = -0.27, P = 0.003; CAD, r = -0.51, P < 0.001). However, both T-T and SAF had significant associations with triglyceride-glucose index as an insulin resistance marker and cardio-ankle vascular index as an arterial function marker. Multiple regression analysis revealed that both T-T and SAF were selected as independent variables to the presence of CAD as a dependent variable. However, the odds ratio increased due to the merger of two coronary risk markers, low T-T and high SAF (odds ratio: one risk marker: 3.24, 95% confidence interval: 1.01 - 10.50, P = 0.045; two risk markers: 13.22, 95% confidence interval: 3.41 - 39.92, P < 0.001).

Conclusions: The results of this cross-sectional study indicate that T-T and SAF are closely related in CAD patients with T2DM. It also shows that insulin resistance and arterial dysfunction are in the background of both indicators. Additionally, not only are both indicators independent coronary risk markers, but the overlap of both indicators increases their weight as coronary risk markers.

Abstract Image

Abstract Image

血清睾酮浓度和皮肤自发荧光作为 2 型糖尿病男性患者冠心病风险标志物的实用性。
研究背景目前还没有研究报道同时评估睾酮和皮肤自发荧光(SAF)这两个冠状动脉风险标志物作为2型糖尿病(T2DM)患者晚期糖化终末产物的标志物。本研究旨在阐明这两项指标作为冠状动脉疾病(CAD)风险标志物的临床意义,包括睾酮和皮肤自发荧光(SAF)在男性T2DM患者中的关联和背景因素:本研究招募了 162 名男性 T2DM 患者(CAD:35 人)。睾酮通过血清总睾酮浓度(T-T)进行评估。对作为冠状动脉风险标志物的T-T和SAF进行了各种分析:结果:与非冠状动脉粥样硬化患者相比,冠状动脉粥样硬化患者的 T-T 明显较低,而 SAF 则明显较高。T-T和SAF之间存在明显的负相关(r = -0.45,P < 0.001),且CAD患者的相关性强于非CAD患者(非CAD,r = -0.27,P = 0.003;CAD,r = -0.51,P < 0.001)。然而,T-T 和 SAF 与作为胰岛素抵抗标志物的甘油三酯-葡萄糖指数和作为动脉功能标志物的心踝关节血管指数都有显著的相关性。多元回归分析表明,T-T 和 SAF 被选为自变量,而 CAD 的存在则是因变量。然而,由于合并了低 T-T 和高 SAF 这两个冠状动脉风险标志物,几率比增加了(几率比:一个风险标志物:3.24,95% 置信区间:3.24,95% 置信区间:3.24,95% 置信区间:3.24):3.24,95% 置信区间:1.01 - 10.50,P = 0.045;两个风险指标:13.22,95% 置信区间:1.01 - 10.50,P = 0.045:13.22,95% 置信区间结论:这项横断面研究结果表明,T-T 和 SAF 在患有 T2DM 的 CAD 患者中密切相关。结论:这项横断面研究结果表明,T-T 和 SAF 与 T2DM 患者的 CAD 密切相关,同时还表明,胰岛素抵抗和动脉功能障碍是这两项指标的背景。此外,这两个指标不仅是独立的冠心病风险标志物,而且两个指标的重叠增加了它们作为冠心病风险标志物的权重。
本文章由计算机程序翻译,如有差异,请以英文原文为准。
求助全文
约1分钟内获得全文 求助全文
来源期刊
Cardiology Research
Cardiology Research CARDIAC & CARDIOVASCULAR SYSTEMS-
CiteScore
2.50
自引率
0.00%
发文量
42
期刊介绍: Cardiology Research is an open access, peer-reviewed, international journal. All submissions relating to basic research and clinical practice of cardiology and cardiovascular medicine are in this journal''s scope. This journal focuses on publishing original research and observations in all cardiovascular medicine aspects. Manuscript types include original article, review, case report, short communication, book review, letter to the editor.
×
引用
GB/T 7714-2015
复制
MLA
复制
APA
复制
导出至
BibTeX EndNote RefMan NoteFirst NoteExpress
×
提示
您的信息不完整,为了账户安全,请先补充。
现在去补充
×
提示
您因"违规操作"
具体请查看互助需知
我知道了
×
提示
确定
请完成安全验证×
copy
已复制链接
快去分享给好友吧!
我知道了
右上角分享
点击右上角分享
0
联系我们:info@booksci.cn Book学术提供免费学术资源搜索服务,方便国内外学者检索中英文文献。致力于提供最便捷和优质的服务体验。 Copyright © 2023 布克学术 All rights reserved.
京ICP备2023020795号-1
ghs 京公网安备 11010802042870号
Book学术文献互助
Book学术文献互助群
群 号:604180095
Book学术官方微信