Operating Room Noise Environment and Behavior in Children Undergoing General Anesthesia: A Randomized Controlled Trial.

IF 1.3 Q2 ANESTHESIOLOGY
Anesthesiology Research and Practice Pub Date : 2024-08-16 eCollection Date: 2024-01-01 DOI:10.1155/2024/4838649
Marc Bozych, Nguyen K Tram, Julie Rice-Weimer, Richard S Cartabuke, Joseph D Tobias, Jamie Huffman, Christian Mpody, Joshua C Uffman
{"title":"Operating Room Noise Environment and Behavior in Children Undergoing General Anesthesia: A Randomized Controlled Trial.","authors":"Marc Bozych, Nguyen K Tram, Julie Rice-Weimer, Richard S Cartabuke, Joseph D Tobias, Jamie Huffman, Christian Mpody, Joshua C Uffman","doi":"10.1155/2024/4838649","DOIUrl":null,"url":null,"abstract":"<p><strong>Background: </strong>Excessive operating room noise impairs communication, distracts from monitoring equipment, and may increase patient and provider stress.</p><p><strong>Aim: </strong>This study investigates the effects of reduced noise on perioperative behavior in children undergoing general anesthesia and on anesthesia provider response time.</p><p><strong>Methods: </strong>Healthy children (the American Society of Anesthesiologists class I-II), 2-8 years of age, and their anesthesia providers were randomized into a control or treatment group exposed to reduced stimulation during induction and emergence. Primary outcomes were patient behavior and provider response time. Secondary outcomes were postoperative pain scores, provider responses exceeding 30 seconds, and median and maximum noise exposure.</p><p><strong>Results: </strong>64 children (27 females and 37 males) were randomized into a control or treatment group, of whom 32 (50%) underwent tonsillectomy/adenoidectomy and 32 (50%) underwent dental procedures. The average age was 4.6 (SD 1.43) years. Children exposed to reduced noise were less likely to be \"fussy about eating\" (<i>p</i>=0.042), more \"interested in what goes on around them\" (<i>p</i>=0.008), and had fewer temper tantrums (<i>p</i>=0.004) on postoperative day one or two and on postoperative day five, six, or seven. No other differences were found between groups in behavioral assessment scores or provider response times.</p><p><strong>Conclusions: </strong>Our study is the first to show that a low-stimulus environment improves postdischarge behavior. Provider response time was unaffected by reduced noise, and the average and peak noise exposure levels did not exceed national safety guidelines. This trial is registered with NCT03507855 and NCT03504553.</p>","PeriodicalId":7834,"journal":{"name":"Anesthesiology Research and Practice","volume":"2024 ","pages":"4838649"},"PeriodicalIF":1.3000,"publicationDate":"2024-08-16","publicationTypes":"Journal Article","fieldsOfStudy":null,"isOpenAccess":false,"openAccessPdf":"https://www.ncbi.nlm.nih.gov/pmc/articles/PMC11343623/pdf/","citationCount":"0","resultStr":null,"platform":"Semanticscholar","paperid":null,"PeriodicalName":"Anesthesiology Research and Practice","FirstCategoryId":"1085","ListUrlMain":"https://doi.org/10.1155/2024/4838649","RegionNum":0,"RegionCategory":null,"ArticlePicture":[],"TitleCN":null,"AbstractTextCN":null,"PMCID":null,"EPubDate":"2024/1/1 0:00:00","PubModel":"eCollection","JCR":"Q2","JCRName":"ANESTHESIOLOGY","Score":null,"Total":0}
引用次数: 0

Abstract

Background: Excessive operating room noise impairs communication, distracts from monitoring equipment, and may increase patient and provider stress.

Aim: This study investigates the effects of reduced noise on perioperative behavior in children undergoing general anesthesia and on anesthesia provider response time.

Methods: Healthy children (the American Society of Anesthesiologists class I-II), 2-8 years of age, and their anesthesia providers were randomized into a control or treatment group exposed to reduced stimulation during induction and emergence. Primary outcomes were patient behavior and provider response time. Secondary outcomes were postoperative pain scores, provider responses exceeding 30 seconds, and median and maximum noise exposure.

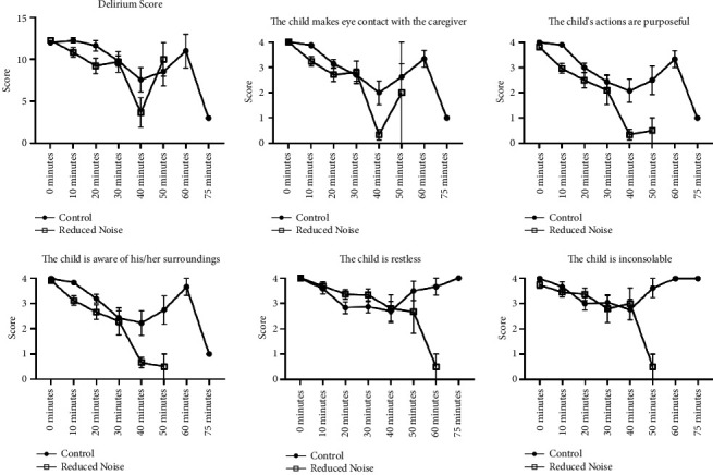
Results: 64 children (27 females and 37 males) were randomized into a control or treatment group, of whom 32 (50%) underwent tonsillectomy/adenoidectomy and 32 (50%) underwent dental procedures. The average age was 4.6 (SD 1.43) years. Children exposed to reduced noise were less likely to be "fussy about eating" (p=0.042), more "interested in what goes on around them" (p=0.008), and had fewer temper tantrums (p=0.004) on postoperative day one or two and on postoperative day five, six, or seven. No other differences were found between groups in behavioral assessment scores or provider response times.

Conclusions: Our study is the first to show that a low-stimulus environment improves postdischarge behavior. Provider response time was unaffected by reduced noise, and the average and peak noise exposure levels did not exceed national safety guidelines. This trial is registered with NCT03507855 and NCT03504553.

Abstract Image

Abstract Image

Abstract Image

手术室噪音环境与接受全身麻醉儿童的行为:随机对照试验
背景:方法:将 2 至 8 岁的健康儿童(美国麻醉医师协会 I-II 级)及其麻醉医师随机分为对照组和治疗组,对照组在诱导和唤醒过程中减少刺激,治疗组在诱导和唤醒过程中减少刺激。主要结果是患者的行为和提供者的反应时间。次要结果是术后疼痛评分、提供者超过 30 秒的反应以及噪音暴露的中位数和最大值:64 名儿童(27 名女性和 37 名男性)被随机分为对照组或治疗组,其中 32 人(50%)接受了扁桃体切除术/腺样体切除术,32 人(50%)接受了牙科手术。平均年龄为 4.6(标准差 1.43)岁。在术后第一或第二天以及术后第五、六或七天,噪音较小的儿童不太可能 "挑食"(p=0.042),对周围发生的事情更 "感兴趣"(p=0.008),发脾气的次数也较少(p=0.004)。在行为评估得分或提供者反应时间方面,各组之间没有发现其他差异:我们的研究首次表明,低刺激环境可以改善出院后的行为。医疗服务提供者的反应时间不受噪音降低的影响,平均和峰值噪音暴露水平均未超过国家安全准则。该试验已在 NCT03507855 和 NCT03504553 上注册。
本文章由计算机程序翻译,如有差异,请以英文原文为准。
求助全文
约1分钟内获得全文 求助全文
来源期刊
CiteScore
3.10
自引率
0.00%
发文量
29
审稿时长
18 weeks
×
引用
GB/T 7714-2015
复制
MLA
复制
APA
复制
导出至
BibTeX EndNote RefMan NoteFirst NoteExpress
×
提示
您的信息不完整,为了账户安全,请先补充。
现在去补充
×
提示
您因"违规操作"
具体请查看互助需知
我知道了
×
提示
确定
请完成安全验证×
copy
已复制链接
快去分享给好友吧!
我知道了
右上角分享
点击右上角分享
0
联系我们:info@booksci.cn Book学术提供免费学术资源搜索服务,方便国内外学者检索中英文文献。致力于提供最便捷和优质的服务体验。 Copyright © 2023 布克学术 All rights reserved.
京ICP备2023020795号-1
ghs 京公网安备 11010802042870号
Book学术文献互助
Book学术文献互助群
群 号:604180095
Book学术官方微信