Determination of Choline-Containing Compounds in Rice Bran Fermented with Aspergillus oryzae Using Liquid Chromatography/Tandem Mass Spectrometry.

Q3 Physics and Astronomy
Mass spectrometry Pub Date : 2024-01-01 Epub Date: 2024-08-08 DOI:10.5702/massspectrometry.A0151
Masamitsu Maekawa, Anna Iwahori, Masaki Kumondai, Yu Sato, Toshihiro Sato, Nariyasu Mano
{"title":"Determination of Choline-Containing Compounds in Rice Bran Fermented with <i>Aspergillus oryzae</i> Using Liquid Chromatography/Tandem Mass Spectrometry.","authors":"Masamitsu Maekawa, Anna Iwahori, Masaki Kumondai, Yu Sato, Toshihiro Sato, Nariyasu Mano","doi":"10.5702/massspectrometry.A0151","DOIUrl":null,"url":null,"abstract":"<p><p>Choline-containing compounds are essential nutrients for human activity, as they are involved in many biological processes, including cell membrane organization, methyl group donation, neurotransmission, signal transduction, lipid transport, and metabolism. These compounds are normally obtained from food. Fermented brown rice and rice bran with <i>Aspergillus oryzae</i> (FBRA) is a fermented food product derived from rice and rice ingredients. FBRA exhibits a multitude of functional properties with respect to the health sciences. This study has a particular focus on choline-containing compounds. We first developed a simultaneous liquid chromatography/tandem mass spectrometry (LC/MS/MS) analysis method for seven choline-containing compounds. The method was subsequently applied to FBRA and its ingredients. Hydrophilic interaction chromatography (HILIC) and selected reaction monitoring were employed for the simultaneous analysis of seven choline-containing compounds. MS ion source conditions were optimized in positive ion mode, and the product ions derived from the choline group were obtained through MS/MS optimization. Under optimized HILIC conditions, the peaks exhibited good shape without peak tailing. Calibration curves demonstrated high linearity across a 300- to 10,000-fold concentration range. The application of the method to FBRA and other ingredients revealed significant differences between food with and without fermentation. In particular, betaine and α-glycerophosphocholine were found to be highest in FBRA and brown rice malt, respectively. The results indicated that the fermentation processing of rice ingredients results in alterations to the choline-containing compounds present in foods. The developed HILIC/MS/MS method proved to be a valuable tool for elucidating the composition of choline-containing compounds in foods.</p>","PeriodicalId":18243,"journal":{"name":"Mass spectrometry","volume":"13 1","pages":"A0151"},"PeriodicalIF":0.0000,"publicationDate":"2024-01-01","publicationTypes":"Journal Article","fieldsOfStudy":null,"isOpenAccess":false,"openAccessPdf":"https://www.ncbi.nlm.nih.gov/pmc/articles/PMC11331278/pdf/","citationCount":"0","resultStr":null,"platform":"Semanticscholar","paperid":null,"PeriodicalName":"Mass spectrometry","FirstCategoryId":"1085","ListUrlMain":"https://doi.org/10.5702/massspectrometry.A0151","RegionNum":0,"RegionCategory":null,"ArticlePicture":[],"TitleCN":null,"AbstractTextCN":null,"PMCID":null,"EPubDate":"2024/8/8 0:00:00","PubModel":"Epub","JCR":"Q3","JCRName":"Physics and Astronomy","Score":null,"Total":0}
引用次数: 0

Abstract

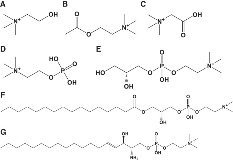
Choline-containing compounds are essential nutrients for human activity, as they are involved in many biological processes, including cell membrane organization, methyl group donation, neurotransmission, signal transduction, lipid transport, and metabolism. These compounds are normally obtained from food. Fermented brown rice and rice bran with Aspergillus oryzae (FBRA) is a fermented food product derived from rice and rice ingredients. FBRA exhibits a multitude of functional properties with respect to the health sciences. This study has a particular focus on choline-containing compounds. We first developed a simultaneous liquid chromatography/tandem mass spectrometry (LC/MS/MS) analysis method for seven choline-containing compounds. The method was subsequently applied to FBRA and its ingredients. Hydrophilic interaction chromatography (HILIC) and selected reaction monitoring were employed for the simultaneous analysis of seven choline-containing compounds. MS ion source conditions were optimized in positive ion mode, and the product ions derived from the choline group were obtained through MS/MS optimization. Under optimized HILIC conditions, the peaks exhibited good shape without peak tailing. Calibration curves demonstrated high linearity across a 300- to 10,000-fold concentration range. The application of the method to FBRA and other ingredients revealed significant differences between food with and without fermentation. In particular, betaine and α-glycerophosphocholine were found to be highest in FBRA and brown rice malt, respectively. The results indicated that the fermentation processing of rice ingredients results in alterations to the choline-containing compounds present in foods. The developed HILIC/MS/MS method proved to be a valuable tool for elucidating the composition of choline-containing compounds in foods.

Abstract Image

Abstract Image

Abstract Image

利用液相色谱/串联质谱法测定用黑曲霉发酵的米糠中的含胆碱化合物
含胆碱的化合物是人类活动的必需营养素,因为它们参与了许多生物过程,包括细胞膜组织、甲基捐赠、神经传递、信号转导、脂质运输和新陈代谢。这些化合物通常从食物中获取。米曲霉发酵糙米和米糠(FBRA)是一种从大米和大米配料中提取的发酵食品。FBRA 在健康科学方面具有多种功能特性。本研究特别关注含胆碱的化合物。我们首先开发了一种液相色谱/串联质谱(LC/MS/MS)同时分析七种含胆碱化合物的方法。该方法随后被应用于 FBRA 及其成分。采用亲水作用色谱(HILIC)和选择反应监测同时分析了七种含胆碱化合物。在正离子模式下对质谱离子源条件进行了优化,并通过 MS/MS 优化获得了来自胆碱基团的产物离子。在优化的 HILIC 条件下,峰形良好,无峰尾。在 300 至 10,000 倍的浓度范围内,校准曲线表现出较高的线性度。将该方法应用于 FBRA 和其他配料时发现,发酵和未发酵食品之间存在显著差异。其中,甜菜碱和 α-甘油磷酸胆碱在 FBRA 和糙米麦芽中的含量最高。结果表明,对大米原料进行发酵加工会改变食品中的含胆碱化合物。所开发的HILIC/MS/MS方法被证明是阐明食品中含胆碱化合物组成的重要工具。
本文章由计算机程序翻译,如有差异,请以英文原文为准。
求助全文
约1分钟内获得全文 求助全文
来源期刊
Mass spectrometry
Mass spectrometry Physics and Astronomy-Instrumentation
CiteScore
1.90
自引率
0.00%
发文量
3
×
引用
GB/T 7714-2015
复制
MLA
复制
APA
复制
导出至
BibTeX EndNote RefMan NoteFirst NoteExpress
×
提示
您的信息不完整,为了账户安全,请先补充。
现在去补充
×
提示
您因"违规操作"
具体请查看互助需知
我知道了
×
提示
确定
请完成安全验证×
copy
已复制链接
快去分享给好友吧!
我知道了
右上角分享
点击右上角分享
0
联系我们:info@booksci.cn Book学术提供免费学术资源搜索服务,方便国内外学者检索中英文文献。致力于提供最便捷和优质的服务体验。 Copyright © 2023 布克学术 All rights reserved.
京ICP备2023020795号-1
ghs 京公网安备 11010802042870号
Book学术文献互助
Book学术文献互助群
群 号:604180095
Book学术官方微信