Does Sinus Rhythm Restoration in Patients With Atrial Fibrillation Undergoing Pulmonary Vein Isolation Have Acute Hemodynamic Benefits?

IF 1.4 Q3 CARDIAC & CARDIOVASCULAR SYSTEMS
Cardiology Research Pub Date : 2024-08-01 Epub Date: 2024-08-20 DOI:10.14740/cr1692
Tomo Komaki, Noriyuki Mohri, Akihito Ideishi, Kohei Tashiro, Naoko Koyanagi, Shin-Ichiro Miura, Masahiro Ogawa
{"title":"Does Sinus Rhythm Restoration in Patients With Atrial Fibrillation Undergoing Pulmonary Vein Isolation Have Acute Hemodynamic Benefits?","authors":"Tomo Komaki, Noriyuki Mohri, Akihito Ideishi, Kohei Tashiro, Naoko Koyanagi, Shin-Ichiro Miura, Masahiro Ogawa","doi":"10.14740/cr1692","DOIUrl":null,"url":null,"abstract":"<p><strong>Background: </strong>Although the restoration and maintenance of sinus rhythm (SR) in patients with atrial fibrillation (AF) have long-term benefits, few studies have investigated the acute hemodynamic benefits immediately after SR restoration. Therefore, we investigated whether hemodynamic changes occurred in the first few minutes after cardioversion from AF to SR.</p><p><strong>Methods: </strong>We retrospectively enrolled 145 patients with AF and divided them into a pre-AF group comprising patients in whom SR was restored by electrical cardioversion during pulmonary vein isolation (PVI; n = 74) and a control group comprising patients who were in SR throughout the procedure (n = 71). The pre-AF group was subdivided into subgroups according to AF classification (paroxysmal AF (PAF), persistent AF (PerAF), and long-standing persistent AF (LSPAF)) and into quartiles based on the AF-heart rate (HR). The mean arterial pressure (MAP) and left atrial pressure (LAP) were measured immediately after transseptal puncture (pre-measurement) and before withdrawal from the left atrium after PVI (post-measurement). The changes in MAP and LAP between the pre- and post-measurement (ΔMAP and ΔLAP) were calculated by subtracting the pre-measurements (MAP<sub>pre</sub> and LAP<sub>pre</sub>) from the post-measurements (MAP<sub>post</sub> and LAP<sub>post</sub>).</p><p><strong>Results: </strong>In the pre-AF group, the time from cardioversion to post-measurement was 19 ± 16 min. When ΔMAP and ΔLAP were compared with the control group, ΔMAP was significantly smaller (4.9 ± 17.8 vs. 11.0 ± 14.2 mm Hg, respectively; P = 0.025), and ΔLAP was not significantly different between the groups. In the subgroup analyses, although ΔLAP was not significantly different among AF types, ΔMAP was significantly increased in the PAF group compared to the PerAF and LSPAF groups (24.0 ± 18.5 vs. 3.1 ± 16.8 and 4.5 ± 18.1 mm Hg, respectively; P = 0.042). The HR<sub>pre</sub> in the quartiles with the lowest, second, third, and highest AF-HR were approximately 58, 74, 86, and 109 beats per minute (bpm), respectively. The ΔLAP and ΔMAP were not significantly different among the AF-HR quartile groups.</p><p><strong>Conclusions: </strong>In patients with PAF, atrial contractions may resume quickly, which leads to hemodynamic improvement immediately after SR restoration. As for AF-HR, there was no significant impairment of ventricular diastolic filling at approximately < 109 bpm.</p>","PeriodicalId":9424,"journal":{"name":"Cardiology Research","volume":"15 4","pages":"298-308"},"PeriodicalIF":1.4000,"publicationDate":"2024-08-01","publicationTypes":"Journal Article","fieldsOfStudy":null,"isOpenAccess":false,"openAccessPdf":"https://www.ncbi.nlm.nih.gov/pmc/articles/PMC11349134/pdf/","citationCount":"0","resultStr":null,"platform":"Semanticscholar","paperid":null,"PeriodicalName":"Cardiology Research","FirstCategoryId":"1085","ListUrlMain":"https://doi.org/10.14740/cr1692","RegionNum":0,"RegionCategory":null,"ArticlePicture":[],"TitleCN":null,"AbstractTextCN":null,"PMCID":null,"EPubDate":"2024/8/20 0:00:00","PubModel":"Epub","JCR":"Q3","JCRName":"CARDIAC & CARDIOVASCULAR SYSTEMS","Score":null,"Total":0}
引用次数: 0

Abstract

Background: Although the restoration and maintenance of sinus rhythm (SR) in patients with atrial fibrillation (AF) have long-term benefits, few studies have investigated the acute hemodynamic benefits immediately after SR restoration. Therefore, we investigated whether hemodynamic changes occurred in the first few minutes after cardioversion from AF to SR.

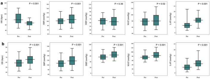
Methods: We retrospectively enrolled 145 patients with AF and divided them into a pre-AF group comprising patients in whom SR was restored by electrical cardioversion during pulmonary vein isolation (PVI; n = 74) and a control group comprising patients who were in SR throughout the procedure (n = 71). The pre-AF group was subdivided into subgroups according to AF classification (paroxysmal AF (PAF), persistent AF (PerAF), and long-standing persistent AF (LSPAF)) and into quartiles based on the AF-heart rate (HR). The mean arterial pressure (MAP) and left atrial pressure (LAP) were measured immediately after transseptal puncture (pre-measurement) and before withdrawal from the left atrium after PVI (post-measurement). The changes in MAP and LAP between the pre- and post-measurement (ΔMAP and ΔLAP) were calculated by subtracting the pre-measurements (MAPpre and LAPpre) from the post-measurements (MAPpost and LAPpost).

Results: In the pre-AF group, the time from cardioversion to post-measurement was 19 ± 16 min. When ΔMAP and ΔLAP were compared with the control group, ΔMAP was significantly smaller (4.9 ± 17.8 vs. 11.0 ± 14.2 mm Hg, respectively; P = 0.025), and ΔLAP was not significantly different between the groups. In the subgroup analyses, although ΔLAP was not significantly different among AF types, ΔMAP was significantly increased in the PAF group compared to the PerAF and LSPAF groups (24.0 ± 18.5 vs. 3.1 ± 16.8 and 4.5 ± 18.1 mm Hg, respectively; P = 0.042). The HRpre in the quartiles with the lowest, second, third, and highest AF-HR were approximately 58, 74, 86, and 109 beats per minute (bpm), respectively. The ΔLAP and ΔMAP were not significantly different among the AF-HR quartile groups.

Conclusions: In patients with PAF, atrial contractions may resume quickly, which leads to hemodynamic improvement immediately after SR restoration. As for AF-HR, there was no significant impairment of ventricular diastolic filling at approximately < 109 bpm.

Abstract Image

Abstract Image

Abstract Image

接受肺静脉隔离治疗的心房颤动患者恢复窦性心律是否对急性血流动力学有益?
背景:尽管恢复和维持心房颤动(房颤)患者的窦性心律(SR)具有长期的益处,但很少有研究调查了SR恢复后立即出现的急性血流动力学益处。因此,我们研究了从房颤转为窦性心律后最初几分钟内血液动力学是否发生了变化:我们回顾性地纳入了 145 名房颤患者,并将其分为房颤前组和对照组,前者包括在肺静脉隔离术(PVI)中通过心脏电复律恢复 SR 的患者(n = 74),后者包括在整个手术过程中均处于 SR 状态的患者(n = 71)。根据房颤分类(阵发性房颤(PAF)、持续性房颤(PerAF)和长期持续性房颤(LSPAF))和房颤-心率(HR)的四分法,将房颤前组细分为不同的亚组。经脐穿刺后立即测量平均动脉压(MAP)和左心房压(LAP)(测量前),PVI 后退出左心房前测量平均动脉压(MAP)和左心房压(LAP)(测量后)。将测量前的数据(MAPpre 和 LAPpre)减去测量后的数据(MAPpost 和 LAPpost),计算出测量前后 MAP 和 LAP 的变化(ΔMAP 和 ΔLAP):结果:在预AF组中,从心脏复律到测量后的时间为19 ± 16分钟。ΔMAP和ΔLAP与对照组相比,ΔMAP明显较小(分别为4.9 ± 17.8 vs. 11.0 ± 14.2 mm Hg;P = 0.025),而ΔLAP在组间无明显差异。在亚组分析中,虽然ΔLAP 在不同房颤类型之间无明显差异,但与 PerAF 组和 LSPAF 组相比,PAF 组的ΔMAP 明显增加(分别为 24.0 ± 18.5 vs. 3.1 ± 16.8 和 4.5 ± 18.1 mm Hg;P = 0.042)。最低、第二、第三和最高 AF-HR 四分位数的 HRpre 分别约为 58、74、86 和 109 次/分(bpm)。ΔLAP和ΔMAP在心房颤动-房颤四分位数组之间无明显差异:结论:在 PAF 患者中,心房收缩可能很快恢复,这导致 SR 恢复后血流动力学立即改善。至于 AF-HR,在约 < 109 bpm 时,心室舒张充盈没有明显受损。
本文章由计算机程序翻译,如有差异,请以英文原文为准。
求助全文
约1分钟内获得全文 求助全文
来源期刊
Cardiology Research
Cardiology Research CARDIAC & CARDIOVASCULAR SYSTEMS-
CiteScore
2.50
自引率
0.00%
发文量
42
期刊介绍: Cardiology Research is an open access, peer-reviewed, international journal. All submissions relating to basic research and clinical practice of cardiology and cardiovascular medicine are in this journal''s scope. This journal focuses on publishing original research and observations in all cardiovascular medicine aspects. Manuscript types include original article, review, case report, short communication, book review, letter to the editor.
×
引用
GB/T 7714-2015
复制
MLA
复制
APA
复制
导出至
BibTeX EndNote RefMan NoteFirst NoteExpress
×
提示
您的信息不完整,为了账户安全,请先补充。
现在去补充
×
提示
您因"违规操作"
具体请查看互助需知
我知道了
×
提示
确定
请完成安全验证×
copy
已复制链接
快去分享给好友吧!
我知道了
右上角分享
点击右上角分享
0
联系我们:info@booksci.cn Book学术提供免费学术资源搜索服务,方便国内外学者检索中英文文献。致力于提供最便捷和优质的服务体验。 Copyright © 2023 布克学术 All rights reserved.
京ICP备2023020795号-1
ghs 京公网安备 11010802042870号
Book学术文献互助
Book学术文献互助群
群 号:604180095
Book学术官方微信