Causal roles of immune cells in cardiovascular diseases: A Mendelian randomization (MR) study.

IF 1.5 Q3 CARDIAC & CARDIOVASCULAR SYSTEMS
JRSM Cardiovascular Disease Pub Date : 2024-08-13 eCollection Date: 2024-01-01 DOI:10.1177/20480040241271777
Virak Vicheth, Chongbin Zhong, Junjie Guan, Xuwei Zhang, Deshu Chen, Pingzhen Yang
{"title":"Causal roles of immune cells in cardiovascular diseases: A Mendelian randomization (MR) study.","authors":"Virak Vicheth, Chongbin Zhong, Junjie Guan, Xuwei Zhang, Deshu Chen, Pingzhen Yang","doi":"10.1177/20480040241271777","DOIUrl":null,"url":null,"abstract":"<p><strong>Background: </strong>Despite being a major global cause of mortality, the exact underlying mechanisms of cardiovascular diseases (CVDs) remain uncertain. This study aimed to elucidate the possible pathological connection between circulating activated immune cell types and the advancement of CVD.</p><p><strong>Methods: </strong>A two-sample Mendelian randomization analysis was performed on publicly available genetic databases to examine the potential causal relationships among 731 immune phenotypes and CVD risks. The study focused on four distinct immune signatures: relative cell counts (RC), absolute cell counts (AC), morphological parameters (MP), and median fluorescence intensities (MFI). A sensitivity analysis was performed to assess the findings' consistency, robustness, and potential pleiotropic effects.</p><p><strong>Results: </strong>Significant associations between CVD and various immunophenotypes were observed in this study. Specifically, two phenotypes exhibited protective effects against CVD. The odds ratio (OR) for activated and secretory CD4<sup>+</sup> regulatory T-cells (Tregs) was 0.757 [95% confidence interval (CI): 0.628-0.913; p = 0.004], whereas that for B-cell activating factor receptor on IgD<sup>-</sup>CD38<sup>+</sup> memory B-cells was 0.654 (95% CI: 0.468-0.915; p = 0.013). Conversely, three major immunophenotypes were linked to heightened risks of CVD: CD80 on myeloid dendritic cells (OR: 1.181; 95% CI: 1.015-1.376; p = 0.032), the proportion of CD28<sup>+</sup> CD45RA<sup>+</sup> CD8<sup>+</sup> T-cells in total T-cell population (OR: 1.064; 95% CI: 1.002-1.128; p = 0.041), and the proportion of CD28<sup>-</sup>CD45RA<sup>+</sup> CD8<sup>+</sup> T-cells in total T-cell population (OR: 1.005; 95% CI: 1.000-1.011; p = 0.045).</p><p><strong>Conclusion: </strong>This study underscores significant correlations between specific immune phenotypes and the risks associated with CVD onset, thus providing valuable perspectives for forthcoming clinical inquiries.</p>","PeriodicalId":30457,"journal":{"name":"JRSM Cardiovascular Disease","volume":"13 ","pages":"20480040241271777"},"PeriodicalIF":1.5000,"publicationDate":"2024-08-13","publicationTypes":"Journal Article","fieldsOfStudy":null,"isOpenAccess":false,"openAccessPdf":"https://www.ncbi.nlm.nih.gov/pmc/articles/PMC11320407/pdf/","citationCount":"0","resultStr":null,"platform":"Semanticscholar","paperid":null,"PeriodicalName":"JRSM Cardiovascular Disease","FirstCategoryId":"1085","ListUrlMain":"https://doi.org/10.1177/20480040241271777","RegionNum":0,"RegionCategory":null,"ArticlePicture":[],"TitleCN":null,"AbstractTextCN":null,"PMCID":null,"EPubDate":"2024/1/1 0:00:00","PubModel":"eCollection","JCR":"Q3","JCRName":"CARDIAC & CARDIOVASCULAR SYSTEMS","Score":null,"Total":0}
引用次数: 0

Abstract

Background: Despite being a major global cause of mortality, the exact underlying mechanisms of cardiovascular diseases (CVDs) remain uncertain. This study aimed to elucidate the possible pathological connection between circulating activated immune cell types and the advancement of CVD.

Methods: A two-sample Mendelian randomization analysis was performed on publicly available genetic databases to examine the potential causal relationships among 731 immune phenotypes and CVD risks. The study focused on four distinct immune signatures: relative cell counts (RC), absolute cell counts (AC), morphological parameters (MP), and median fluorescence intensities (MFI). A sensitivity analysis was performed to assess the findings' consistency, robustness, and potential pleiotropic effects.

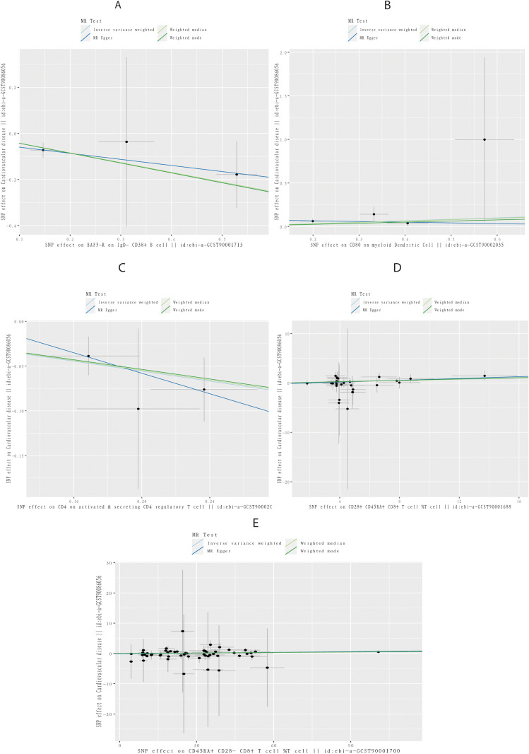
Results: Significant associations between CVD and various immunophenotypes were observed in this study. Specifically, two phenotypes exhibited protective effects against CVD. The odds ratio (OR) for activated and secretory CD4+ regulatory T-cells (Tregs) was 0.757 [95% confidence interval (CI): 0.628-0.913; p = 0.004], whereas that for B-cell activating factor receptor on IgD-CD38+ memory B-cells was 0.654 (95% CI: 0.468-0.915; p = 0.013). Conversely, three major immunophenotypes were linked to heightened risks of CVD: CD80 on myeloid dendritic cells (OR: 1.181; 95% CI: 1.015-1.376; p = 0.032), the proportion of CD28+ CD45RA+ CD8+ T-cells in total T-cell population (OR: 1.064; 95% CI: 1.002-1.128; p = 0.041), and the proportion of CD28-CD45RA+ CD8+ T-cells in total T-cell population (OR: 1.005; 95% CI: 1.000-1.011; p = 0.045).

Conclusion: This study underscores significant correlations between specific immune phenotypes and the risks associated with CVD onset, thus providing valuable perspectives for forthcoming clinical inquiries.

Abstract Image

Abstract Image

Abstract Image

免疫细胞在心血管疾病中的因果作用:孟德尔随机化(MR)研究。
背景:尽管心血管疾病(CVDs)是导致全球死亡的一个主要原因,但其确切的内在机制仍不确定。本研究旨在阐明循环活化免疫细胞类型与心血管疾病恶化之间可能存在的病理联系:方法:在公开的基因数据库中进行了双样本孟德尔随机分析,以研究 731 种免疫表型与心血管疾病风险之间的潜在因果关系。研究重点关注四种不同的免疫特征:相对细胞数(RC)、绝对细胞数(AC)、形态参数(MP)和中位荧光强度(MFI)。为了评估研究结果的一致性、稳健性和潜在的多效应,进行了一项敏感性分析:结果:本研究观察到心血管疾病与各种免疫表型之间存在显著关联。具体来说,有两种表型对心血管疾病具有保护作用。活化和分泌型 CD4+ 调节性 T 细胞(Tregs)的几率比(OR)为 0.757 [95% 置信区间 (CI):0.628-0.913;p = 0.004],而 IgD-CD38+ 记忆 B 细胞上的 B 细胞活化因子受体的几率比(OR)为 0.654 (95% CI:0.468-0.915;p = 0.013)。相反,三种主要的免疫表型与心血管疾病风险的增加有关:髓系树突状细胞上的 CD80(OR:1.181;95% CI:1.015-1.376;p = 0.032)、CD28+ CD45RA+ CD8+ T 细胞在 T 细胞总数中的比例(OR:1.064;95% CI:1.002-1.128; p = 0.041),以及 CD28-CD45RA+ CD8+ T 细胞占 T 细胞总数的比例(OR:1.005; 95% CI:1.000-1.011; p = 0.045):本研究强调了特定免疫表型与心血管疾病发病风险之间的显著相关性,从而为今后的临床研究提供了宝贵的视角。
本文章由计算机程序翻译,如有差异,请以英文原文为准。
求助全文
约1分钟内获得全文 求助全文
来源期刊
JRSM Cardiovascular Disease
JRSM Cardiovascular Disease CARDIAC & CARDIOVASCULAR SYSTEMS-
自引率
6.20%
发文量
12
审稿时长
12 weeks
×
引用
GB/T 7714-2015
复制
MLA
复制
APA
复制
导出至
BibTeX EndNote RefMan NoteFirst NoteExpress
×
提示
您的信息不完整,为了账户安全,请先补充。
现在去补充
×
提示
您因"违规操作"
具体请查看互助需知
我知道了
×
提示
确定
请完成安全验证×
copy
已复制链接
快去分享给好友吧!
我知道了
右上角分享
点击右上角分享
0
联系我们:info@booksci.cn Book学术提供免费学术资源搜索服务,方便国内外学者检索中英文文献。致力于提供最便捷和优质的服务体验。 Copyright © 2023 布克学术 All rights reserved.
京ICP备2023020795号-1
ghs 京公网安备 11010802042870号
Book学术文献互助
Book学术文献互助群
群 号:604180095
Book学术官方微信