Non-linear Association of CAR with all-Cause and Cardiovascular Mortality in Coronary Heart Disease: A Retrospective Cohort Study from NHANES.

IF 2 4区 医学 Q2 HEMATOLOGY
Ming Ye, Guangzan Yu, Fusheng Han, Hua He
{"title":"Non-linear Association of CAR with all-Cause and Cardiovascular Mortality in Coronary Heart Disease: A Retrospective Cohort Study from NHANES.","authors":"Ming Ye, Guangzan Yu, Fusheng Han, Hua He","doi":"10.1177/10760296241271382","DOIUrl":null,"url":null,"abstract":"<p><strong>Objective: </strong>To investigate the relationship between C-reactive protein and albumin ratios (CAR) and all-cause and cardiovascular disease(CVD)-specific mortality in individuals with coronary heart disease(CHD).</p><p><strong>Methods: </strong>The data from 1895 patients were extracted from the National Health and Nutrition Examination Survey (NHANES) database from 1999-2010. We used weighted COX regression analyses to explore the association between CAR, all-cause, and CVD-specific mortality. Restricted cubic spline(RCS) regression models and threshold effects analysis were used to analyze nonlinear relationships. Subgroup analyses were also performed to explore these relationships further.</p><p><strong>Results: </strong>During a mean follow-up of 115.78 months, 61.48% of deaths occurred, and 21.85% were due to CVD. After adjusting for potential confounders, each 1-unit increase in CAR was associated with a 65% increase in all-cause mortality and a 67% increase in CVD-specific mortality. The RCS model revealed a non-linear association between CAR and the risk of all-cause mortality and CVD-specific mortality in CHD patients (all non-linear P < 0.001). Threshold effects analysis identified inflection points in regression models of all-cause mortality (0.04, P < 0.001) and CVD-specific mortality (0.05, P = 0.0024). The interaction tests found sex, smoking and diabetes influenced the association between CAR and all-cause mortality and sex, smoking and HF influenced its association with CVD-specific mortality (all P < 0.05).</p><p><strong>Conclusion: </strong>There was a nonlinear association between CAR and all-cause mortality and CVD mortality in patients with CHD, with a higher hazard ratio before the inflection point. Sex, smoking, diabetes, and HF might have an effect on the associations between CAR and death risks.</p>","PeriodicalId":10335,"journal":{"name":"Clinical and Applied Thrombosis/Hemostasis","volume":"30 ","pages":"10760296241271382"},"PeriodicalIF":2.0000,"publicationDate":"2024-01-01","publicationTypes":"Journal Article","fieldsOfStudy":null,"isOpenAccess":false,"openAccessPdf":"https://www.ncbi.nlm.nih.gov/pmc/articles/PMC11329957/pdf/","citationCount":"0","resultStr":null,"platform":"Semanticscholar","paperid":null,"PeriodicalName":"Clinical and Applied Thrombosis/Hemostasis","FirstCategoryId":"3","ListUrlMain":"https://doi.org/10.1177/10760296241271382","RegionNum":4,"RegionCategory":"医学","ArticlePicture":[],"TitleCN":null,"AbstractTextCN":null,"PMCID":null,"EPubDate":"","PubModel":"","JCR":"Q2","JCRName":"HEMATOLOGY","Score":null,"Total":0}
引用次数: 0

Abstract

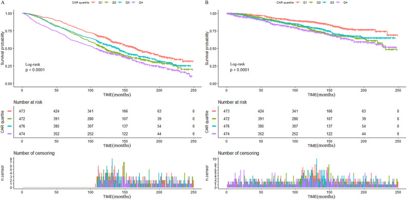
Objective: To investigate the relationship between C-reactive protein and albumin ratios (CAR) and all-cause and cardiovascular disease(CVD)-specific mortality in individuals with coronary heart disease(CHD).

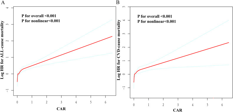
Methods: The data from 1895 patients were extracted from the National Health and Nutrition Examination Survey (NHANES) database from 1999-2010. We used weighted COX regression analyses to explore the association between CAR, all-cause, and CVD-specific mortality. Restricted cubic spline(RCS) regression models and threshold effects analysis were used to analyze nonlinear relationships. Subgroup analyses were also performed to explore these relationships further.

Results: During a mean follow-up of 115.78 months, 61.48% of deaths occurred, and 21.85% were due to CVD. After adjusting for potential confounders, each 1-unit increase in CAR was associated with a 65% increase in all-cause mortality and a 67% increase in CVD-specific mortality. The RCS model revealed a non-linear association between CAR and the risk of all-cause mortality and CVD-specific mortality in CHD patients (all non-linear P < 0.001). Threshold effects analysis identified inflection points in regression models of all-cause mortality (0.04, P < 0.001) and CVD-specific mortality (0.05, P = 0.0024). The interaction tests found sex, smoking and diabetes influenced the association between CAR and all-cause mortality and sex, smoking and HF influenced its association with CVD-specific mortality (all P < 0.05).

Conclusion: There was a nonlinear association between CAR and all-cause mortality and CVD mortality in patients with CHD, with a higher hazard ratio before the inflection point. Sex, smoking, diabetes, and HF might have an effect on the associations between CAR and death risks.

Abstract Image

Abstract Image

Abstract Image

CAR 与冠心病全因及心血管死亡率的非线性关系:来自 NHANES 的回顾性队列研究。
目的研究冠心病患者的 C 反应蛋白和白蛋白比率(CAR)与全因死亡率和心血管疾病(CVD)特异性死亡率之间的关系:从1999-2010年美国国家健康与营养调查(NHANES)数据库中提取了1895名患者的数据。我们使用加权 COX 回归分析来探讨 CAR、全因死亡率和心血管疾病特异性死亡率之间的关系。限制立方样条(RCS)回归模型和阈值效应分析用于分析非线性关系。为了进一步探讨这些关系,还进行了分组分析:在平均 115.78 个月的随访期间,61.48% 的死亡发生在心血管疾病上,21.85% 的死亡是由心血管疾病引起的。在对潜在的混杂因素进行调整后,CAR 每增加 1 个单位,全因死亡率就会增加 65%,心血管疾病特异性死亡率就会增加 67%。RCS 模型显示,CAR 与冠心病患者的全因死亡率和心血管疾病特异性死亡率风险之间存在非线性关系(均为非线性 P 结论):CAR与冠心病患者的全因死亡率和心血管疾病死亡率之间存在非线性关系,拐点前的危险比更高。性别、吸烟、糖尿病和高血压可能会影响 CAR 与死亡风险之间的关系。
本文章由计算机程序翻译,如有差异,请以英文原文为准。
求助全文
约1分钟内获得全文 求助全文
来源期刊
CiteScore
4.40
自引率
3.40%
发文量
150
审稿时长
2 months
期刊介绍: CATH is a peer-reviewed bi-monthly journal that addresses the practical clinical and laboratory issues involved in managing bleeding and clotting disorders, especially those related to thrombosis, hemostasis, and vascular disorders. CATH covers clinical trials, studies on etiology, pathophysiology, diagnosis and treatment of thrombohemorrhagic disorders.
×
引用
GB/T 7714-2015
复制
MLA
复制
APA
复制
导出至
BibTeX EndNote RefMan NoteFirst NoteExpress
×
提示
您的信息不完整,为了账户安全,请先补充。
现在去补充
×
提示
您因"违规操作"
具体请查看互助需知
我知道了
×
提示
确定
请完成安全验证×
copy
已复制链接
快去分享给好友吧!
我知道了
右上角分享
点击右上角分享
0
联系我们:info@booksci.cn Book学术提供免费学术资源搜索服务,方便国内外学者检索中英文文献。致力于提供最便捷和优质的服务体验。 Copyright © 2023 布克学术 All rights reserved.
京ICP备2023020795号-1
ghs 京公网安备 11010802042870号
Book学术文献互助
Book学术文献互助群
群 号:604180095
Book学术官方微信