Improved accuracy of continuum surface flux models for metal additive manufacturing melt pool simulations.

IF 3.2 Q3 MECHANICS
Nils Much, Magdalena Schreter-Fleischhacker, Peter Munch, Martin Kronbichler, Wolfgang A Wall, Christoph Meier
{"title":"Improved accuracy of continuum surface flux models for metal additive manufacturing melt pool simulations.","authors":"Nils Much, Magdalena Schreter-Fleischhacker, Peter Munch, Martin Kronbichler, Wolfgang A Wall, Christoph Meier","doi":"10.1186/s40323-024-00270-6","DOIUrl":null,"url":null,"abstract":"<p><p>Computational modeling of the melt pool dynamics in laser-based powder bed fusion metal additive manufacturing (PBF-LB/M) promises to shed light on fundamental mechanisms of defect generation. These processes are accompanied by rapid evaporation so that the evaporation-induced recoil pressure and cooling arise as major driving forces for fluid dynamics and temperature evolution. The magnitude of these interface fluxes depends exponentially on the melt pool surface temperature, which, therefore, has to be predicted with high accuracy. The present work utilizes a diffuse interface finite element model based on a continuum surface flux (CSF) description of interface fluxes to study dimensionally reduced thermal two-phase problems representative for PBF-LB/M in a finite element framework. It is demonstrated that the extreme temperature gradients combined with the high ratios of material properties between metal and ambient gas lead to significant errors in the interface temperatures and fluxes when classical CSF approaches, along with typical interface thicknesses and discretizations, are applied. It is expected that this finding is also relevant for other types of diffuse interface PBF-LB/M melt pool models. A novel parameter-scaled CSF approach is proposed, which is constructed to yield a smoother temperature field in the diffuse interface region, significantly increasing the solution accuracy. The interface thickness required to predict the temperature field with a given level of accuracy is less restrictive by at least one order of magnitude for the proposed parameter-scaled approach compared to classical CSF, drastically reducing computational costs. Finally, we showcase the general applicability of the parameter-scaled CSF to a 3D simulation of stationary laser melting of PBF-LB/M considering the fully coupled thermo-hydrodynamic multi-phase problem, including phase change.</p>","PeriodicalId":37424,"journal":{"name":"Advanced Modeling and Simulation in Engineering Sciences","volume":"11 1","pages":"16"},"PeriodicalIF":3.2000,"publicationDate":"2024-01-01","publicationTypes":"Journal Article","fieldsOfStudy":null,"isOpenAccess":false,"openAccessPdf":"https://www.ncbi.nlm.nih.gov/pmc/articles/PMC11341609/pdf/","citationCount":"0","resultStr":null,"platform":"Semanticscholar","paperid":null,"PeriodicalName":"Advanced Modeling and Simulation in Engineering Sciences","FirstCategoryId":"1085","ListUrlMain":"https://doi.org/10.1186/s40323-024-00270-6","RegionNum":0,"RegionCategory":null,"ArticlePicture":[],"TitleCN":null,"AbstractTextCN":null,"PMCID":null,"EPubDate":"2024/8/22 0:00:00","PubModel":"Epub","JCR":"Q3","JCRName":"MECHANICS","Score":null,"Total":0}
引用次数: 0

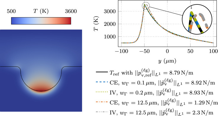
Abstract

Computational modeling of the melt pool dynamics in laser-based powder bed fusion metal additive manufacturing (PBF-LB/M) promises to shed light on fundamental mechanisms of defect generation. These processes are accompanied by rapid evaporation so that the evaporation-induced recoil pressure and cooling arise as major driving forces for fluid dynamics and temperature evolution. The magnitude of these interface fluxes depends exponentially on the melt pool surface temperature, which, therefore, has to be predicted with high accuracy. The present work utilizes a diffuse interface finite element model based on a continuum surface flux (CSF) description of interface fluxes to study dimensionally reduced thermal two-phase problems representative for PBF-LB/M in a finite element framework. It is demonstrated that the extreme temperature gradients combined with the high ratios of material properties between metal and ambient gas lead to significant errors in the interface temperatures and fluxes when classical CSF approaches, along with typical interface thicknesses and discretizations, are applied. It is expected that this finding is also relevant for other types of diffuse interface PBF-LB/M melt pool models. A novel parameter-scaled CSF approach is proposed, which is constructed to yield a smoother temperature field in the diffuse interface region, significantly increasing the solution accuracy. The interface thickness required to predict the temperature field with a given level of accuracy is less restrictive by at least one order of magnitude for the proposed parameter-scaled approach compared to classical CSF, drastically reducing computational costs. Finally, we showcase the general applicability of the parameter-scaled CSF to a 3D simulation of stationary laser melting of PBF-LB/M considering the fully coupled thermo-hydrodynamic multi-phase problem, including phase change.

Abstract Image

Abstract Image

Abstract Image

提高用于金属添加剂制造熔池模拟的连续表面通量模型的精度。
对基于激光的粉末床熔融金属增材制造(PBF-LB/M)过程中的熔池动力学进行计算建模,有望揭示缺陷产生的基本机制。这些过程伴随着快速蒸发,因此蒸发引起的反冲压力和冷却成为流体动力学和温度演变的主要驱动力。这些界面通量的大小与熔池表面温度成指数关系,因此必须对其进行高精度预测。本研究利用基于界面通量连续面通量(CSF)描述的扩散界面有限元模型,在有限元框架内研究了 PBF-LB/M 的代表性降维热两相问题。研究表明,当采用经典的 CSF 方法以及典型的界面厚度和离散度时,极端的温度梯度加上金属和环境气体之间材料属性的高比率会导致界面温度和通量的显著误差。预计这一发现也适用于其他类型的扩散界面 PBF-LB/M 熔池模型。本文提出了一种新颖的参数缩放 CSF 方法,该方法可在扩散界面区域产生更平滑的温度场,从而显著提高求解精度。与经典的 CSF 相比,所提出的参数缩放方法在一定精度水平上预测温度场所需的界面厚度至少减少了一个数量级,从而大大降低了计算成本。最后,我们展示了参数缩放 CSF 对 PBF-LB/M 固定激光熔化三维模拟的普遍适用性,考虑了包括相变在内的全耦合热流体力学多相问题。
本文章由计算机程序翻译,如有差异,请以英文原文为准。
求助全文
约1分钟内获得全文 求助全文
来源期刊
Advanced Modeling and Simulation in Engineering Sciences
Advanced Modeling and Simulation in Engineering Sciences Engineering-Engineering (miscellaneous)
CiteScore
6.80
自引率
0.00%
发文量
22
审稿时长
30 weeks
期刊介绍: The research topics addressed by Advanced Modeling and Simulation in Engineering Sciences (AMSES) cover the vast domain of the advanced modeling and simulation of materials, processes and structures governed by the laws of mechanics. The emphasis is on advanced and innovative modeling approaches and numerical strategies. The main objective is to describe the actual physics of large mechanical systems with complicated geometries as accurately as possible using complex, highly nonlinear and coupled multiphysics and multiscale models, and then to carry out simulations with these complex models as rapidly as possible. In other words, this research revolves around efficient numerical modeling along with model verification and validation. Therefore, the corresponding papers deal with advanced modeling and simulation, efficient optimization, inverse analysis, data-driven computation and simulation-based control. These challenging issues require multidisciplinary efforts – particularly in modeling, numerical analysis and computer science – which are treated in this journal.
×
引用
GB/T 7714-2015
复制
MLA
复制
APA
复制
导出至
BibTeX EndNote RefMan NoteFirst NoteExpress
×
提示
您的信息不完整,为了账户安全,请先补充。
现在去补充
×
提示
您因"违规操作"
具体请查看互助需知
我知道了
×
提示
确定
请完成安全验证×
copy
已复制链接
快去分享给好友吧!
我知道了
右上角分享
点击右上角分享
0
联系我们:info@booksci.cn Book学术提供免费学术资源搜索服务,方便国内外学者检索中英文文献。致力于提供最便捷和优质的服务体验。 Copyright © 2023 布克学术 All rights reserved.
京ICP备2023020795号-1
ghs 京公网安备 11010802042870号
Book学术文献互助
Book学术文献互助群
群 号:604180095
Book学术官方微信